An ADCP Attitude Dynamic Errors Correction Method Based on Angular Velocity Tensor and Radius Vector Estimation
Abstract
1. Introduction
2. Preliminaries
2.1. Establishment of Coordinate Systems and Coordinate System Transformation
2.2. Vessel and Transducer Motion Parameters
2.3. Physical Model of Vessel Motion
- A.
- Roll Motion Model
- B.
- Pitch Motion Model
3. The Proposed Method
3.1. Estimation of Angular Velocity Tensor
3.2. Radius Vector Estimation
- A.
- Radius Vector Estimation Method in Shallow Water
- B.
- Radius Vector Estimation Method in Deep Water
3.3. Correcting Swaying Errors Using Instantaneous Tangential Velocity
4. Water Pool Experiments
4.1. Experimental Setup
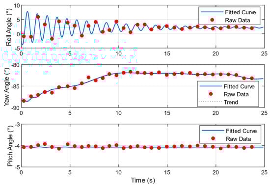
4.2. Experimental Results and Analysis
- A.
- Radius Vector Estimation Measurement
- B.
- Measurement 1
- C.
- Measurement 2
4.3. Experiment Summary
5. Discussion
6. Conclusions
Author Contributions
Funding
Institutional Review Board Statement
Informed Consent Statement
Data Availability Statement
Acknowledgments
Conflicts of Interest
References
- Dong, F.; Gao, H.; Liu, W.; Tan, C. Horizontal Oil-Water Two-Phase Dispersed Flow Velocity Profile Study by Ultrasonic Doppler Method. Exp. Therm. Fluid Sci. 2019, 102, 357–367. [Google Scholar] [CrossRef]
- Prado, E.; Abad-Uribarren, A.; Ramo, R.; Sierra, S.; González-Pola, C.; Cristobo, J.; Ríos, P.; Graña, R.; Aierbe, E.; Rodríguez, J.M.; et al. Describing Polyps Behavior of a Deep-Sea Gorgonian, Placogorgia Sp., Using a Deep-Learning Approach. Remote Sens. 2023, 15, 2777. [Google Scholar] [CrossRef]
- Rodríguez, E.; Wineteer, A.; Perkovic-Martin, D.; Gál, T.; Anderson, S.; Zuckerman, S.; Stear, J.; Yang, X. Ka-Band Doppler Scatterometry over a Loop Current Eddy. Remote Sens. 2020, 12, 2388. [Google Scholar] [CrossRef]
- Gallagher, D.G.; Manley, R.J.; Hughes, W.W.; Pilcher, A.M. Development of an Enhanced Underwater Navigation Capability for Military Combat Divers. In Proceedings of the OCEANS 2016 MTS/IEEE Monterey, Monterey, CA, USA, 19–23 September 2016; pp. 1–4. [Google Scholar]
- Titchenko, Y.; Jie, G.; Karaev, V.; Ponur, K.; Ryabkova, M.; Baranov, V.; Ocherednik, V.; He, Y. Preliminary Performance Assessment of the Wave Parameter Retrieval Algorithm from the Average Reflected Pulse. Remote Sens. 2024, 16, 418. [Google Scholar] [CrossRef]
- Zhao, Y.-P.; Hangfei, L.; Bi, C.; Cui, Y.; Guan, C. Numerical Study on the Flow Field inside and around a Semi-Submersible Aquaculture Platform. Appl. Ocean Res. 2021, 115, 102824. [Google Scholar] [CrossRef]
- Gao, Y.; Xie, X.; Li, G.; Hu, Z.; Xu, P.; Zhang, B.; Huang, H. Improving Accuracy of Horizontal Flow Field Using Acoustic Tomography with Real-Time Station Position Correction. IEEE Trans. Instrum. Meas. 2023, 72, 7501310. [Google Scholar] [CrossRef]
