Study on the Sand-Scouring Characteristics of Pulsed Submerged Jets Based on Experiments and Numerical Methods
Abstract
:1. Introduction
2. Modeling and Numerical Methods
2.1. Model Building
2.2. Numerical Models
2.3. Grid-Independent Analysis
2.4. Grid Delineation and Boundary Conditions
3. Experimental Validation
4. Results and Discussion
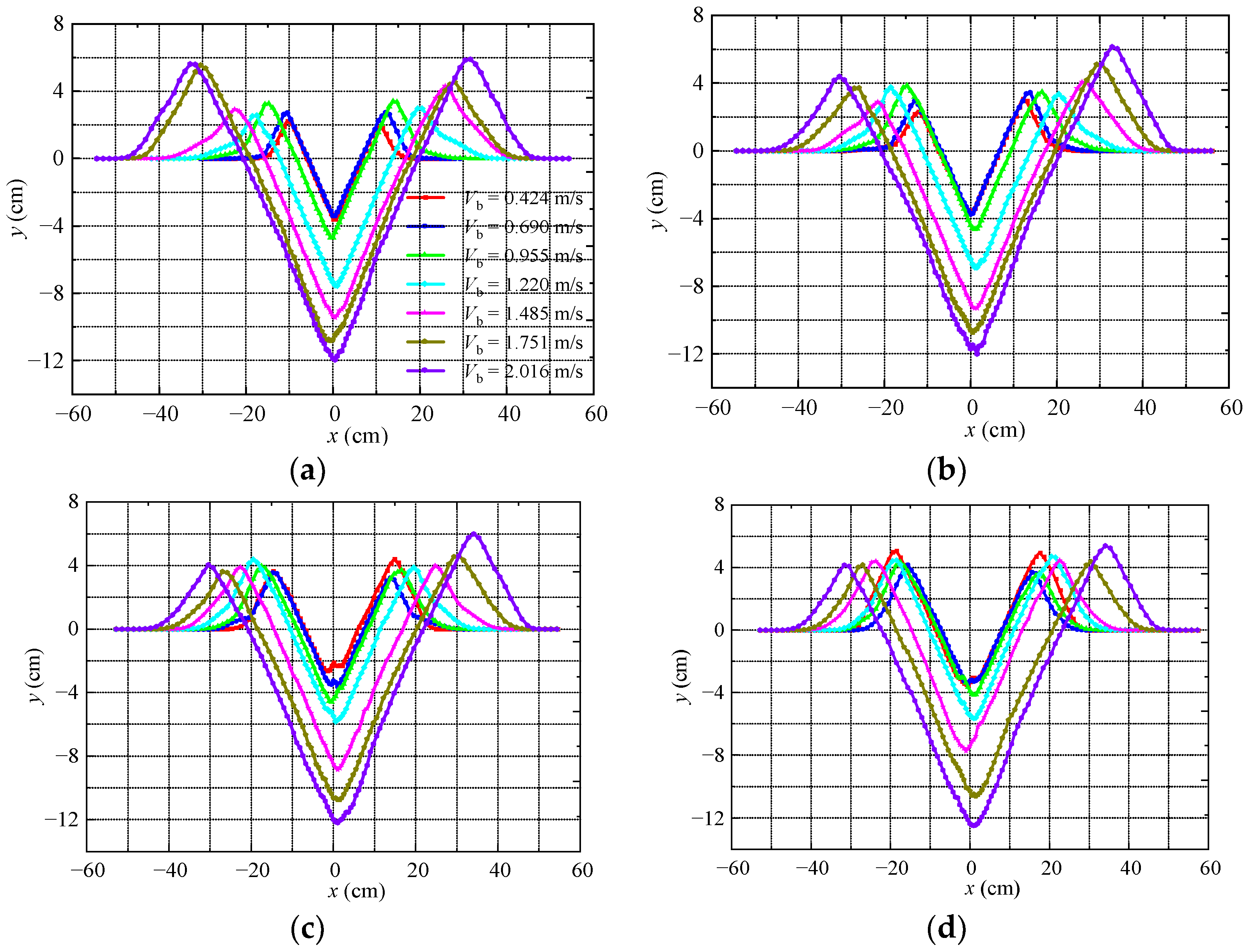
4.1. Characterization of Pit at Different Impinging Distances
4.2. Characterization of Piting at Different Reynolds Numbers
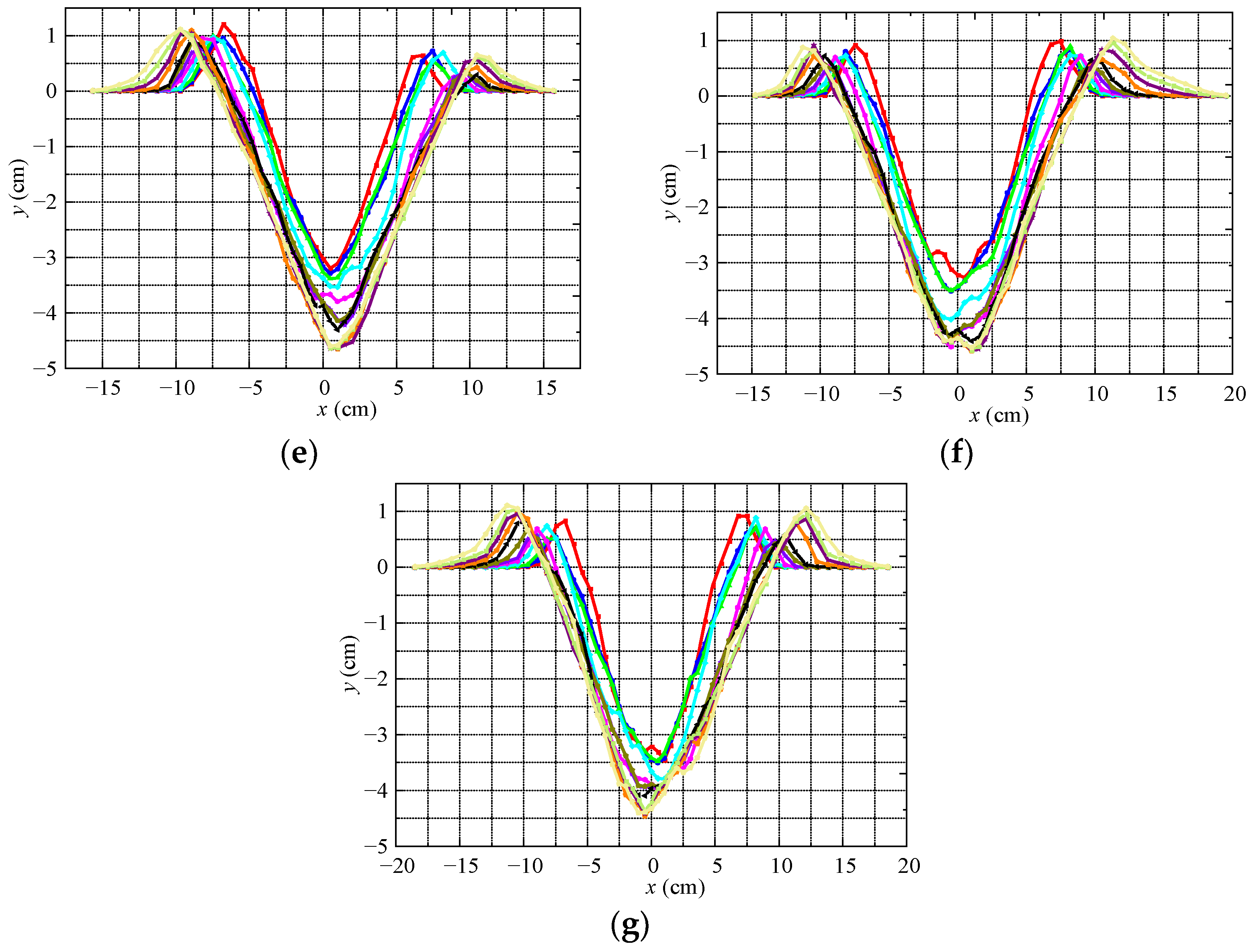
4.3. Characterization of Pits with Different Impinging Times
5. Conclusions
- Under consistent jet-velocity conditions, the impingement distance (H/D) has minimal impact on the depth of the scouring pit within the range of 2 ≤ H/D ≤ 6. However, beyond this range (H/D > 6), increased impingement distance leads to heightened jet-energy dissipation, resulting in a weakened impact force and a subsequent reduction in pit depth. Additionally, for lower jet velocities, impinging-distance variations have negligible effects on pit radius, while higher jet velocities induce a decrease in pit radius with an increase in impinging distance.
