Static Acoustic Monitoring of Harbour (Phoca vitulina) and Grey Seals (Halichoerus grypus) in the Malin Sea: A Revolutionary Approach in Pinniped Conservation
Abstract
1. Introduction
1.1. Pinnipeds, Communication, Threats and Conservation
1.2. Harbour and Grey Seals
1.2.1. Distribution, Status and Protection
1.2.2. Feeding Ecology
1.2.3. Breeding, Nursing and Communication
1.3. Research Objectives
2. Materials and Methods
2.1. Study Area and Data Collection
2.2. Data Processing and Extraction
2.3. Data Analysis
2.3.1. Classification of Vocalisations
2.3.2. Influence of Season, Diel and Tides
3. Results
3.1. Harbour Seal Vocalisations
3.2. Grey Seal Vocalisations
3.2.1. Call Descriptions and Classification
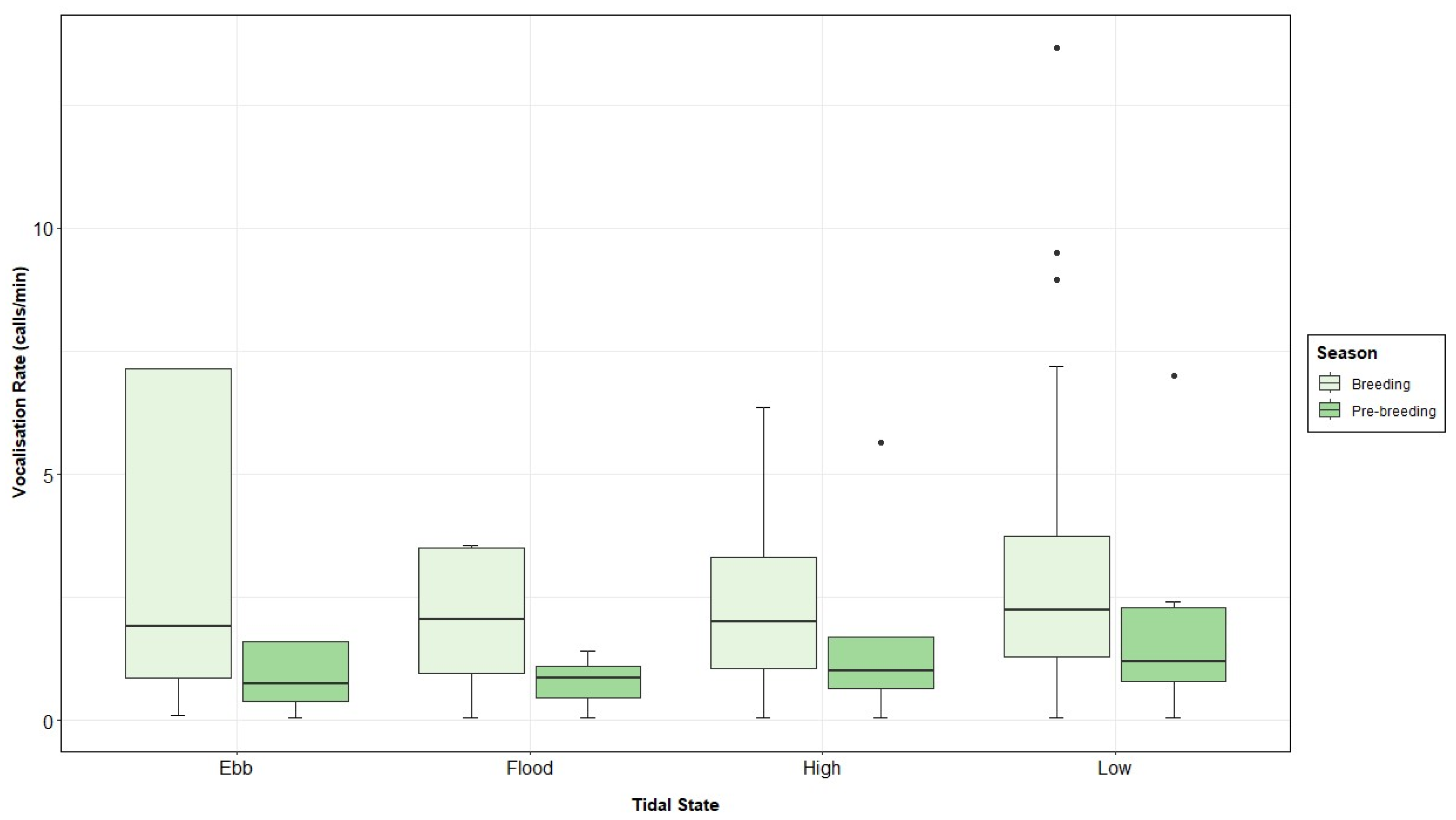
