Experimental Study of the Random Wave-Induced Hydrodynamics and Soil Response in a Porous Seabed Around Double Piles
Abstract
1. Introduction
2. Laboratory Experiment
2.1. Experimental Setup
2.2. Instrument Setup
2.3. Soil Properties
2.4. Hydrodynamic Conditions
2.5. Experimental Process
- (1)
- Arrangement of single and double piles and sensors: After thoroughly cleaning the wave flume and the sand tank in the test section, the wave pressure sensors and some pore pressure sensors were installed into pre-drilled holes on the pile surfaces. The remaining pore pressure sensors were affixed to a steel frame within the soil tank. Four wave gauges were secured to a wooden plank positioned above the walls of the wave flume. It is essential for the pore pressure sensors to be immersed in water for at least 24 h to ensure any trapped air is completely expelled, thereby enhancing the accuracy of the experiment.
- (2)
- Filling the soil tank: Quartz sand was gradually poured into the middle section of the soil tank while simultaneously adding water and continuously stirring the mixture until a uniform liquid state was achieved. After filling the sand, it was left to settle for at least three days to allow consolidation, resulting in a final consolidated soil layer thickness of approximately 0.3 m, with the surface soil smoothed using a scraper.
- (3)
- Water filling in the wave flume: Water was slowly added to the wave flume until the water level above the soil tank reached 0.45 m, at which point the filling was halted.
- (4)
- Activating the wave generator: For pure wave testing, the wave generator was directly turned on after waiting for the water surface to stabilize.
- (5)
- Sensor data collection statistics: All sensors began data acquisition simultaneously, with a sampling frequency set at 100 Hz and a data collection duration of 210 s. During this period, the oscillatory pore pressures in the sandy seabed sufficiently developed and reached a state of equilibrium.
- (6)
- Shutdown of the wave generator.
- (7)
- The next set of experiments under the same case repeated steps (4)–(6); when changing to the next case, steps (1)–(6) were repeated.
3. Hydrodynamic Characteristics Around the Double Piles under Random Wave Action
3.1. Wave Profiles Around the Double Piles
3.2. Dynamic Wave Pressures Around the Double Piles
4. Seabed Response Around the Double Piles under Random Wave Action
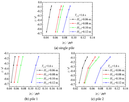
4.1. Seabed Response in Front of the Single and Double Piles
4.2. Effects of the Relative Spacing Ratios
4.3. Effects of the Wave Incident Angles
4.4. Effects of the Diameters of the Front Pile
5. Conclusions
- Under the action of random waves, the wave profiles around the double piles displayed irregularity, and the nonlinearity was significant. There was a phase difference in the wave profile around the double piles compared to the single pile. The blocking effect of the structure on the wave propagation caused the wave surface in front of pile 2 to be higher than that behind it.
