Focusing Monochromatic Water Surface Waves by Manipulating the Phases Using Submerged Blocks
Abstract
1. Introduction
2. Methods
2.1. Theoretical Model
2.2. Numerical Method
3. Results
3.1. Convergence Tests
3.2. Validation of SPH
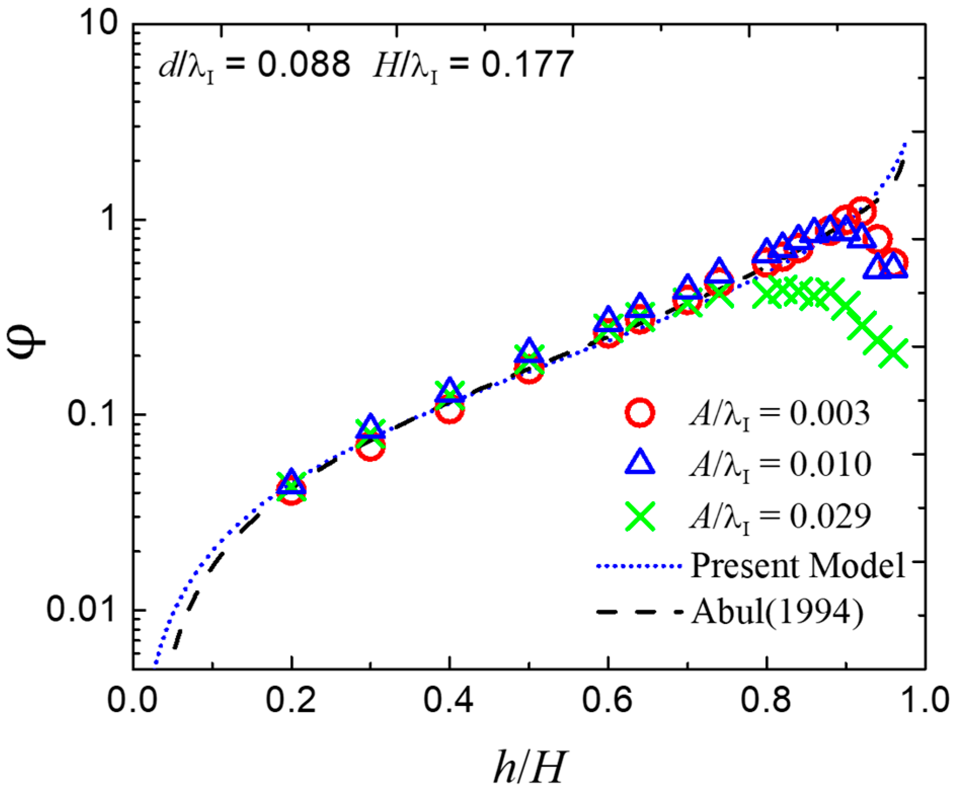
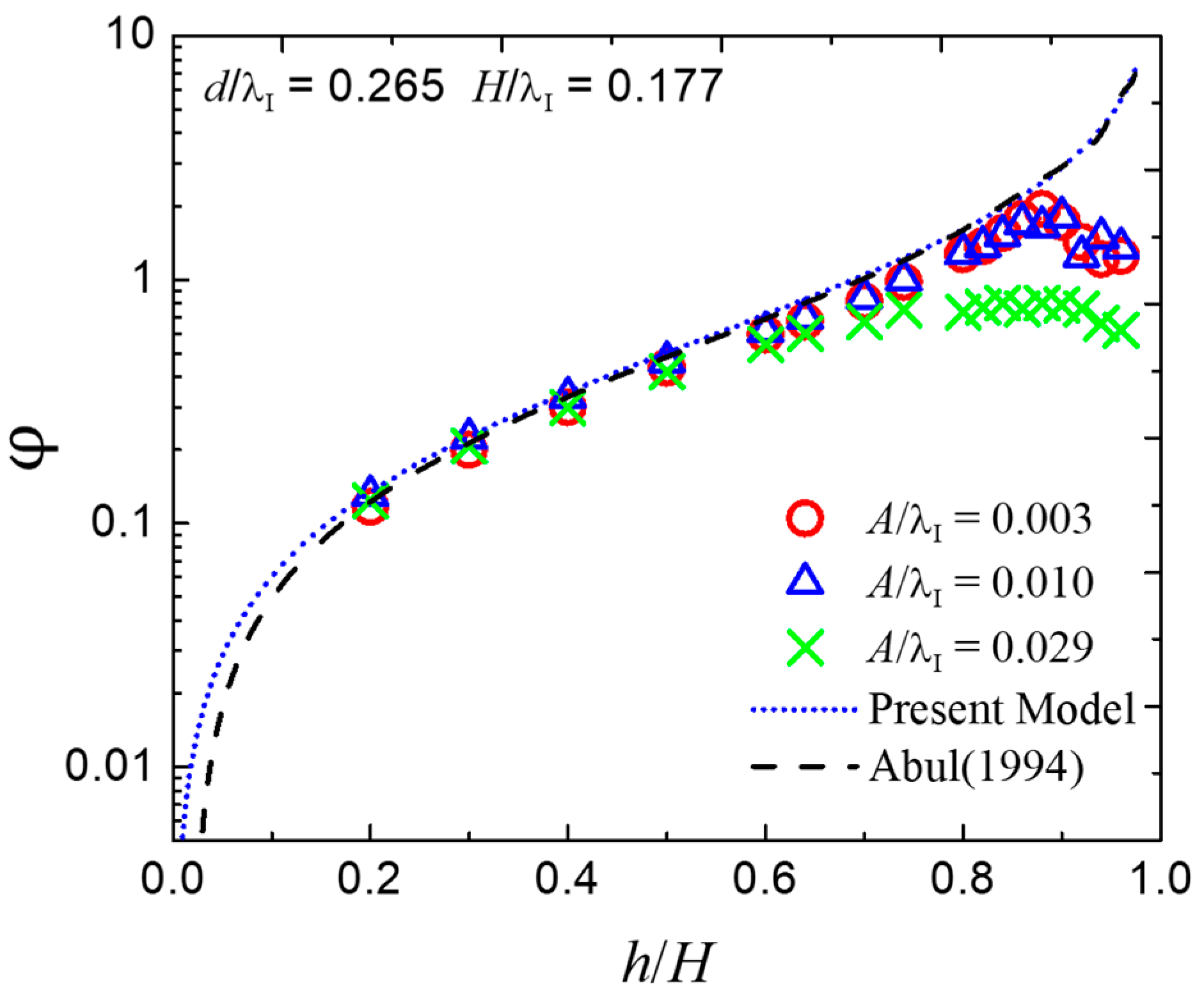
3.3. Numerical Phase Lags
3.4. Surface Wave Focusing
4. Discussions
5. Conclusions
- Success:
- We successfully present a method to design 3D blocks capable of focusing water surface waves by manipulating the phase of transmitted waves. SPH simulations validate the effectiveness of this method and demonstrate that the relative wave intensity can achieve 1.36 at the focal point.
- Applicability:
- This method can be applied to enhance the monochromatic and regular wave power by ensuring in-phase waves converge at a focal point through geometric manipulation of 2D block elements.
- Primary Limitations:
- The model currently addresses only phase manipulation and does not fully optimize the transmission coefficient of wave scattering. Additionally, the method does not account for the complexities of real sea conditions, such as irregular and multidirectional waves, which make optimization more challenging.
- Future Scope of Model Formulations:
- Future work should focus on optimizing both the phase and the transmission coefficient to improve performance in diverse sea conditions. This study lays the groundwork for more efficient wave energy collection methods, with potential for faster, more effective computational optimizations.
