Benthic Colonization on New Materials for Marine Ecosystem Restoration in Porto Cesareo, Italy
Abstract
1. Introduction
2. Materials and Methods
2.1. Study Area
2.2. Experimental Design and Construction
2.3. Data Collection and Processing
2.4. Data Analysis
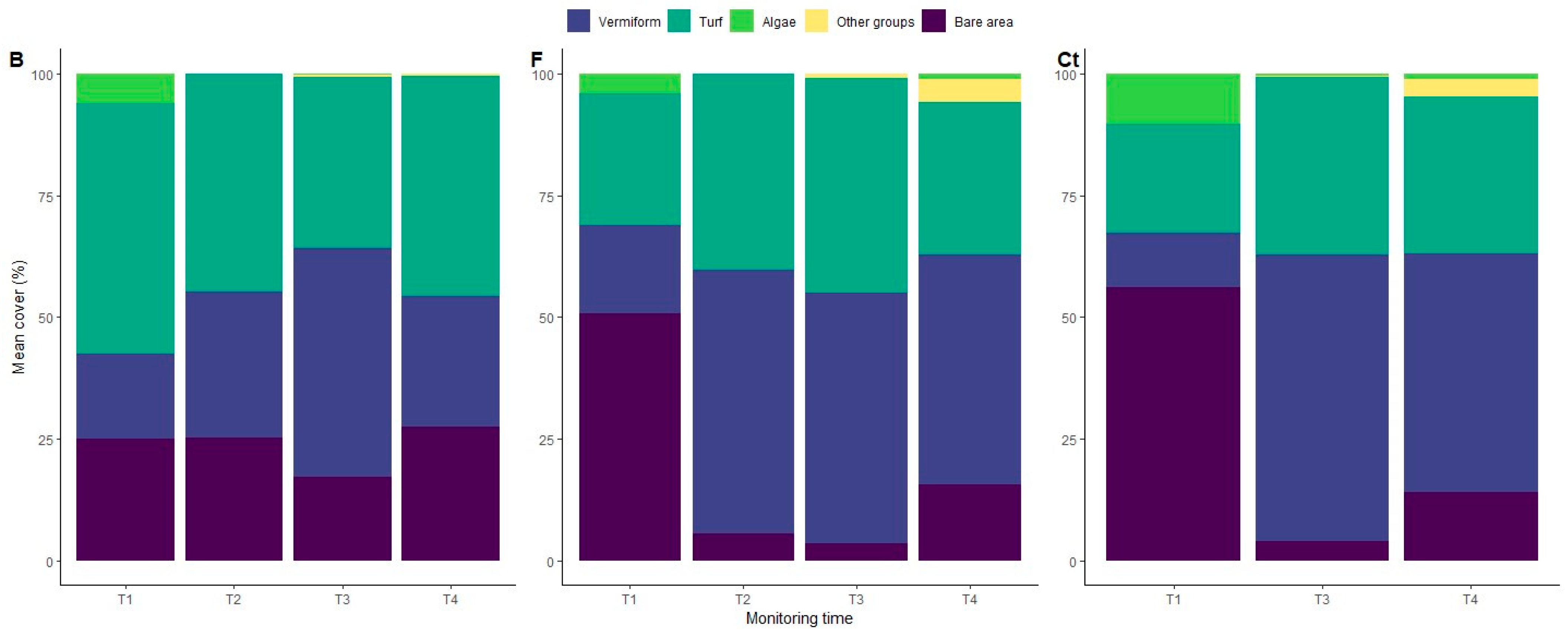
3. Results
4. Discussion
5. Conclusions
Supplementary Materials
Author Contributions
Funding
Data Availability Statement
Acknowledgments
Conflicts of Interest
References
- United Nations. Factsheet: People and Oceans. In Proceedings of the Ocean Conference, New York, NY, USA, 5–9 June 2017; pp. 1–7. [Google Scholar]
- Rossi, S. The destruction of the ‘animal forests’ in the oceans: Towards an over-simplification of the benthic ecosystems. Ocean. Coast. Manag. 2013, 84, 77–85. [Google Scholar] [CrossRef]
- Portugal, A.B.; Carvalho, F.L.; de Macedo Carneiro, P.B.; Rossi, S.; de Oliveira Soares, M. Increased anthropogenic pressure decreases species richness in tropical intertidal reefs. Mar. Environ. Res. 2016, 120, 44–54. [Google Scholar] [CrossRef]
- Rossi, L.; Rizzo, S. Marine animal forests as Carbon immobilizers or why we should preserve these three-dimensional alive structures. In Perspectives on the Marine Animal Forests; Springer-Nature: Cham, Switzerland, 2020. [Google Scholar]
- Deudero, S.; Alomar, C. Mediterranean marine biodiversity under threat: Reviewing influence of marine litter on species. Mar. Pollut. Bull. 2015, 98, 58–68. [Google Scholar] [CrossRef] [PubMed]
- Climate and Environmental Change in the Mediterranean Basin—Current Situation and Risks for the Future. First Mediterranean Assessment Report—MedECC. Available online: https://www.medecc.org/medecc-reports/climate-and-environmental-change-in-the-mediterranean-basin-current-situation-and-risks-for-the-future-1st-mediterranean-assessment-report/ (accessed on 19 October 2023).