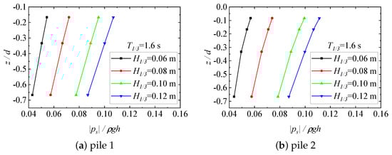
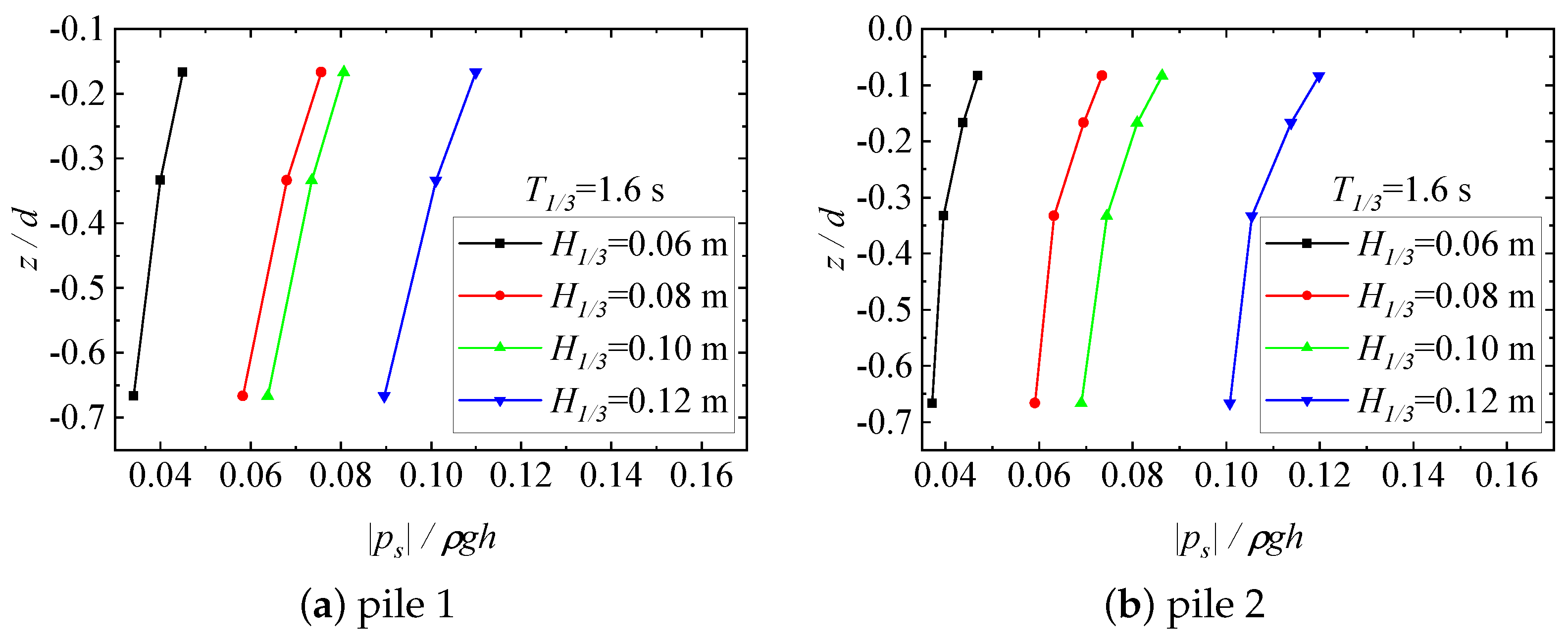
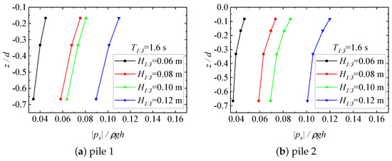
- The wave pressures around the surface of the tandem piles increased with the significant wave period. When s, the obvious shielding effect caused the dynamic wave pressures around pile 2 to be smaller than that for pile 1 and a single pile. As the significant wave period increased, the impact of the long-period reflected waves gradually became larger.
