Enhanced Transformer Framework for Multivariate Mesoscale Eddy Trajectory Prediction
Abstract
1. Introduction
- Current research often emphasizes specific intrinsic properties of ocean eddies, such as their size, intensity, and rotation patterns, while overlooking other crucial ocean environmental information like temperature gradients, salinity variations, and surrounding current systems.
- Recurrent neural network-based methods tend to heavily rely on previous time-step outcomes, and the use of attention mechanisms has been suggested to address this issue. However, the implementation of these mechanisms often involves analyzing eddy data within limited temporal windows, which poses challenges for accurately forecasting trajectories of eddies with prolonged lifespans and results in a notable loss of valuable multi-scale temporal information.
- Nonlinear dynamics in mesoscale eddies cause significant trajectory variability, challenging multi-step predictions. Traditional Euclidean distance loss functions struggle with local discrepancies, making it difficult to capture the overall trajectory pattern and reducing prediction accuracy.
- The construction and expansion of multivariate eddy data involves the integration, processing, and extraction of data regarding changes in ocean environmental information within eddy regions from various altimeter satellites. This process aims to capture the motion characteristics of eddy trajectories, particularly focusing on Mesoscale Eddy Trajectory (MET) and SLA data. Building upon this framework, novel features are developed for eddy characterization, involving the creation of new variables derived from raw data to more accurately depict the motion dynamics of mesoscale eddies.
- The enhanced transformer framework for predicting mesoscale eddy trajectories improves the identification of multi-scale dependencies by integrating a multi-head attention mechanism to analyze dependencies within lengthy time series. The conventional positional encoding is replaced with Time-Absolute Position Encoding (TAPE) to improve the differentiation among embedded vectors by taking into account sequence-mapping dimensions and length. Moreover, the incorporation of the Soft-DTW loss function, a differentiable version of Dynamic Time Warping (DTW) that allows for smooth optimization in deep-learning models, enables a more precise assessment of overall deviations in mesoscale eddy trajectories, thereby bolstering the model’s resilience to noise and trajectories exhibiting substantial variations, ultimately enhancing the predictive accuracy of mesoscale eddy trajectories.