Author Contributions
Funding
Institutional Review Board Statement
Informed Consent Statement
Data Availability Statement
Conflicts of Interest
References
- Li, C.; Lin, X.; Zhu, L.; Zou, X.; Liu, Q.H.; Wang, Z.; Chen, H. Concentrator for water waves. Phys. Rev. Lett. 2018, 121, 104501. [Google Scholar] [CrossRef] [PubMed]
- Mustapa, M.A.; Yaakob, O.B.; Ahmed Yasser, M.; Rheem, C.K.; Koh, K.K.; Adnan, F.A. Wave energy device and breakwater integration: A review. Renew. Sust. Energ. Rev. 2017, 77, 43–58. [Google Scholar] [CrossRef]
- Mehlum, E.; Stamnes, J. On the focusing of ocean swells and its significance in power production. Cent. Inst. Indust. Res. Blindern Oslo SI Rep. 1978, 77, 1–38. [Google Scholar]
- Stamnes, J.; Lovhaugen, O.; Spjelkavik, B.; Mei, C.C.; Lo, E.; Yue, D.K.P. Nonlinear focusing of surface waves by a lens- theory and experiment. J. Fluid Mech. 1983, 135, 71–94. [Google Scholar] [CrossRef]
- Griffiths, L.S.; Porter, R. Focusing of surface waves by variable bathymetry. Appl. Ocean Res. 2012, 34, 150–163. [Google Scholar] [CrossRef]
- Gerardo Ruiz, C.; Patrice, L.G.; Michael, L.B. Geometrical focusing of surface waves. Phys. Rev. Fluids 2018, 3, 094803. [Google Scholar]
- Wang, Z.; Zhang, P.; Nie, X.; Zhang, Y. Focusing of liquid surface waves by gradient index lens. EPL 2014, 108, 24003. [Google Scholar] [CrossRef]
- Wang, Z.; Zhang, P.; Nie, X.; Zhang, Y. Manipulating water wave propagating via grdient index media. Sci. Rep. 2015, 5, 16846. [Google Scholar]
- Hu, X.; Chan, C.T. Refraction of water waves by periodic cylinder arrays. Phys. Rev. Lett. 2005, 95, 154501. [Google Scholar] [CrossRef]
- Zheng, S.; Liang, H.; Michele, S.; Greaves, D. Water wave interaction with an array of submerged circular plates: Hankel transform approach. Phys. Rev. Fluids 2023, 8, 014803. [Google Scholar] [CrossRef]
- Mayon, R.; Ning, D.; Xu, J.; Fu, L. Oscillating water column wave energy converter arrays coupled with a parabolic-wall energy concentrator in regular and irregular wave conditions. Coast. Eng. 2024, 192, 104559. [Google Scholar] [CrossRef]
- Khorasaninejad, F.; Capasso, F. Metalenses: Versatile multifunctional photonic components. Science 2017, 358, eaam8100. [Google Scholar] [CrossRef]
- Liu, W.; Cheng, H.; Tian, J.; Chen, S. Diffractive metalens: From fundamentals, practical applications to current trends. Adv. Phys. X 2020, 5, 1742584. [Google Scholar] [CrossRef]
- Yu, N.F.; Capasso, F. Flat optics with designer metasurfaces. Nat. Mater. 2014, 13, 139–150. [Google Scholar] [CrossRef]
- Kildishev, A.V.; Boltasseva, A.; Shalaev, V.M. Planar photonics with metasurfaces. Science 2013, 339, 1232009. [Google Scholar] [CrossRef]
- Wang, J.; Coillet, A.; Demichel, O.; Wang, Z.; Rego, D.; Bouhelier, A.; Grelu, P.; Cluzel, B. Saturable plasmonic metasurfaces for laser mode locking. Light Sci. Appl. 2020, 9, 50. [Google Scholar] [CrossRef]
- Khorasaninejad, M.; Chen, W.T.; Devlin, R.C.; Oh, J.; Zhu, A.Y.; Capasso, F. Metalenses at visible wavelengths: Diffraction-limited focusing and subwavelength resolution imaging. Science 2016, 352, 1190–1194. [Google Scholar] [CrossRef]
- Newman, J.N. Propagation of water waves past long two-dimensional obstacle. J. Fluid Mech. 1965, 23, 23–29. [Google Scholar] [CrossRef]