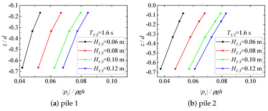
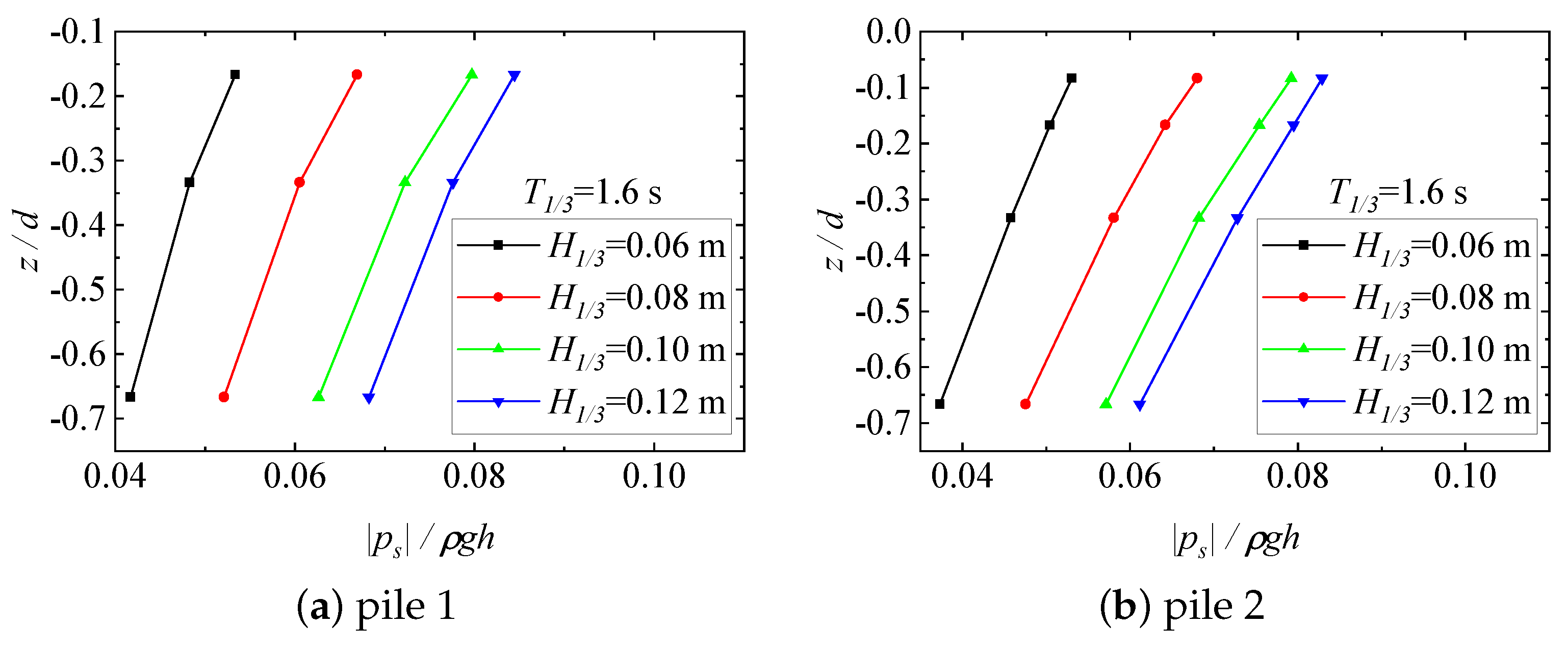
- The pore pressures at the front surface of the double piles decreased continuously as the soil layer depth increased, and those attenuation rates also decreased layer by layer. As the significant wave height or period increased, the pore pressures in front of the double piles also increased.
- When , the group-pile effect decreased, and the pore pressures around pile 2 gradually approached that of a single pile. As the significant wave height or period increased, the strong wave field around the double piles and the influence of long-period reflected waves caused them to increase relative to those of a single pile.
- As the angle of wave incidence increased to 90°, the overall contact area between the double piles and the waves increased in the direction of the incoming waves. The mutual interference between the double piles also intensified, resulting in significantly higher pore pressures around them compared to the single pile and other wave incident angles.
- On the one hand, a larger diameter of the front pile suppressed the pore pressure response in the seabed around the rear pile. This was evident when the significant wave height was small. On the other hand, as the significant wave height increased, the wave rise caused by the large diameter of the front pile had a more pronounced impact on the seabed response than the shielding effect.
- When designing more complex marine structures, the diameter of the pile foundation should be considered to be consistent. In addition, the spacing between pile groups should be considered to be less than three times the diameter of the piles. Furthermore, it should be avoided as much as possible that the central connection line of the pile group was perpendicular to the direction of significant incident wave propagation.