- Extensive empirical investigations have been undertaken, revealing that the suggested framework for predicting mesoscale eddy trajectories outperforms existing mainstream approaches (outperforming LSTM by 64.3% and GRU by 67.6%) in terms of predictive accuracy, achieving the lowest average central error of 8.294 km (LSTM: 23.259 km, GRU: 25.582 km) over 7 days, which is superior to most existing models.
2. Methods
2.1. Construction and Expansion of Multivariate Mesoscale Eddy Features
2.1.1. Mesoscale Eddy Trajectory Feature Expansion
2.1.2. Multivariate Mesoscale Eddy Trajectory Feature Construction
2.2. Enhanced Transformer-Based Framework for Mesoscale Eddy Trajectory Prediction
2.2.1. Encoder and Decoder
2.2.2. Multi-Head Self-Attention
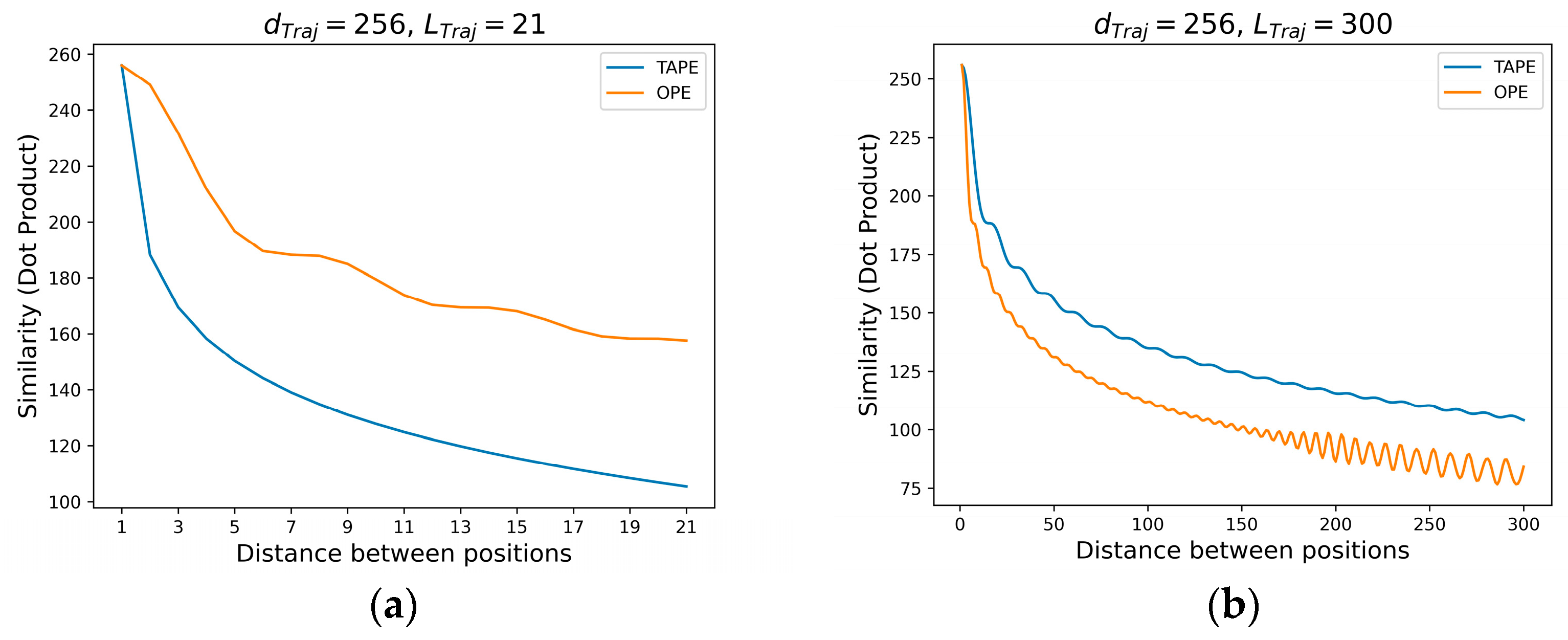
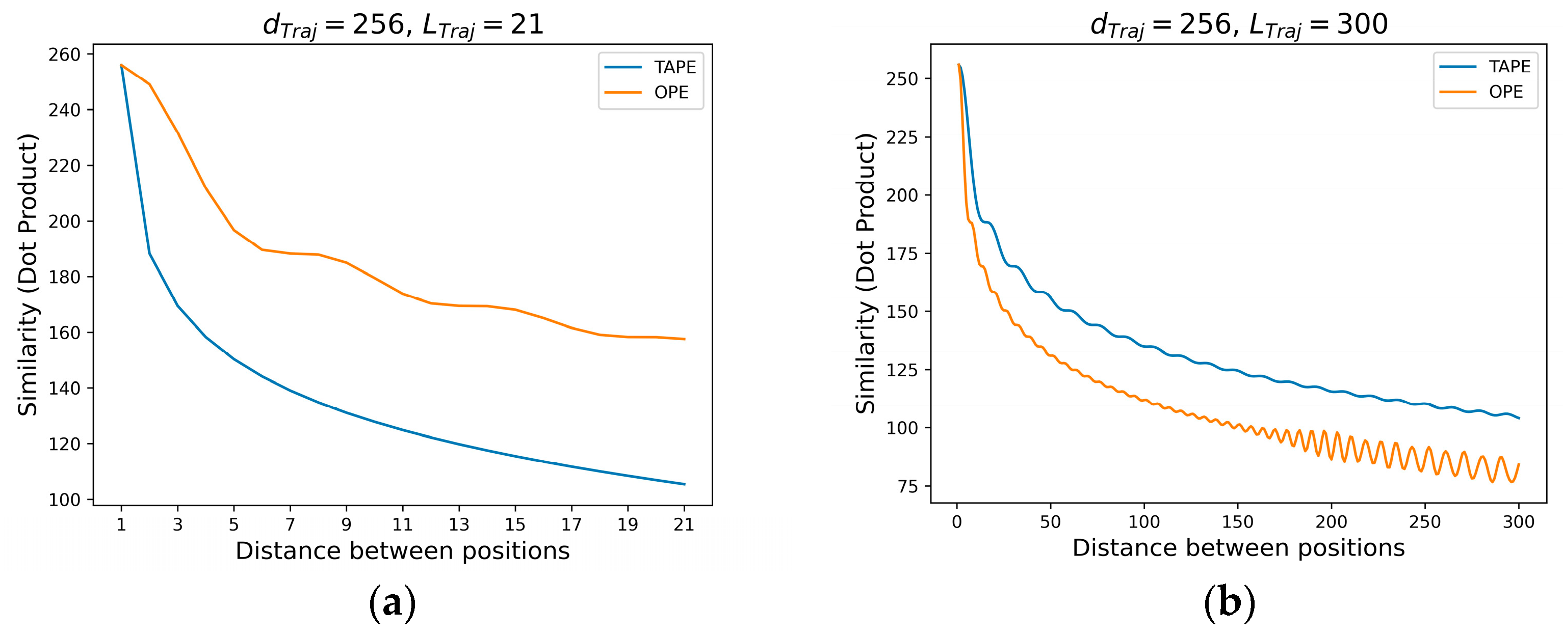
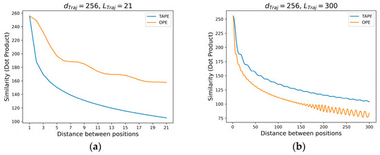
2.2.3. Time-Absolute Position Encoding
2.2.4. Soft-DTW Loss Function
3. Experiments and Results
3.1. Experiment Configuration
3.2. Evaluation Indicators
3.3. Ablation Studies
3.4. Comparative Experiment and Analysis
3.4.1. Comparison of Loss Functions
3.4.2. Comparison of Different Input Trajectory Lengths
3.4.3. Comparison of Visualization of Prediction Results
3.4.4. Visualization of Attention Heatmap
4. Conclusions and Discussion
Author Contributions
Funding
Institutional Review Board Statement
Informed Consent Statement
Data Availability Statement
Conflicts of Interest
References
- Pascual, A.; Faugère, Y.; Larnicol, G.; Le Traon, P. Improved Description of the feature Mesoscale Variability by Combining Four Satellite Altimeters. Geophys. Res. Lett. 2006, 33, L02611. [Google Scholar] [CrossRef]
- Wunsch, C. The Past and Future Ocean Circulation from a Contemporary Perspective. In Geophysical Monograph Series; Schmittner, A., Chiang, J.C.H., Hemming, S.R., Eds.; American Geophysical Union: Washington, DC, USA, 2007; Volume 173, pp. 53–74. [Google Scholar]
- Martínez-Moreno, J.; Hogg, A.M.; England, M.H.; Constantinou, N.C.; Kiss, A.E.; Morrison, A.K. Global Changes in Oceanic Mesoscale Currents over the Satellite Altimetry Record. Nat. Clim. Change 2021, 11, 397–403. [Google Scholar] [CrossRef]
- Shao, Z.; Zhang, Z.; Wang, F.; Xu, Y. Pre-Training Enhanced Spatial-Temporal Graph Neural Network for Multivariate Time Series Forecasting. In Proceedings of the 28th ACM SIGKDD Conference on Knowledge Discovery and Data Mining, Washington, DC, USA, 14 August 2022; pp. 1567–1577. [Google Scholar]
- Lin, Y.; Wang, G. The Effects of Eddy Size on the Sea Surface Heat Flux. Geophys. Res. Lett. 2021, 48, e2021GL095687. [Google Scholar] [CrossRef]