- MEI, C.C.; BLACK, J.L. Scattering of surface waves by rectangular obstacles in waters of finite depth. J. Fluid Mech. 1969, 38, 499–511. [Google Scholar] [CrossRef]
- Airy, G.B. Tides and Waves; Encyclopaedia Metropolitana; William Clowes and Sons: London, UK, 1845; Volume 5, pp. 241–396. [Google Scholar]
- Barreiro, A.; Crespo, A.J.C.; Dominguez, J.M.; Gomez-Gesteira, M. Smoothed particle hydrodynamics for coastal engineering problems. Comput. Struct. 2013, 120, 96–106. [Google Scholar] [CrossRef]
- Wendland, H. Piecewiese polynomial, positive definite and compactly supported radial functions of minimal degree. Adv. Comput. Math. 1995, 4, 389–396. [Google Scholar] [CrossRef]
- Monaghan, J.J.; Cas, R.A.F.; Kos, A.M.; Hallworth, M. Gravity currents descending a ramp in a stratified tank. J. Fluid Mech. 1999, 379, 39–70. [Google Scholar] [CrossRef]
- Monaghan, J.J. Smoothed particle hydrodynamics. Annu. Rev. Astron. Astrophys. 1992, 30, 543–574. [Google Scholar] [CrossRef]
- Altomare, C.; Crespo, A.J.C.; Domínguez, J.M.; Gómez-Gesteira, M.; Suzuki, T.; Verwaest, T. Applicability of smoothed particle hydrodynamics for estimation of sea wave impact on coastal structures. Coast. Eng. 2015, 96, 1–12. [Google Scholar] [CrossRef]
- Molteni, D.; Colagrossi, A. A simple procedure to improve the pressure evaluation in hydrodynamic context using the SPH. Comput. Phys. Commun. 2009, 180, 861–872. [Google Scholar] [CrossRef]
- Madsen, O.S. Waves generated by a Piston-type wavemaker. Proc. Coast. 1970, 1, 36. [Google Scholar] [CrossRef]
- Leimkuhler, B.J.; Reich, S.; Skeel, R.D. Integration methods for molecular dynamics. In Mathematical Approaches to Biomolecular Structure and Dynamics; Mesirov, J.P., Schulten, K., Sumners, D.W., Eds.; The IMA Volumes in Mathematics and Its Applications; Springer: New York, NY, USA, 1996; Volume 82. [Google Scholar]
- Schaffer, H.A.; Klopman, G. Review of multidirectional active wave absorption methods. J. Waterw. Port Coast. Ocean Eng. 2000, 126, 88–97. [Google Scholar] [CrossRef]
- Crespo, A.J.C.; Domínguez, J.M.; Rogers, B.D.; Gomez-Gesteira, M.; Longshaw, S.; Canelas, R.; Vacondio, R.; Barreiro, A.; Garcia-Feal, O. DualSPHysics: Open-source parallel CFD solver on SPH. Comput. Phys. Commun. 2015, 187, 204–216. [Google Scholar] [CrossRef]
- Zeng, J.; Shen, J.; Liu, H. A parametric study of dam break flow feature over a dry bed using SPH modeling. In APAC 2019: Proceedings of the 10th International Conference on Asian and Pacific Coasts, Hanoi, Vietnam, 25–28 September 2019; Viet, N.T., Xiping, D., Tung, T.T., Eds.; Springer: Singapore, 2019. [Google Scholar]
- Ropero-Giralda, P.; Crespo, A.J.C.; Coe, R.G.; Tagliafierro, B.; Domínguez, J.M.; Bacelli, G.; Gómez-Gesteira, M. Modelling a heaving point-absorber with a closed-loop control system using the DualSPHysics code. Energies 2021, 14, 760. [Google Scholar] [CrossRef]
- Liu, B.; Cheng, D.; Sun, Z.; Zhao, X.; Chen, T.; Lin, W. Experimental and numerical study of regular waves past a submerged breakwater. J. Hydrodyn. 2019, 31, 641–653. [Google Scholar] [CrossRef]
- Massel, S. Harmonic generation by waves propagating over a submerged step. Coast. Eng. 1983, 7, 357–380. [Google Scholar] [CrossRef]
- Grue, J. Nonlinear water waves at a submerged obstacle or bottom topography. J. Fluid Mech. 1992, 244, 455. [Google Scholar] [CrossRef]