Author Contributions
Funding
Institutional Review Board Statement
Informed Consent Statement
Data Availability Statement
Conflicts of Interest
References
- Lan, Y.M.; Liu, H.; Huang, P.X.; Xue, L.P.; Chen, G. Experimental studies on hydrodynamic loads on piles and slab of Donghai Bridge, Part II: Hydrodynamic forces on pile array and slab in wave-current combinations. Chin. J. Hydrodyn. 2004, 20, 332–339. (In Chinese) [Google Scholar] [CrossRef]
- Lin, Y.F.; Li, J.Y.; Shen, D.; Song, C. Structure characteristics and design technique keys of wind turbine foundation in Shanghai Donghai bridge offshore wind farm. Shanghai Electron. Power 2007, 2, 153–157. [Google Scholar]
- Liu, S.X.; Li, Y.C.; Li, G.W. Wave current forces on the pile group of base foundation for the east Sea bridge, China. J. Hydrodyn. 2007, 19, 661–670. [Google Scholar] [CrossRef]
- Xiao, Z.; Song, L.; Li, J. Stability of the large cylindrical structures in Hong Kong–Zhuhai–Macao bridge: A case study. Appl. Ocean. Res. 2020, 97, 102092. [Google Scholar] [CrossRef]
- Sumer, B.M.; Hatipoglu, F.; Fredsoe, J.; Hansen, N.K.O. Critical flotation density of pipelines in soils liquefied by waves and density of liquefied soils. J. Waterw. Port Coastal Ocean. Eng. Asce 2006, 132, 252–265. [Google Scholar] [CrossRef]
- Sumer, B.M. Liquefaction around Marine Structures; World Scientific: Hackensack, NJ, USA, 2014. [Google Scholar] [CrossRef]
- Jeng, D.S. Mechanics of Wave-Seabed-Structure Interactions: Modelling, Processes and Applications; Cambridge University Press: Cambridge, UK, 2018. [Google Scholar] [CrossRef]
- Diaz-Carrasco, P.; Croquer, S.; Tamimi, V.; Lacey, J.; Poncet, S. Advances n numerical Reynolds-Average Navier STokes modelling of wave-structure-seabed interactions and scour. J. Mar. Sci. Eng. 2021, 9, 611. [Google Scholar] [CrossRef]
- Li, X.; Gao, F.; Yang, B.; Zang, J. Wave-induced pore pressure response and soil liquefaction around pile foundation. Int. J. Offshore Polar Eng. 2011, 21, 233–239. [Google Scholar]
- Kirca, V.S.O.; Sumer, B.M.; Fredsøe, J. Influence of clay content on wave-induced liquefaction. J. Waterw. Port Coast. Ocean. Eng. Asce 2014, 140, 04014024. [Google Scholar] [CrossRef]
- Ye, J.; Zhou, H.; He, K. A generalized framework of two-way coupled numerical model for fluid–structure-seabed interaction (FSSI): Explicit algorithm. Eng. Geol. 2024, 340, 107679. [Google Scholar] [CrossRef]
- Nago, H.; Maeno, S.; Matsumoto, T.; Hachiman, Y. Liquefaction and densification of loosely deposited sand bed under water pressure variation. In Proceedings of the 3rd International Offshore and Polar Engineering Conference (ISOPE1993), Singapore, 6–11 June 1993; Volume I, pp. 578–584. [Google Scholar]
- Zen, K.; Yamazaki, H. Mechanism of wave-induced liquefaction and densification in seabed. Soils Found. 1990, 30, 90–104. [Google Scholar] [CrossRef]
- Sumer, B.M.; Fredsøe, J. The Mechanics of Scour in the Marine Environment; World Scientific: London, UK, 2002. [Google Scholar] [CrossRef]
- Wan, Z.P.; Cui, L.; Jeng, D.S. Mechanisms of seabed response under combined wave and current loading: Partially dynamic (u-p) coupling model. Ocean. Eng. 2024, 310, 118721. [Google Scholar] [CrossRef]