- Zhang, Z.; Wang, W.; Qiu, B. Oceanic Mass Transport by Mesoscale Eddies. Science 2014, 345, 322–324. [Google Scholar] [CrossRef]
- Beech, N.; Rackow, T.; Semmler, T.; Danilov, S.; Wang, Q.; Jung, T. Long-Term Evolution of Ocean Eddy Activity in a Warming World. Nat. Clim. Chang. 2022, 12, 910–917. [Google Scholar] [CrossRef]
- Eden, C.; Dietze, H. Effects of Mesoscale Eddy/Wind Interactions on Biological New Production and Eddy Kinetic Energy. J. Geophys. Res. Oceans 2009, 114, C05023. [Google Scholar] [CrossRef]
- Van Westen, R.M.; Dijkstra, H.A. Ocean Eddies Strongly Affect Global Mean Sea-Level Projections. Sci. Adv. 2021, 7, eabf1674. [Google Scholar] [CrossRef]
- Horvat, C.; Tziperman, E.; Campin, J. Interaction of Sea Ice Floe Size, Ocean Eddies, and Sea Ice Melting. Geophys. Res. Lett. 2016, 43, 8083–8090. [Google Scholar] [CrossRef]
- Robinson, A.R.; Carton, J.A.; Mooers, C.N.K.; Walstad, L.J.; Carter, E.F.; Rienecker, M.M.; Smith, J.A.; Leslie, W.G. A real-time dynamical forecast of ocean synoptic/mesoscale eddies. Nature 1984, 309, 781–783. [Google Scholar] [CrossRef]
- Masina, S.; Pinardi, N. Mesoscale Data Assimilation Studies in the Middle Adriatic Sea. Cont. Shelf Res. 1994, 14, 1293–1310. [Google Scholar] [CrossRef]
- Shriver, J.F.; Hurlburt, H.E.; Smedstad, O.M.; Wallcraft, A.J.; Rhodes, R.C. 1/32° Real-Time Global Ocean Prediction and Value-Added over 1/16° Resolution. J. Mar. Syst. 2007, 65, 3–26. [Google Scholar] [CrossRef]
- Wang, X.; Wang, X.; Yu, M.; Li, C.; Song, D.; Ren, P.; Wu, J. MesoGRU: Deep Learning Framework for Mesoscale Eddy Trajectory Prediction. IEEE Geosci. Remote Sens. Lett. 2022, 19, 8013805. [Google Scholar] [CrossRef]
- Li, J.; Wang, G.; Xue, H.; Wang, H. A Simple Predictive Model for the Eddy Propagation Trajectory in the Northern South China Sea. Ocean Sci. 2019, 15, 401–412. [Google Scholar] [CrossRef]
- LeCun, Y.; Bengio, Y.; Hinton, G. Deep Learning. Nature 2015, 521, 436–444. [Google Scholar] [CrossRef]
- Vargas, R.; Mosavi, A.; Ruiz, R. Deep Learning: A Review. Adv. Intell. Syst. Comput. 2017, 29, 232–244. [Google Scholar]
- Wang, X.; Wang, H.; Liu, D.; Wang, W. The Prediction of Oceanic Mesoscale Eddy Properties and Propagation Trajectories Based on Machine Learning. Water 2020, 12, 2521. [Google Scholar] [CrossRef]
- Nian, R.; Cai, Y.; Zhang, Z.; He, H.; Wu, J.; Yuan, Q.; Geng, X.; Qian, Y.; Yang, H.; He, B. The Identification and Prediction of Mesoscale Eddy Variation via Memory in Memory with Scheduled Sampling for Sea Level Anomaly. Front. Mar. Sci. 2021, 8, 753942. [Google Scholar] [CrossRef]