- Semprucci, F.; Balsamo, M.; Appolloni, L.; Sandulli, R. Assessment of ecological quality status along the Apulian coasts (eastern Mediterranean Sea) based on meiobenthic and nematode assemblages. Mar. Biodivers. 2018, 48, 105–115. [Google Scholar] [CrossRef]
- Rinkevich, B. Ecological engineering approaches in coral reef restoration. ICES J. Mar. Sci. 2021, 78, 410–420. [Google Scholar] [CrossRef]
- Horoszowski-Fridman, Y.B.; Rinkevich, B. Restoration of the Animal Forests: Harnessing Silviculture Biodiversity Concepts for Coral Transplantation. In Marine Animal Forests; Springer: Cham, Switzerland, 2016; pp. 1313–1335. [Google Scholar] [CrossRef]
- Giangrande, A.; Gravina, M.F.; Rossi, S.; Longo, C.; Pierri, C. Aquaculture and Restoration: Perspectives from Mediterranean Sea Experiences. Water 2021, 13, 991. [Google Scholar] [CrossRef]
- Burt, J.; Bartholomew, A.; Usseglio, P.; Bauman, A.; Sale, P.F. Are artificial reefs surrogates of natural habitats for corals and fish in Dubai, United Arab Emirates? Coral Reefs 2009, 28, 663–675. [Google Scholar] [CrossRef]
- Leonard, C.; Hédouin, L.; Lacorne, M.C.; Dalle, J.; Lapinski, M.; Blanc, P.; Nugues, M.M. Performance of innovative materials as recruitment substrates for coral restoration. Restor. Ecol. 2021, 30, e13625. [Google Scholar] [CrossRef]
- Dodds, K.C.; Schaefer, N.; Bishop, M.J.; Nakagawa, S.; Brooks, P.R.; Knights, A.M.; Strain, E.M. Material type influences the abundance but not richness of colonising organisms on marine structures. J. Environ. Manag. 2022, 307, 114549. [Google Scholar] [CrossRef] [PubMed]
- Shu-Te, K.; Tsan-Chuan, H.; Kwang-Tsao, S. Experiences of Coal Ash Artificial Reefs in Taiwan. Chem. Ecol. 1995, 10, 233–247. [Google Scholar] [CrossRef]
- Collins, K.J.; Jensen, A.C.; Lockwood, A.P.M.; Turnpenny, A.W.H. Evaluation of stabilized coal-fired power station waste for artificial reef construction. Bull. Mar. Sci. 1994, 55, 1251–1262. [Google Scholar]
- Brown, L.A.; Furlong, J.N.; Brown, K.M.; La Peyre, M.K. Oyster reef restoration in the northern gulf of Mexico: Effect of artificial substrate and age on nekton and benthic macroinvertebrate assemblage use. Restor. Ecol. 2014, 22, 214–222. [Google Scholar] [CrossRef]
- Ortiz-Prosper, A.L.; Bowden-Kerby, A.; Ruiz, H.; Tirado, O.; Cabán, A.; Sanchez, G.; Crespo, J.C. Planting small massive corals on small artificial concrete reefs or dead coral heads. Bull. Mar. Sci. 2001, 69, 1047–1051. [Google Scholar]
- Ponti, M.; Fava, F.; Perlini, R.A.; Giovanardi, O.; Abbiati, M. Benthic assemblages on artificial reefs in the northwestern Adriatic Sea: Does structure type and age matter? Mar. Environ. Res. 2015, 104, 10–19. [Google Scholar] [CrossRef] [PubMed]
- Carral, L.; Tarrío-Saavedra, J.; Barros, J.J.C.; Fabal, C.C.; Ramil, A.; Álvarez-Feal, C. Considerations on the programmed functional life (one generation) of a green artificial reef in terms of the sustainability of the modified ecosystem. Heliyon 2023, 9, e14978. [Google Scholar] [CrossRef] [PubMed]
- Campion, L.; Bekchanova, M.; Malina, R.; Kuppens, T. The costs and benefits of biochar production and use: A systematic review. J. Clean. Prod. 2023, 408, 137138. [Google Scholar] [CrossRef]
- Laili, Z.; Yasir, M.S.; Yusof, M.A.W. Leaching properties of Cs-134 from spent ion exchange resins solidified in cement-biochar matrix. AIP Conf. Proc. 2016, 1784, 040011. [Google Scholar] [CrossRef]
- Cui, K.; Chang, J.; Feo, L.; Chow, C.L.; Lau, D. Developments and Applications of Carbon Nanotube Reinforced Cement-Based Composites as Functional Building Materials. Front. Mater. 2022, 9, 861646. [Google Scholar] [CrossRef]
- Wang, J.; Wang, S. Preparation, modification and environmental application of biochar: A review. J. Clean Prod. 2019, 227, 1002–1022. [Google Scholar] [CrossRef]
- Nobre, C.; Brito, P.; Lourinho, G.; Alves, O. Preparation and Application of Biochar. no. Special Issue. Environments. 2023, pp. 1–2. Available online: https://www.mdpi.com/journal/environments/special_issues/preparation_application_biochar (accessed on 9 January 2024).