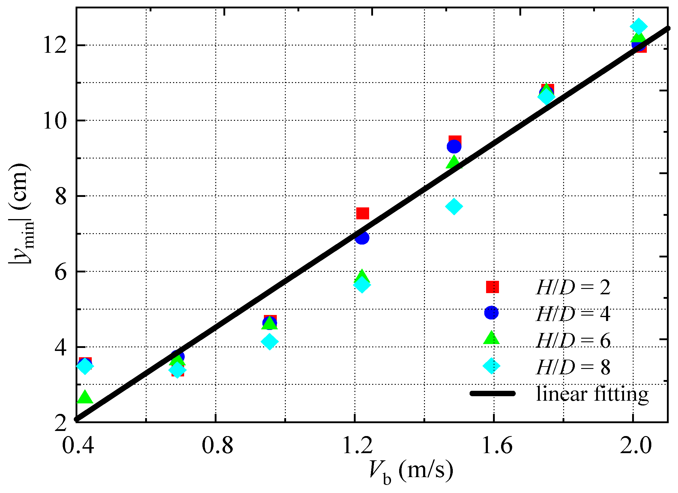
- The study establishes strong linear relationships between both the radius and depth of the scouring pit and the jet velocity. However, the relationship between dune height and pulsed-jet velocity is characterized by randomness and uncertainty. The dynamics of sediment transport contribute to the lack of symmetry in the stable configuration of the sand pit concerning the jet-pipe axis. Furthermore, the relationship between dune height and pulsed-jet velocity exhibits transient characteristics, highlighting the complex nature of these interactions.
- The numerical computational analysis emphasizes the transient characteristics of the sand-pit configuration due to sediment-transport dynamics. The stable state of the pit does not assume symmetry with the jet pipe as the axis, introducing a level of asymmetry in the system. This asymmetry is crucial in understanding the complex behavior of the sand-bed impingement. The findings underscore the need to consider dynamic and transient factors when studying the impact of obstructing pulsed jets on sand-bed characteristics.
Author Contributions
Funding
Institutional Review Board Statement
Informed Consent Statement
Data Availability Statement
Conflicts of Interest
References
- Wang, C.; Wang, X.; Shi, W.; Lu, W.; Tan, S.K.; Zhou, L. Experimental investigation on impingement of a submerged circular water jet at varying impinging angles and Reynolds numbers. Exp. Therm. Fluid Sci. 2017, 89, 189–198. [Google Scholar] [CrossRef]
- Hu, B.; Yao, Y.; Wang, M.; Wang, C.; Liu, Y. Flow and Performance of the Disk Cavity of a Marine Gas Turbine at Varying Nozzle Pressure and Low Rotation Speeds: A Numerical Investigation. Machines 2023, 11, 68. [Google Scholar] [CrossRef]
- Yu, H.; Wang, C.; Li, G.; Wang, H.; Yang, Y.; Wu, S.; Cao, W.; Li, S. Steady and Unsteady Flow Characteristics inside Short Jet Self-Priming Pump. Sustainability 2023, 15, 13643. [Google Scholar] [CrossRef]
- Chatterjee, S.S.; Ghosh, S.N.; Chatterjee, M. Local scour due to submerged horizontal jet. J. Hydraul. Eng. 1994, 120, 973–992. [Google Scholar] [CrossRef]
- Hoffmans, G.J. Jet scour in equilibrium phase. J. Hydraul. Eng. 1998, 124, 430–437. [Google Scholar] [CrossRef]
- Luo, A.; Cheng, N.-S.; Lu, Y.; Wei, M. Characteristics of Initial Development of Plane Jet Scour. J. Hydraul. Eng. 2023, 149, 06023004. [Google Scholar] [CrossRef]
- Canepa, S.; Hager, W.H. Effect of jet air content on plunge pool scour. J. Hydraul. Eng. 2003, 129, 358–365. [Google Scholar] [CrossRef]
- Krueger, P.S. Vortex ring velocity and minimum separation in an infinite train of vortex rings generated by a fully pulsed jet. Theor. Comput. Fluid Dyn. 2010, 24, 291–297. [Google Scholar] [CrossRef]
- Zhou, Z.; Ge, Z.; Lu, Y.; Zhang, X. Experimental study on characteristics of self-excited oscillation pulsed water jet. J. Vibroeng. 2017, 19, 1345–1357. [Google Scholar] [CrossRef]
- Coussement, A.; Gicquel, O.; Degrez, G. Large eddy simulation of a pulsed jet in cross-flow. J. Fluid Mech. 2012, 695, 1–34. [Google Scholar] [CrossRef]
- Bi, X.; Zhu, Q. Pulsed-jet propulsion via shape deformation of an axisymmetric swimmer. Phys. Fluids 2020, 32, 081902. [Google Scholar] [CrossRef]
- Zhang, L.; Wang, C.; Zhang, Y.; Xiang, W.; He, Z.; Shi, W. Numerical study of coupled flow in blocking pulsed jet impinging on a rotating wall. J. Braz. Soc. Mech. Sci. Eng. 2021, 43, 508. [Google Scholar] [CrossRef]