- Zhu, L.; Lu, T.; Yang, F.; Wei, C.; Wei, J. Performance Assessment of a High-Frequency Radar Network for Detecting Surface Currents in the Pearl River Estuary. Remote Sens. 2024, 16, 198. [Google Scholar] [CrossRef]
- Wang, Q.; Yang, H.; Wu, L.; Zhang, L.; Xia, Y.; Fu, X.; Tan, C. Complementary Coding-Based Waveform Design for Broadband Acoustic Doppler Current Profilers. IEEE Trans. Veh. Technol. 2024, 73, 9398–9410. [Google Scholar] [CrossRef]
- Meurer, C.; Fuentes-Pérez, J.F.; Schwarzwälder, K.; Ludvigsen, M.; Sørensen, A.J.; Kruusmaa, M. 2D Estimation of Velocity Relative to Water and Tidal Currents Based on Differential Pressure for Autonomous Underwater Vehicles. IEEE Robot. Autom. Lett. 2020, 5, 3444–3451. [Google Scholar] [CrossRef]
- Sun, Z.; Yao, S. Error Analysis and Correction of ADCP Attitude Dynamics under Platform Swing Conditions. J. Mar. Sci. Eng. 2024, 12, 1820. [Google Scholar] [CrossRef]
- Velasco, D.W.; Nylund, S. Performance Improvement for ADCPs on Surface Buoys. In Proceedings of the 2019 IEEE/OES Twelfth Current, Waves and Turbulence Measurement (CWTM), San Diego, CA, USA, 10–13 March 2019; pp. 1–6. [Google Scholar]
- Cusi, S.; Rodriguez, P.; Pujol, N.; Pairaud, I.; Nogueras, M.; Antonijuan, J.; Masmitja, I.; del Rio, J. Evaluation of AUV-Borne ADCP Measurements in Different Navigation Modes. In Proceedings of the OCEANS 2017, Aberdeen, Scotland, 19–22 June 2017; pp. 1–8. [Google Scholar]
- Joseph, A. Vertical Profiling of Currents Using Acoustic Doppler Current Profilers; Elsevier: Amsterdam, The Netherlands, 2014; pp. 339–379. ISBN 978-0-12-415990-7. [Google Scholar]
- Anderson, S.P.; Matthews, P. A Towed 75 kHz ADCP for Operational Deepwater Current Surveys. In Proceedings of the IEEE/OES Eighth Working Conference on Current Measurement Technology, Southampton, UK, 28–29 June 2005; pp. 46–49. [Google Scholar]
- Stanway, M.J. Water Profile Navigation with an Acoustic Doppler Current Profiler. In Proceedings of the OCEANS’10 IEEE SYDNEY, Sydney, Australia, 24–27 May 2010; pp. 1–5. [Google Scholar]
- Mueller, D.S. Assessment of Acoustic Doppler Current Profiler Heading Errors on Water Velocity and Discharge Measurements. Flow Meas. Instrum. 2018, 64, 224–233. [Google Scholar] [CrossRef]
- Simpson, M.R. Discharge Measurements Using a Broad-Band Acoustic Doppler Current Profiler; United States Geological Survey: Sacramento, CA, USA, 2001. [Google Scholar]
- Sarangapani, S. Multi-Frequency Phased Array Transducer for ADCP Applications. In Proceedings of the OCEANS 2022–Chennai, Chennai, India, 21–24 February 2022; pp. 1–10. [Google Scholar]
- Herbers, T.H.C.; Lentz, S.J. Observing Directional Properties of Ocean Swell with an Acoustic Doppler Current Profiler (ADCP). J. Atmos. Ocean. Technol. 2010, 27, 210–225. [Google Scholar] [CrossRef]
- Rennie, C.D. Non-Invasive Measurement of Fluvial Bedload Transport Velocity. Ph.D. Thesis, University of British Columbia, Vancouver, Canada, 2002. [Google Scholar]