- Ji, X.; Wan, J.; Wang, X.; Peng, C.; Wang, G.; Liang, W.; Zhang, W. Mixed bacteria-loaded biochar for the immobilization of arsenic, lead, and cadmium in a polluted soil system: Effects and mechanisms. Sci. Total Environ. 2022, 811, 152112. [Google Scholar] [CrossRef]
- Khushnood, R.A.; Ahmad, S.; Savi, P.; Tulliani, J.M..; Giorcelli, M.; Ferro, G.A. Improvement in electromagnetic interference shielding effectiveness of cement composites using carbonaceous nano/micro inerts. Constr. Build Mater. 2015, 85, 208–216. [Google Scholar] [CrossRef]
- Dong, Z.; Sun, T.; Wang, L. The biogenic reefs formed by the alien polychaete Hydroides dianthus (Serpulidae, Annelida) favor the polyp stage of Aurelia coerulea (Cnidaria, Scyphozoa) in a coastal artificial lake. Mar. Pollut. Bull. 2018, 129, 86–91. [Google Scholar] [CrossRef] [PubMed]
- Hung, C.-M.; Huang, C.P.; Hsieh, S.-L.; Tsai, M.-L.; Chen, C.-W.; Dong, C.-D. Biochar derived from red algae for efficient remediation of 4-nonylphenol from marine sediments. Chemosphere 2020, 254, 126916. [Google Scholar] [CrossRef]
- Wang, Z.; Song, S.; Wang, H.; Yang, W.; Han, J.; Chen, H. Feasibility of Remediation of Heavy-Metal-Contaminated Marine Dredged Sediments by Active Capping with Enteromorpha Biochar. Int. J. Environ. Res. Public Health 2022, 19, 4944. [Google Scholar] [CrossRef] [PubMed]
- Kumar, R.; Verma, A.; Rakib, R.J.; Gupta, P.K.; Sharma, P.; Garg, A.; Girard, P.; Aminabhavi, T.M. Adsorptive behavior of micro(nano)plastics through biochar: Co-existence, consequences, and challenges in contaminated ecosystems. Sci. Total Environ. 2023, 856, 159097. [Google Scholar] [CrossRef]
- Gann, G.D.; McDonald, T.; Walder, B.; Aronson, J.; Nelson, C.R.; Jonson, J.; Hallett, J.G.; Eisenberg, C.; Guariguata, M.R.; Liu, J.; et al. International principles and standards for the practice of ecological restoration. Second edition. Restor. Ecol. 2019, 27 (Suppl. S1), S1–S46. [Google Scholar] [CrossRef]
- Rafikova, G.F.; Korshunova, T.Y.; Kuzina, E.V.; Loginov, O.N. Accelerated bioconversion of cow dung into concentrated organic fertilizer using microbial composition. Int. J. Recycl. Org. Waste Agric. 2021, 10, 275–285. [Google Scholar] [CrossRef]
- Colwell, R.R.; Walker, J.D.; Cooney, J.J. Ecological Aspects of Microbial Degradation of Petroleum in the Marine Environment. CRC Crit. Rev. Microbiol. 1977, 5, 423–445. [Google Scholar] [CrossRef]
- Udebuani, A.C.; Okoli, C.I.; Nwigwe, H.C.; Ozoh, P.T.E. The Value of Animal Manure in the Enhancement of Bioremediation Processes in Petroleum Hydrocarbon Contaminated Agricultural Soils. 2012. Available online: http://www.ijat-aatsea.com (accessed on 27 June 2023).