3.2.2. Diel, Seasonal and Tidal Patterns in the Vocalisation Rate
4. Discussion
4.1. Harbour Seal Vocalisations
4.2. Grey Seal Vocalisations
4.3. Implications of the Study, Limitations and Future Recommendations
Author Contributions
Funding
Institutional Review Board Statement
Informed Consent Statement
Data Availability Statement
Acknowledgments
Conflicts of Interest
Appendix A
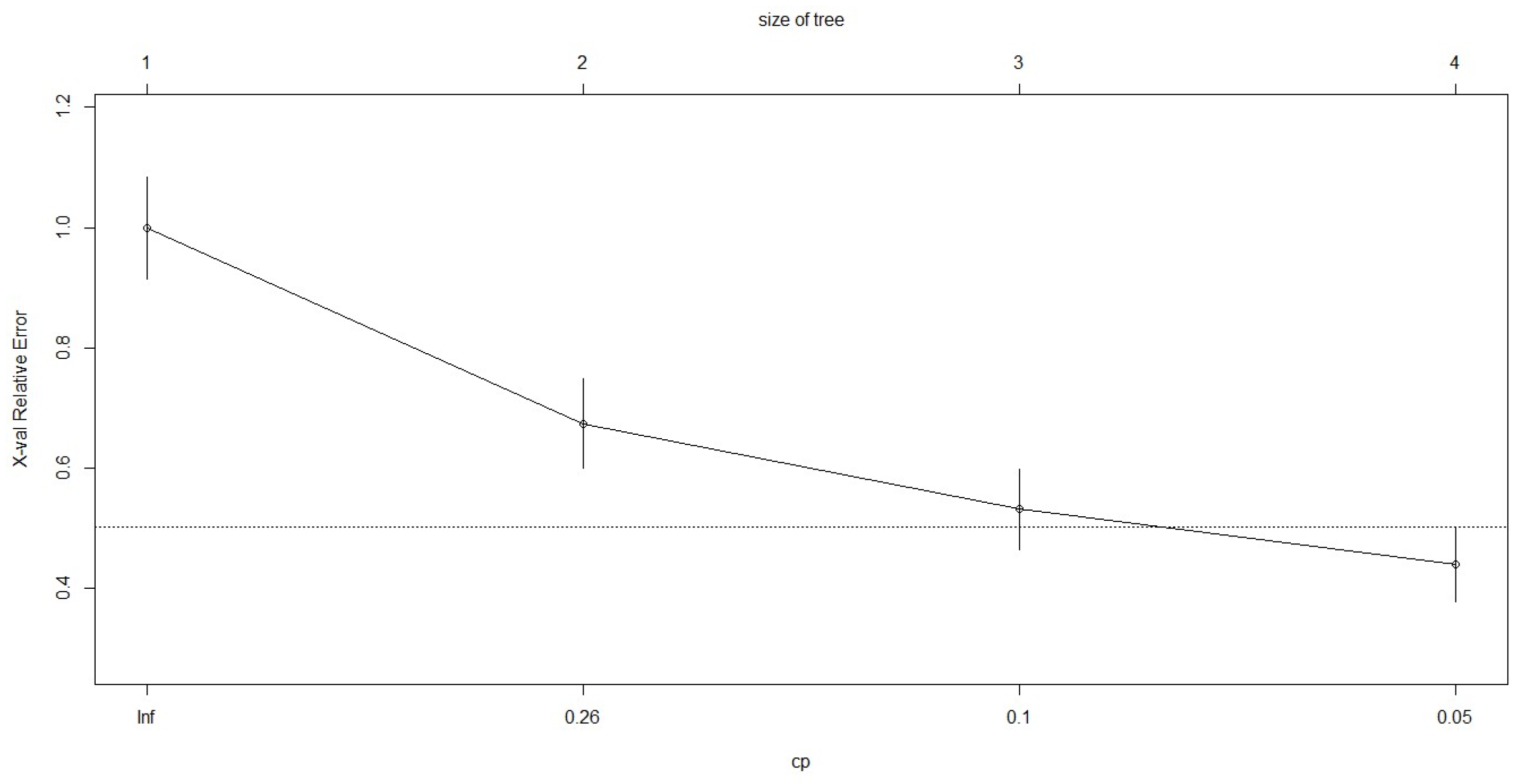
| CP | nsplit | rel Error | xerror | xstd | |
|---|---|---|---|---|---|
| 1 | 0.39 | 0 | 1.00 | 1.00 | 0.08 | 
| 2 | 0.17 | 1 | 0.61 | 0.67 | 0.07 | 
| 3 | 0.06 | 2 | 0.44 | 0.53 | 0.07 | 
| 4 | 0.04 | 3 | 0.38 | 0.44 | 0.06 | 

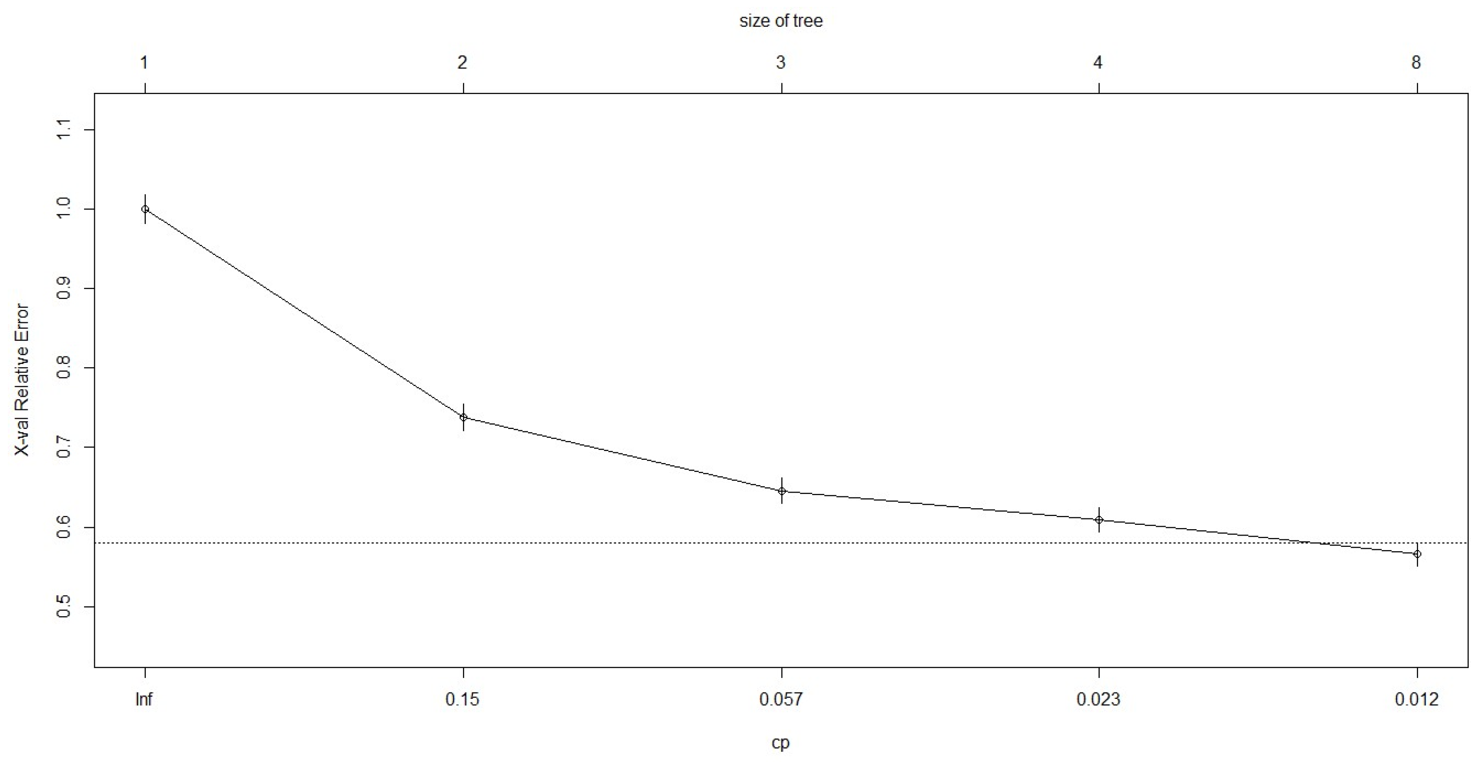
| CP | nsplit | rel Error | xerror | xstd | |
|---|---|---|---|---|---|
| 1 | 0.27 | 0 | 1.00 | 1.00 | 0.02 | 