- Ma, C.; Li, S.; Wang, A.; Yang, J.; Chen, G. Altimeter Observation-Based Eddy Nowcasting Using an Improved Conv-LSTM Network. Remote Sens. 2019, 11, 783. [Google Scholar] [CrossRef]
- Wang, X.; Li, C.; Wang, X.; Tan, L.; Wu, J. Spatio–Temporal Attention-Based Deep Learning Framework for Mesoscale Eddy Trajectory Prediction. IEEE J. Sel. Top. Appl. Earth Obs. Remote Sens. 2022, 15, 3853–3867. [Google Scholar] [CrossRef]
- Ge, L.; Huang, B.; Chen, X.; Chen, G. Medium-Range Trajectory Prediction Network Compliant to Physical Constraint for Oceanic Eddy. IEEE Trans. Geosci. Remote Sens. 2023, 61, 4206514. [Google Scholar] [CrossRef]
- Zhu, R.; Song, B.; Qiu, Z.; Tian, Y. A Metadata-Enhanced Deep Learning Method for Sea Surface Height and Mesoscale Eddy Prediction. Remote Sens. 2024, 16, 1466. [Google Scholar] [CrossRef]
- Tang, H.; Lin, J.; Ma, D. Direct Prediction for Oceanic Mesoscale Eddy Geospatial Distribution through Prior Statistical Deep Learning. Expert Syst. Appl. 2024, 249, 123737. [Google Scholar] [CrossRef]
- Vaswani, A.; Shazeer, N.; Parmar, N.; Uszkoreit, J.; Jones, L.; Gomez, A.N.; Kaiser, L.; Polosukhin, I. Attention Is All You Need. In Proceedings of the Advances in Neural Information Processing Systems, Long Beach, CA, USA, 4–9 December 2017. [Google Scholar]
- Zhou, H.; Zhang, S.; Peng, J.; Zhang, S.; Li, J.; Xiong, H.; Zhang, W. Informer: Beyond Efficient Transformer for Long Sequence Time-Series Forecasting. In Proceedings of the AAAI Conference on Artificial Intelligence, virtually, 2–9 February 2021. [Google Scholar]
- Wu, H.; Xu, J.; Wang, J.; Long, M. Autoformer: Decomposition Transformers with Auto-Correlation for Long-Term Series Forecastin. In Proceedings of the Advances in Neural Information Processing Systems, virtually, 6–14 December 2021. [Google Scholar]
- Liu, Y.; Hu, T.; Zhang, H.; Wu, H.; Wang, S.; Ma, L.; Long, M. iTransformer: Inverted Transformers Are Effective for Time Series Forecasting. arXiv 2023, arXiv:2310.06625v2. [Google Scholar]
- Chen, G.; Hou, Y.; Chu, X. Mesoscale Eddies in the South China Sea: Mean Properties, Spatiotemporal Variability, and Impact on Thermohaline Structure. J. Geophys. Res. 2011, 116, C06018. [Google Scholar] [CrossRef]
- Nan, F.; Xue, H.; Yu, F. Kuroshio Intrusion into the South China Sea: A Review. Prog. Oceanogr. 2015, 137, 314–333. [Google Scholar] [CrossRef]
- Du, Y.; Wu, D.; Liang, F.; Yi, J.; Mo, Y.; He, Z.; Pei, T. Major Migration Corridors of Mesoscale Ocean Eddies in the South China Sea from 1992 to 2012. J. Mar. Syst. 2016, 158, 173–181. [Google Scholar] [CrossRef]