- Yang, Q.; Zhang, S.; Li, X.; Rong, K.; Li, J.; Jiang, L. Effects of microbial inoculant and additives on pile composting of cow manure. Front. Microbiol. 2023, 13, 1084171. [Google Scholar] [CrossRef]
- Hosseinkhani, B.; Hennebel, T.; Boon, N. Potential of biogenic hydrogen production for hydrogen driven remediation strategies in marine environments. N Biotechnol. 2014, 31, 445–450. [Google Scholar] [CrossRef]
- Sandulli, R.; de Leonardis, C.; Vincx, M.; Vanaverbeke, J. Geographical and depth-related patterns in nematode communities from some Italian Marine Protected Areas. Ital. J. Zool. 2011, 78, 505–516. [Google Scholar] [CrossRef]
- Corriero, G.; Gherardi, M.; Giangrande, A.; Longo, C.; Mercurio, M.; Musco, L.; Marzano, C.N. Inventory and distribution of hard bottom fauna from the marine protected area of porto cesareo (ionian sea): Porifera and polychaeta. Ital. J. Zool. 2004, 71, 237–245. [Google Scholar] [CrossRef]
- Piscitelli, M.; Corriero, G.; Gaino, E.; Uriz, M.J. Reproductive cycles of the sympatric excavating sponges Cliona celata and Cliona viridis in the Mediterranean Sea. Invertebr. Biol. 2011, 130, 1–10. [Google Scholar] [CrossRef]
- Bongers, T.; Goede, R.; Korthals, G.; Yeates, G. Proposed changes of c-p classification for nematodes. Artic. Russ. J. Nematol. 1995, 3, 61–62. Available online: https://www.researchgate.net/publication/40199526 (accessed on 28 June 2023).
- Duran, A.; Collado-Vides, L.; Palma, L.; Burkepile, D.E. Interactive effects of herbivory and substrate orientation on algal community dynamics on a coral reef. Mar. Biol. 2018, 165, 156. [Google Scholar] [CrossRef] [PubMed]
- Trygonis, V.; Sini, M. PhotoQuad: A dedicated seabed image processing software, and a comparative error analysis of four photoquadrat methods. J. Exp. Mar. Biol. Ecol. 2012, 424–425, 99–108. [Google Scholar] [CrossRef]
- Boerema, A.; Geerts, L.; Oosterlee, L.; Temmerman, S.; Meire, P. Ecosystem service delivery in restoration projects: The effect of ecological succession on the benefits of tidal marsh restoration. Ecol. Soc. 2016, 21, 2–11. [Google Scholar] [CrossRef]
- Carlos García-Gómez, J. A Guide on Environmental Monitoring of Rocky Seabeds in Mediterranean Marine Protected Areas and Surrounding Zones; RAC/SPA: Tunis, Tunisia, 2015. [Google Scholar]
- Young, T.P.; Petersen, D.A.; Clary, J.J. The ecology of restoration: Historical links, emerging issues and unexplored realms. Ecol. Lett. 2005, 8, 662–673. [Google Scholar] [CrossRef]
- Boström-Einarsson, L.; Ceccarelli, D.; Babcock, R.C.; Bayraktarov, E.; Cook, N.; Harrison, P.; Hein, M.; Shaver, E.; Smith, A.; Stewart-Sinclair, P.J.; et al. Coral Restoration in a Changing World: A Global Synthesis of Methods and Techniques; James Cook University: Cairns, Australia, 2018. [Google Scholar]
- Burt, J.; Bartholomew, A.; Bauman, A.; Saif, A.; Sale, P.F. Coral recruitment and early benthic community development on several materials used in the construction of artificial reefs and breakwaters. J. Exp. Mar. Biol. Ecol. 2009, 373, 72–78. [Google Scholar] [CrossRef]
- Pierri, C.; Fanelli, G.; Giangrande, A. Experimental co-culture of low food-chain organisms, Sabella spallanzanii (Polychaeta, Sabellidae) and Cladophora prolifera (Chlorophyta, Cladophorales), in Porto Cesareo area (Mediterranean Sea). Aquac. Res. 2006, 37, 966–974. [Google Scholar] [CrossRef]
- Seaman, W. Artificial habitats and the restoration of degraded marine ecosystems and fisheries. Hydrobiologia 2007, 580, 143–155. [Google Scholar] [CrossRef]
- Venkatachalam, C.D.; Sekar, S.; Sengottian, M.; Ravichandran, S.R.; Bhuvaneshwaran, P. A critical review of the production, activation, and morphological characteristic study on functionalized biochar. J. Energy Storage 2023, 67, 107525. [Google Scholar] [CrossRef]