- Rakhsha, S.; Zargarabadi, M.R.; Saedodin, S. Experimental and numerical study of flow and heat transfer from a pulsed jet impinging on a pinned surface. Exp. Heat Transf. 2021, 34, 376–391. [Google Scholar] [CrossRef]
- Idowu, I.A.; Adewuyi, J.B. Relationship between continuity and momentum equation in two dimensional flow. Afr. J. Math. Comput. Sci. Res. 2010, 3, 031–035. [Google Scholar]
- Kim, B.J.; Hwang, J.H.; Kim, B. FLOW-3D Model Development for the Analysis of the Flow Characteristics of Downstream Hydraulic Structures. Sustainability 2022, 14, 10493. [Google Scholar] [CrossRef]
- Jalal, H.K.; Hassan, W.H. Three-Dimensional Numerical Simulation of Local Scour around Circular Bridge Pier Using Flow-3D Software. In Proceedings of the Fourth Scientific Conference for Engineering and Postgraduate Research, Baghdad, Iraq, 16–17 December 2019; IOP Publishing: Bristol, UK, 2020; Volume 745, p. 012150. [Google Scholar]
- Nazari-Sharabian, M.; Nazari-Sharabian, A.; Karakouzian, M.; Karami, M. Sacrificial piles as scour countermeasures in river bridges a numerical study using flow-3D. Civ. Eng. J. 2020, 6, 1091–1103. [Google Scholar] [CrossRef]
- Abraham, J.; Magi, V. Computations of transient jets: RNG ke model versus standard ke model. SAE Trans. 1997, 106, 1442–1452. [Google Scholar]
- Mastbergen, D.R.; Van Den Berg, J.H. Breaching in fine sands and the generation of sustained turbidity currents in submarine canyons. Sedimentology 2003, 50, 625–637. [Google Scholar] [CrossRef]
- Soulsby, R. Dynamics of Marine Sands; Thomas Telford Ltd.: London, UK, 1997; ISBN 9780727725844. [Google Scholar]
- Atkins, J.E.; Mcbride, E.F. Porosity and packing of holocene river, dune, and beach sands (1). AAPG Bull. 1992, 76, 339–355. [Google Scholar] [CrossRef]














Disclaimer/Publisher’s Note: The statements, opinions and data contained in all publications are solely those of the individual author(s) and contributor(s) and not of MDPI and/or the editor(s). MDPI and/or the editor(s) disclaim responsibility for any injury to people or property resulting from any ideas, methods, instructions or products referred to in the content. |
© 2023 by the authors. Licensee MDPI, Basel, Switzerland. This article is an open access article distributed under the terms and conditions of the Creative Commons Attribution (CC BY) license (https://creativecommons.org/licenses/by/4.0/).
Share and Cite
Wang, H.; Jia, X.; Wang, C.; Hu, B.; Cao, W.; Li, S.; Wang, H. Study on the Sand-Scouring Characteristics of Pulsed Submerged Jets Based on Experiments and Numerical Methods. J. Mar. Sci. Eng. 2024, 12, 57. https://doi.org/10.3390/jmse12010057
Wang H, Jia X, Wang C, Hu B, Cao W, Li S, Wang H. Study on the Sand-Scouring Characteristics of Pulsed Submerged Jets Based on Experiments and Numerical Methods. Journal of Marine Science and Engineering. 2024; 12(1):57. https://doi.org/10.3390/jmse12010057
Chicago/Turabian StyleWang, Hongliang, Xuanwen Jia, Chuan Wang, Bo Hu, Weidong Cao, Shanshan Li, and Hui Wang. 2024. "Study on the Sand-Scouring Characteristics of Pulsed Submerged Jets Based on Experiments and Numerical Methods" Journal of Marine Science and Engineering 12, no. 1: 57. https://doi.org/10.3390/jmse12010057
APA StyleWang, H., Jia, X., Wang, C., Hu, B., Cao, W., Li, S., & Wang, H. (2024). Study on the Sand-Scouring Characteristics of Pulsed Submerged Jets Based on Experiments and Numerical Methods. Journal of Marine Science and Engineering, 12(1), 57. https://doi.org/10.3390/jmse12010057