- Dufter, P.; Schmitt, M.; Schütze, H. Position Information in Transformers: An Overview. Comput. Linguist. 2021, 48, 733–763. [Google Scholar] [CrossRef]
- Huang, Z.; Liang, D.; Xu, P.; Xiang, B. Improve Transformer Models with Better Relative Position Embeddings. arXiv 2020, arXiv:2009.13658. [Google Scholar]
- Foumani, N.M.; Tan, C.W.; Webb, G.I.; Salehi, M. Improving Position Encoding of Transformers for Multivariate Time Series Classification. arXiv 2023, arXiv:2305.16642. [Google Scholar] [CrossRef]
- Cuturi, M.; Blondel, M. Soft-DTW: A Differentiable Loss Function for Time-Series. In Proceedings of the International Conference on Machine Learning, Sydney, Australia, 6–11 August 2017. [Google Scholar]
- Hochreiter, S.; Schmidhuber, J. Long short-term memory. Neural Comput. 1997, 9, 1735–1780. [Google Scholar] [CrossRef]
- Graves, A.; Schmidhuber, J. Framewise Phoneme Classification with Bidirectional LSTM and Other Neural Network Architectures. Neural Netw. 2005, 18, 602–610. [Google Scholar] [CrossRef] [PubMed]
- Cho, K.; van Merrienboer, B.; Gulcehre, C.; Bahdanau, D.; Bougares, F.; Schwenk, H.; Bengio, Y. Learning Phrase Repre-sentations Using RNN Encoder-Decoder for Statistical Machine Translation. arXiv 2014, arXiv:1406.1078. [Google Scholar]









| Dataset | Time Resolution | Spatial Resolution | Feature | Unit | Description |
|---|---|---|---|---|---|
| MET | 1 day | / | Track | - | Trajectory identification number |
| Time | day | Timestamps since 1 January 1950 | |||
| Longitude | ° | Longitude of eddies’ effective contour | |||
| Latitude | ° | Latitude of eddies’ effective contour | |||
| Amplitude | m | The height difference between the eddies’ center and contour | |||
| Speed | m/s | Average speed of eddies’ contour | |||
| Radius | m | The radius of fit circle corresponding to the contour | |||
| Azimuth | rad | Azimuth to the eddy at the previous timestamp | |||
| Velocity | m/s | The moving average velocity of the eddies’center | |||
| SLA | 1 day | 0.25° | Adt | m | The absolute dynamic topography is the sea surface height above geoid |
| Ugos | m/s | Absolute geostrophic Velocity of sea surface: zonal component | |||
| Vgos | m/s | Absolute geostrophic Velocity of sea surface: meridian component |
| Datasets and Features and Model Mechanism | Case 1 | Case 2 | Case 3 | Case 4 | Case 5 | Case 6 |
|---|---|---|---|---|---|---|
| MET | 🗸 | 🗸 | 🗸 | 🗸 | 🗸 | 🗸 |
| SLA | - | 🗸 | 🗸 | 🗸 | 🗸 | 🗸 |
| Azimuth and Velocity | - | - | 🗸 | 🗸 | 🗸 | 🗸 |
| Conv + Avgpool | - | - | - | 🗸 | - | 🗸 |
| TAPE | - | - | - | - | 🗸 | 🗸 |