- Goda, Y.; Okazaki, K.; Kagawa, M. Generation and evolution of harmonic wave components by abrupt depth changes. Proc. Coast. Struct. 1999, 99, 649–658. [Google Scholar]
- Beji, S.; Battjes, J.A. Experimental investigation of wave propagation over a bar. Coast. Eng. 1993, 19, 151–162. [Google Scholar] [CrossRef]
- Abul-Azm, A.G. Diffraction Through Wide Submerged Breakwaters Under Oblique Waves. Ocean Eng. 1994, 21, 683–706. [Google Scholar] [CrossRef]
- Wang, J.; Chung, F.F.; Ong, M.C. Water-wave diffractions by three-dimensional periodic rectangular blocks: Fourier modal analysis. Phys. Fluids 2024, 36, 077147. [Google Scholar] [CrossRef]
- Bailard, J.A.; DeVries, J.W.; Kirby, J.T. Considerations in Using Bragg Reflection for Storm Erosion Protection. J. Waterw. Port Coast. Ocean Eng. 1992, 118, 62–74. [Google Scholar] [CrossRef]
- Davies, A.G.; Heathershaw, A.D. Surface-wave propagation over sinusoidally varying topography. J. Fluid Mech. 1984, 144, 419–443. [Google Scholar] [CrossRef]
- Hara, T.; Mei, C.C. Bragg scattering of surface waves by periodic bars: Theory and experiment. J. Fluid Mech. 1987, 178, 221–241. [Google Scholar] [CrossRef]
- Zu, X.; Chen, B.; Tang, N.; Sha, W.; Wang, J.; Qiu, M. Versatile optical beam routers based on inversely designed supercell metagratings. Photonics Nanostruct. Fundam. Appl. 2022, 52, 101075. [Google Scholar] [CrossRef]
- Pestourie, R.; Pérez-Arancibia, C.; Lin, Z.; Shin, W.; Capasso, F.; Johnson, S.G. Inverse design of large-area metasurfaces. Opt. Express 2018, 26, 33732. [Google Scholar] [CrossRef]


















| Lenses | h/H | d/λI | L/λI | φ [Radians] |
|---|---|---|---|---|
| Type I | [0, 0.75] | 0.37 | 1.4 | [0, 0.43π] |
| Type II | 0.75 | [0, 0.37] | 1.4 | [0, 0.43π] |
| Type III | h/H = 0.75 d/λI | [0, 0.37] | 1.4 | [0, 0.43π] |
Disclaimer/Publisher’s Note: The statements, opinions and data contained in all publications are solely those of the individual author(s) and contributor(s) and not of MDPI and/or the editor(s). MDPI and/or the editor(s) disclaim responsibility for any injury to people or property resulting from any ideas, methods, instructions or products referred to in the content. |
© 2024 by the authors. Licensee MDPI, Basel, Switzerland. This article is an open access article distributed under the terms and conditions of the Creative Commons Attribution (CC BY) license (https://creativecommons.org/licenses/by/4.0/).
Share and Cite
Chung, F.F.; Ong, M.C.; Wang, J. Focusing Monochromatic Water Surface Waves by Manipulating the Phases Using Submerged Blocks. J. Mar. Sci. Eng. 2024, 12, 1706. https://doi.org/10.3390/jmse12101706
Chung FF, Ong MC, Wang J. Focusing Monochromatic Water Surface Waves by Manipulating the Phases Using Submerged Blocks. Journal of Marine Science and Engineering. 2024; 12(10):1706. https://doi.org/10.3390/jmse12101706
Chicago/Turabian StyleChung, Fei Fang, Muk Chen Ong, and Jiyong Wang. 2024. "Focusing Monochromatic Water Surface Waves by Manipulating the Phases Using Submerged Blocks" Journal of Marine Science and Engineering 12, no. 10: 1706. https://doi.org/10.3390/jmse12101706
APA StyleChung, F. F., Ong, M. C., & Wang, J. (2024). Focusing Monochromatic Water Surface Waves by Manipulating the Phases Using Submerged Blocks. Journal of Marine Science and Engineering, 12(10), 1706. https://doi.org/10.3390/jmse12101706