- Raye, R.E. Characterization Study of the Florida Current at 26.11 North Latitude, 79.50 West Longitude for Ocean Current Power Generation; Florida Atlantic University: Boca Raton, FL, USA, 2002. [Google Scholar]
- Cao, Z. Research on the Technology of Acoustic DopplerVelocity Measurement for Underwater Vehicles. Ph.D. Thesis, Harbin Engineering University, Harbin, China, 2017. [Google Scholar]
- Zhang, H.; Chen, Z.; Zhao, J.; Huang, J.; Wang, Z. ADCP Integration Measurement Based on External Sensor. Geomat. Inf. Sci. Wuhan Univ. 2016, 41, 1131–1136. [Google Scholar]
- Yang, Y. Theory and Implementation of Acoustic Doppler Flow Measurement with Environmental Adaptability. Ph.D. Thesis, Southeast University, Jiangsu, China, 2023. [Google Scholar]
- Fossen, T. Handbook of Marine Craft Hydrodynamics and Motion Control; John Wiley & Sons, Ltd.: Hoboken, NJ, USA, 2011; ISBN 978-1-119-99413-8. [Google Scholar]
- Faltinsen, O.M. Sea Loads on Ships and Offshore Structures; Cambridge University Press: Cambridge, UK; New York, NY, USA, 1990; ISBN 978-0-521-37285-5. [Google Scholar]


















| Parameters | (rad) | (s) | (rad/s) | (s−1) | |
|---|---|---|---|---|---|
| Initial guess | 0.2 | 0 | 6.3192 | 0.0572 | - |
| Estimated value | 0.2457 | −0.0493 | 6.1096 | 0.1123 | 0.0139 |
| Parameters | (rad) | (s) | (rad/s) | (s−1) | |
|---|---|---|---|---|---|
| Initial guess | −0.1 | 0 | 6.3192 | 0.0572 | - |
| Estimated value | −0.1391 | −0.0491 | 6.1095 | 0.1365 | 0.0046 |
| Parameters | (rad) | (s) | (rad/s) | (s−1) | |
|---|---|---|---|---|---|
| Initial guess | 0.2 | 0 | 4.7595 | 0.6498 | - |
| Estimated value | 0.2457 | −0.3451 | 4.2850 | 0.8908 | 4.4716 × 10−5 |
| Parameters | (m) | (m) | (m) | (m) | |
|---|---|---|---|---|---|
| Radius vector coordinates | 0.0054 | ||||
| Radius vector magnitude | 0.1393 | 0.1401 | 0.1406 | 0.1400 | - |
| Parameters | (rad) | (s) | (rad/s) | ||
|---|---|---|---|---|---|
| Initial guess | −0.2 | 0 | 6.3192 | 0.0572 | - |
| Estimated value | −0.2187 | 1.1403 | 6.1919 | 0.1441 | 0.0025 |
| Parameters | (rad) | (s) | (rad/s) | ||
|---|---|---|---|---|---|
| Initial guess | 0.1 | 0 | 6.3192 | 0.0572 | - |
| Estimated value | 0.1270 | 1.1403 | 6.1919 | 0.5757 | 0.0014 |
| Parameters | (rad) | (s) | (rad/s) | ||
|---|---|---|---|---|---|
| Initial guess | 0.02 | 0 | 4.7595 | 0.6498 | - |
| Estimated value | 0.0022 | 0.0189 | 4.7700 | 0.2952 | 2.6663 × 10−5 |
| Vessel Velocity Magnitude | Vessel Displacement | ||||||||
|---|---|---|---|---|---|---|---|---|---|
| Mean (m/s) | SD (m/s) | RSD (%) | MAE (m/s) | MRE (%) | Error SD (m/s) | Magnitude (m) | Distance Error (m) | Distance RE (%) | |
| ASC method | 0.0219 | 0.0151 | 68.91 | 0.0126 | 124.65 | 0.0151 | 0.2214 | 0.0161 | 7.54 |
| Proposed method | 0.0125 | 0.0045 | 35.53 | 0.0043 | 50.84 | 0.0045 | 0.2099 | 0.0073 | 3.4 |