| MAE (km) | 21.970 | 14.900 | 11.680 | 11.127 | 8.986 | 8.294 |
| RMSE (km) | 27.421 | 17.748 | 14.062 | 13.771 | 10.897 | 9.874 |
| Method | MAE (km) | RMSE (km) | ||
|---|---|---|---|---|
| L2 | Soft-DTW | L2 | Soft-DTW | |
| Informer | 50.366 | 48.720 | 59.680 | 58.209 |
| LSTM | 27.209 | 23.259 | 34.151 | 29.842 |
| BiLSTM | 9.610 | 8.721 | 12.253 | 11.362 |
| GRU | 29.549 | 25.582 | 33.587 | 30.088 |
| BiGRU | 21.920 | 19.239 | 26.749 | 23.869 |
| Ours | 12.132 | 8.294 | 14.511 | 9.874 |
| Input Length | Days | MAE (km) | RMSE (km) | ||||||||||
|---|---|---|---|---|---|---|---|---|---|---|---|---|---|
| Informer | LSTM | BiLSTM | GRU | BiGRU | Ours | Informer | LSTM | BiLSTM | GRU | BiGRU | Ours | ||
| 7 | 1 | 22.893 | 13.015 | 10.871 | 11.443 | 12.667 | 9.103 | 27.701 | 16.074 | 14.129 | 14.342 | 15.877 | 9.960 |
| 2 | 24.867 | 13.985 | 11.703 | 11.711 | 12.780 | 9.244 | 29.898 | 17.319 | 15.320 | 14.780 | 16.349 | 10.158 | |
| 3 | 26.027 | 15.057 | 12.825 | 12.234 | 13.438 | 9.396 | 31.499 | 18.722 | 16.856 | 15.503 | 17.328 | 10.375 | |
| 4 | 27.836 | 16.210 | 13.985 | 12.865 | 14.216 | 9.461 | 33.868 | 20.210 | 18.451 | 16.370 | 18.406 | 10.486 | |
| 5 | 29.737 | 17.450 | 15.211 | 13.593 | 15.077 | 9.515 | 36.331 | 21.828 | 20.152 | 17.366 | 19.580 | 10.578 | |
| 6 | 31.499 | 18.784 | 16.470 | 14.397 | 16.017 | 9.549 | 38.646 | 23.572 | 21.883 | 18.473 | 20.873 | 10.656 | |
| 7 | 33.350 | 20.269 | 17.776 | 15.336 | 17.107 | 9.594 | 41.072 | 25.546 | 23.667 | 19.794 | 22.382 | 10.732 | |
| 14 | 1 | 36.987 | 12.675 | 8.009 | 12.541 | 11.397 | 7.305 | 43.543 | 15.022 | 10.428 | 15.431 | 13.936 | 8.547 |
| 2 | 38.134 | 11.993 | 7.330 | 12.269 | 9.913 | 7.257 | 44.893 | 14.445 | 9.687 | 15.253 | 12.614 | 8.558 | |
| 3 | 39.551 | 12.070 | 7.078 | 12.270 | 9.440 | 7.116 | 46.607 | 14.678 | 9.416 | 15.305 | 12.215 | 8.476 | |
| 4 | 40.682 | 12.423 | 7.023 | 12.398 | 9.308 | 7.109 | 48.071 | 15.205 | 9.362 | 15.529 | 12.123 | 8.498 | |
| 5 | 42.159 | 12.974 | 7.089 | 12.652 | 9.366 | 7.097 | 49.920 | 15.973 | 9.441 | 15.883 | 12.259 | 8.524 | |
| 6 | 43.557 | 13.739 | 7.271 | 13.082 | 9.639 | 7.151 | 51.721 | 17.042 | 9.654 | 16.478 | 12.702 | 8.597 | |
| 7 | 45.190 | 14.751 | 7.655 | 13.716 | 10.261 | 7.190 | 53.750 | 18.513 | 10.198 | 17.353 | 13.697 | 8.658 | |
| 21 | 1 | 43.611 | 18.826 | 10.842 | 22.205 | 15.272 | 7.675 | 51.925 | 22.168 | 13.168 | 25.615 | 18.697 | 8.937 |
| 2 | 43.455 | 16.840 | 9.307 | 22.527 | 15.647 | 7.668 | 51.711 | 20.804 | 11.762 | 25.941 | 19.180 | 9.012 | |
| 3 | 43.838 | 17.371 | 8.648 | 22.776 | 16.159 | 7.810 | 52.218 | 21.754 | 11.087 | 26.292 | 19.843 | 9.178 | |