- Li, M.; Zhang, H.; Guan, H.; Lin, G. Three-dimensional investigations of wave-pile group interaction using the scaled boundary finite element method. Part I: Theoreal developments. Ocean. Eng. 2013, 64, 174–184. [Google Scholar] [CrossRef][Green Version]
- Li, M.; Guan, H.; Zhang, H.; Liu, J. Three-dimensional investigations of wave-pile group interaction using the scaled boundary finite element method. Part II: Application results. Ocean. Eng. 2013, 64, 185–195. [Google Scholar] [CrossRef]
- Qi, W.G.; Gao, F.P. Physical modeling of local scour development around a large-diameter monopile in combined waves and current. Coast. Eng. 2014, 83, 72–81. [Google Scholar] [CrossRef]
- Lin, J.; Zhang, J.S.; Sun, K.; Wei, X.L.; Guo, Y.K. Numerical analysis of seabed dynamic response in vicinity of mono-pile under wave-current loading. Water Sci. Eng. 2020, 13, 74–82. [Google Scholar] [CrossRef]
- Zhang, Q.; Zhou, X.L.; Wang, J.H.; Guo, J.J. Wave-induced seabed response around an offshore pile foundation platform. Ocean. Eng. 2017, 130, 567–582. [Google Scholar] [CrossRef]
- Lin, Z.; Dubravka, P.; Guo, Y.; Liao, C.; Tang, T. Near-trapping effect of wave-cylinders interaction on pore water pressure and liquefaction around a cylinder array. Ocean. Eng. 2020, 218, 108947. [Google Scholar] [CrossRef]
- Asumadu, R.; Zhang, J.; Osei-Wusuansa, H. 3-D numerical study of offshore tripod wind turbine pile foundation on wave-induced seabed response. Ocean. Eng. 2022, 255, 111421. [Google Scholar] [CrossRef]
- Goda, Y. Random Seas and Design of Marine Structures; World Scientific Press: London, UK, 2000. [Google Scholar]
- Hasselmann, K.; Barnett, T.P.; Bouws, E.; Carlson, H.; Cartwright, D.E.; Enke, K.; Ewing, J.A.; Gienapp, H.; Hasselmann, D.E.; Kruseman, P.; et al. Measurements of Wind-Wave Growth and Swell Decay during the Joint North Sea Wave Project (JONSWAP). Technical Report 8. In Erganzungsheft zur Deutschen Hydrographischen Zeitschrift Reihe A; MPG Publisher: Carmichael, CA, USA, 1973. [Google Scholar]
- Huang, N.; Long, S.; Tung, C.; Yuen, Y.; Bliven, L. A unified two-parameter wave spectral model for a general sea state. J. Fluid Mech. 1981, 112, 203–224. [Google Scholar] [CrossRef]
- Wen, S.C.; Zhang, D.C.; Cheng, B.H.; Guo, P.F. Theoretical wind wave frequency spectra in deep water. I. Form of spectrum. Acta Oceanol. Sinca 1998, 7, 1–16. [Google Scholar]
- Liu, H.; Jeng, D.S. A semi-analytical solution for random wave-induced soil response and seabed liquefaction in marine sediments. Ocean. Eng. 2007, 34, 1211–1224. [Google Scholar] [CrossRef]
- Xu, H.X.; Dong, P. A probabilistic analysis of random wave-induced liquefaction. Ocean. Eng. 2011, 38, 860–867. [Google Scholar] [CrossRef]
- Yu, J.H.; Gao, F.P.; Li, C.F. Response spectra for transient pore-pressure in a sandy seabed under random waves: Frequency-filtering effect. Ocean. Eng. 2023, 279, 114490. [Google Scholar] [CrossRef]
- Sumer, B.M.; Cheng, N.S. A random-walk model for pore pressure accumulation in marine soils. In Proceedings of the 9th International Offshore and Polar Engineering Conference (ISOPE99), Brest, France, 30 May–4 June 1999; Volume 1, pp. 521–528. [Google Scholar]