| Actual value | 0.0096 | 0.0026 | 27.53 | 0 | 0 | 0 | 0.2134 | 0 | 0 |
| Reduction Amount | 0.0094 | 0.0107 | 33.39 | 0.0083 | 73.81 | 0.0107 | - | 0.0088 | 4.13 |
| Parameters | (rad) | (s) | (rad/s) | (s−1) | |
|---|---|---|---|---|---|
| Initial guess | 0.2 | 0 | 6.3192 | 0.0572 | - |
| Estimated value | 0.3610 | −0.0019 | 6.1153 | 0.1508 | 0.0135. |
| Parameters | (rad) | (s) | (rad/s) | (s−1) | |
|---|---|---|---|---|---|
| Initial guess | −0.2 | 0 | 6.3192 | 0.0572 | - |
| Estimated value | −0.4327 | −0.0019 | 6.1153 | 0.1365 | 0.0330. |
| Parameters | (rad) | (s) | (rad/s) | (s−1) | |
|---|---|---|---|---|---|
| Initial guess | 0.02 | 0 | 4.7595 | 0.6498 | - |
| Estimated value | 0.0022 | 0.3468 | 5.0853 | 0.1220 | 3.9702 × 10−4. |
| Vessel Velocity Magnitude | Vessel Displacement | |||||||
|---|---|---|---|---|---|---|---|---|
| Mean (m/s) | MAE (m/s) | MRE (%) | Error SD (m/s) | Error RSD (%) | Magnitude (m) | Distance Error (m) | Distance RE (%) | |
| ASC method | 0.0908 | 0.0138 | 28.22 | 0.0234 | 25.74 | 2.2243 | 0.0341 | 1.51 |
| Proposed method | 0.0804 | 0.0047 | 7.27 | 0.0067 | 8.37 | 2.2788 | 0.0205 | 0.91 |
| Actual value | 0.0801 | 0 | 0 | 0 | 0 | 2.2584 | 0 | 0 |
| Reduction Amount | 0.0104 | 0.0091 | 20.94 | 0.0166 | 17.38 | - | 0.0136 | 0.6 |
Disclaimer/Publisher’s Note: The statements, opinions and data contained in all publications are solely those of the individual author(s) and contributor(s) and not of MDPI and/or the editor(s). MDPI and/or the editor(s) disclaim responsibility for any injury to people or property resulting from any ideas, methods, instructions or products referred to in the content. |
© 2024 by the authors. Licensee MDPI, Basel, Switzerland. This article is an open access article distributed under the terms and conditions of the Creative Commons Attribution (CC BY) license (https://creativecommons.org/licenses/by/4.0/).
Share and Cite
Sun, Z.; Yao, S.; Gao, N.; Zhang, K. An ADCP Attitude Dynamic Errors Correction Method Based on Angular Velocity Tensor and Radius Vector Estimation. J. Mar. Sci. Eng. 2024, 12, 2018. https://doi.org/10.3390/jmse12112018
Sun Z, Yao S, Gao N, Zhang K. An ADCP Attitude Dynamic Errors Correction Method Based on Angular Velocity Tensor and Radius Vector Estimation. Journal of Marine Science and Engineering. 2024; 12(11):2018. https://doi.org/10.3390/jmse12112018
Chicago/Turabian StyleSun, Zhaowen, Shuai Yao, Ning Gao, and Ke Zhang. 2024. "An ADCP Attitude Dynamic Errors Correction Method Based on Angular Velocity Tensor and Radius Vector Estimation" Journal of Marine Science and Engineering 12, no. 11: 2018. https://doi.org/10.3390/jmse12112018
APA StyleSun, Z., Yao, S., Gao, N., & Zhang, K. (2024). An ADCP Attitude Dynamic Errors Correction Method Based on Angular Velocity Tensor and Radius Vector Estimation. Journal of Marine Science and Engineering, 12(11), 2018. https://doi.org/10.3390/jmse12112018