| 4 | 44.842 | 18.527 | 8.355 | 23.219 | 16.752 | 7.910 | 53.422 | 23.405 | 10.785 | 26.875 | 20.601 | 9.317 | |
| 5 | 46.237 | 19.990 | 8.286 | 23.845 | 17.469 | 8.054 | 55.191 | 25.427 | 10.714 | 27.713 | 21.516 | 9.533 | |
| 6 | 47.374 | 21.585 | 8.412 | 24.631 | 18.278 | 8.204 | 56.589 | 27.591 | 10.894 | 28.775 | 22.580 | 9.744 | |
| 7 | 48.720 | 23.259 | 8.721 | 25.582 | 19.239 | 8.294 | 58.209 | 29.842 | 11.362 | 30.088 | 23.869 | 9.874 | |
| Input Length | Train Time (GPU-Days) | Test Time (GPU-Minutes) | ||||||||||
|---|---|---|---|---|---|---|---|---|---|---|---|---|
| Informer | LSTM | BiLSTM | GRU | BiGRU | Ours | Informer | LSTM | BiLSTM | GRU | BiGRU | Ours | |
| 7 | 0.502 | 0.535 | 0.563 | 0.510 | 0.521 | 0.313 | 3.614 | 3.852 | 4.454 | 3.662 | 3.751 | 2.251 |
| 14 | 0.597 | 0.612 | 0.698 | 0.603 | 0.667 | 0.426 | 4.278 | 4.416 | 5.024 | 4.341 | 4.808 | 3.064 |
| 21 | 0.634 | 0.697 | 0.792 | 0.678 | 0.712 | 0.511 | 4.561 | 5.018 | 5.702 | 4.886 | 5.127 | 3.678 |
Disclaimer/Publisher’s Note: The statements, opinions and data contained in all publications are solely those of the individual author(s) and contributor(s) and not of MDPI and/or the editor(s). MDPI and/or the editor(s) disclaim responsibility for any injury to people or property resulting from any ideas, methods, instructions or products referred to in the content. |
© 2024 by the authors. Licensee MDPI, Basel, Switzerland. This article is an open access article distributed under the terms and conditions of the Creative Commons Attribution (CC BY) license (https://creativecommons.org/licenses/by/4.0/).
Share and Cite
Du, Y.; Huang, J.; Chen, J.; Chen, K.; Wang, J.; He, Q. Enhanced Transformer Framework for Multivariate Mesoscale Eddy Trajectory Prediction. J. Mar. Sci. Eng. 2024, 12, 1759. https://doi.org/10.3390/jmse12101759
Du Y, Huang J, Chen J, Chen K, Wang J, He Q. Enhanced Transformer Framework for Multivariate Mesoscale Eddy Trajectory Prediction. Journal of Marine Science and Engineering. 2024; 12(10):1759. https://doi.org/10.3390/jmse12101759
Chicago/Turabian StyleDu, Yanling, Jiahao Huang, Jiasheng Chen, Ke Chen, Jian Wang, and Qi He. 2024. "Enhanced Transformer Framework for Multivariate Mesoscale Eddy Trajectory Prediction" Journal of Marine Science and Engineering 12, no. 10: 1759. https://doi.org/10.3390/jmse12101759
APA StyleDu, Y., Huang, J., Chen, J., Chen, K., Wang, J., & He, Q. (2024). Enhanced Transformer Framework for Multivariate Mesoscale Eddy Trajectory Prediction. Journal of Marine Science and Engineering, 12(10), 1759. https://doi.org/10.3390/jmse12101759