- Zhou, X.L.; Zhang, J.; Lv, H.J.; Chen, J.J.; Wang, J.H. Numerical analysis on random wave-induced porous seabed response. Mar. Georesour. Geotechnol. 2018, 36, 974–985. [Google Scholar] [CrossRef]
- Zhang, Q.; Zhai, H.; Wang, P.; Wang, S.; Duan, L.; Chen, L.; Liu, Y.; Jeng, D.S. Experimental study on irregular wave-induced pore-water pressures in a porous seabed around a mono-pile. Appl. Ocean. Res. 2020, 95, 102041. [Google Scholar] [CrossRef]


















| Serial Number | (m) | (s) |
|---|---|---|
| 1 | 0.06 | 1.6 |
| 2 | 0.08 | 1.6 |
| 3 | 0.10 | 1.6 |
| 4 | 0.12 | 1.6 |
| 5 | 0.10 | 1.2 |
| 6 | 0.10 | 1.4 |
| 7 | 0.10 | 1.8 |
| Pile Diameter D (m) | Submerged Weight (N/m) |
|---|---|
| 0.08 | 2.3 |
| 0.10 | 2.9 |
| 0.12 | 3.5 |
| Soil Properties | Value | Unit |
|---|---|---|
| Dry density () | 1.5337 | g/cm2 |
| Specific gravity () | 2.6540 | - |
| Permeability coefficient () | 0.0767 | cm/s |
| Poisson’s ratio () | 0.3 | - |
| Shear modulus (G) | 9.23 | MN/m2 |
| Void ratio (e) | 0.7304 | - |
| Porosity (n) | 0.4221 | - |
| Maximum dry density () | 1.6076 | g/cm3 |
| Minimum dry density () | 1.2963 | g/cm3 |
| Relative density () | 0.7994 | - |
| Median particle size () | 0.2037 | mm |
Disclaimer/Publisher’s Note: The statements, opinions and data contained in all publications are solely those of the individual author(s) and contributor(s) and not of MDPI and/or the editor(s). MDPI and/or the editor(s) disclaim responsibility for any injury to people or property resulting from any ideas, methods, instructions or products referred to in the content. |
© 2024 by the authors. Licensee MDPI, Basel, Switzerland. This article is an open access article distributed under the terms and conditions of the Creative Commons Attribution (CC BY) license (https://creativecommons.org/licenses/by/4.0/).
Share and Cite
Wang, M.; Si, W.; Gao, Y.; Cui, L.; Jeng, D.-S.; Sun, K.; Chen, B.; Zhao, H. Experimental Study of the Random Wave-Induced Hydrodynamics and Soil Response in a Porous Seabed Around Double Piles. J. Mar. Sci. Eng. 2024, 12, 1715. https://doi.org/10.3390/jmse12101715
Wang M, Si W, Gao Y, Cui L, Jeng D-S, Sun K, Chen B, Zhao H. Experimental Study of the Random Wave-Induced Hydrodynamics and Soil Response in a Porous Seabed Around Double Piles. Journal of Marine Science and Engineering. 2024; 12(10):1715. https://doi.org/10.3390/jmse12101715
Chicago/Turabian StyleWang, Mingqing, Wenqi Si, Yaru Gao, Lin Cui, Dong-Sheng Jeng, Ke Sun, Bing Chen, and Hongyi Zhao. 2024. "Experimental Study of the Random Wave-Induced Hydrodynamics and Soil Response in a Porous Seabed Around Double Piles" Journal of Marine Science and Engineering 12, no. 10: 1715. https://doi.org/10.3390/jmse12101715
APA StyleWang, M., Si, W., Gao, Y., Cui, L., Jeng, D.-S., Sun, K., Chen, B., & Zhao, H. (2024). Experimental Study of the Random Wave-Induced Hydrodynamics and Soil Response in a Porous Seabed Around Double Piles. Journal of Marine Science and Engineering, 12(10), 1715. https://doi.org/10.3390/jmse12101715