- Mwaura, J.M.; Murage, D.; Karisa, J.F.; Otwoma, L.M.; Said, H.O. Artificial reef structures and coral transplantation as potencial tools for enhancing locally-managed inshore reefs: A case study from Wasani Island, Kenya. WIO J. Mar. Sci. 2022, 21, 83–94. [Google Scholar] [CrossRef]
- Meyer Cifuentes, I.E.; Öztürk, B. Exploring microbial consortia from various environments for plastic degradation. Methods Enzymol. 2021, 648, 47–69. [Google Scholar] [CrossRef] [PubMed]
- Bracho-Villavicencio, C.; Matthews-Cascon, H.; Rossi, S. Artificial Reefs around the World: A Review of the State of the Art and a Meta-Analysis of Its Effectiveness for the Restoration of Marine Ecosystems. Environments 2023, 10, 121. [Google Scholar] [CrossRef]
- Knoester, E.G.; Rienstra, J.J.; Schürmann, Q.J.F.; Wolma, A.E.; Murk, A.J.; Osinga, R. Community-managed coral reef restoration in southern Kenya initiates reef recovery using various artificial reef designs. Front. Mar. Sci. 2023, 10, 1152106. [Google Scholar] [CrossRef]
- Ferse, S.C.A. Poor Performance of Corals Transplanted onto Substrates of Short Durability. Restor. Ecol. 2010, 18, 399–407. [Google Scholar] [CrossRef]
- Duarte, C.M.; Agusti, S.; Barbier, E.; Britten, G.L.; Castilla, J.C.; Gattuso, J.-P.; Fulweiler, R.W.; Hughes, T.P.; Knowlton, N.; Lovelock, C.E.; et al. Rebuilding marine life. Nature 2020, 580, 39–51. [Google Scholar] [CrossRef]




| Source of Variation | Df | SS | R2 | F | Pr (>F) | |
|---|---|---|---|---|---|---|
| Treatment | 2 | 0.7966 | 0.04214 | 9.9689 | 0.001 | *** |
| Time | 3 | 6.5522 | 0.34660 | 54.6622 | 0.001 | *** |
| Treatment xTime | 5 | 2.4055 | 0.12725 | 12.0408 | 0.001 | *** |
| Residual | 229 | 9.1498 | 0.48401 | |||
| Total | 239 | 18.9041 | 1 |
Disclaimer/Publisher’s Note: The statements, opinions and data contained in all publications are solely those of the individual author(s) and contributor(s) and not of MDPI and/or the editor(s). MDPI and/or the editor(s) disclaim responsibility for any injury to people or property resulting from any ideas, methods, instructions or products referred to in the content. |
© 2024 by the authors. Licensee MDPI, Basel, Switzerland. This article is an open access article distributed under the terms and conditions of the Creative Commons Attribution (CC BY) license (https://creativecommons.org/licenses/by/4.0/).
Share and Cite
Bracho-Villavicencio, C.; Matthews-Cascon, H.; García-Durán, M.; Vélez, X.; Lago, N.; Busquier, L.; Rossi, S. Benthic Colonization on New Materials for Marine Ecosystem Restoration in Porto Cesareo, Italy. J. Mar. Sci. Eng. 2024, 12, 169. https://doi.org/10.3390/jmse12010169
Bracho-Villavicencio C, Matthews-Cascon H, García-Durán M, Vélez X, Lago N, Busquier L, Rossi S. Benthic Colonization on New Materials for Marine Ecosystem Restoration in Porto Cesareo, Italy. Journal of Marine Science and Engineering. 2024; 12(1):169. https://doi.org/10.3390/jmse12010169
Chicago/Turabian StyleBracho-Villavicencio, Carolina, Helena Matthews-Cascon, Marc García-Durán, Xavier Vélez, Nicola Lago, Laura Busquier, and Sergio Rossi. 2024. "Benthic Colonization on New Materials for Marine Ecosystem Restoration in Porto Cesareo, Italy" Journal of Marine Science and Engineering 12, no. 1: 169. https://doi.org/10.3390/jmse12010169
APA StyleBracho-Villavicencio, C., Matthews-Cascon, H., García-Durán, M., Vélez, X., Lago, N., Busquier, L., & Rossi, S. (2024). Benthic Colonization on New Materials for Marine Ecosystem Restoration in Porto Cesareo, Italy. Journal of Marine Science and Engineering, 12(1), 169. https://doi.org/10.3390/jmse12010169