| 2 | 0.09 | 1 | 0.73 | 0.74 | 0.02 | 
| 3 | 0.04 | 2 | 0.64 | 0.65 | 0.02 | 
| 4 | 0.01 | 3 | 0.61 | 0.62 | 0.02 | 
| 5 | 0.01 | 7 | 0.55 | 0.56 | 0.02 | 

Appendix B
| Roar | Groan | Growl | Creak | Grunt | Pup | |
|---|---|---|---|---|---|---|
| Summer | 2 | 32 | 0 | 2 | 55 | 59 | 
| Autumn | 0 | 3 | 0 | 0 | 4 | 11 | 
| Winter | 0 | 0 | 235 | 0 | 0 | 0 | 




| Pairwise Comparison | Estimate | SE | Z Value | p Value | 
|---|---|---|---|---|
| Tidal state | ||||
| Ebb-Flood | 0.29 | 0.02 | 11.82 | <0.0001 | 
| Ebb-High | 0.33 | 0.02 | 15.28 | <0.0001 | 
| Flood-Low | −0.31 | 0.02 | −16.83 | <0.0001 | 
| High-Low | −0.35 | 0.01 | −29.95 | <0.0001 | 
| Season × Tidal state | ||||
| Breeding × Ebb − Pre-breeding × Ebb | 0.54 | 0.17 | 3.14 | 0.0362 | 
| Breeding × Ebb − Breeding × Flood | 0.54 | 0.009 | 63.37 | <0.0001 | 
| Breeding × Ebb − Pre-breeding × Flood | 0.58 | 0.17 | 3.38 | 0.0168 | 
| Breeding × Ebb − Breeding × High | 0.38 | 0.008 | 48.66 | <0.0001 | 
| Breeding × Ebb − Pre-breeding × High | 0.83 | 0.17 | 4.88 | <0.0001 | 
| Breeding × Ebb − Breeding × Low | −0.14 | 0.007 | −21.08 | <0.0001 | 
| Breeding × Ebb − Pre-breeding × Low | 0.65 | 0.17 | 3.83 | 0.0033 | 
| Pre-breeding × Ebb − Pre-breeding × High | 0.29 | 0.04 | 6.70 | <0.0001 | 
| Pre-breeding × Ebb − Breeding × Low | −0.68 | 0.17 | −3.95 | 0.0020 | 
| Breeding × Flood − Breeding × High | −0.17 | 0.008 | −21.40 | <0.0001 | 
| Breeding × Flood − Pre-breeding × Low | −0.68 | 0.007 | −109.32 | <0.0001 | 
| Pre-breeding × Flood − Breeding × High | 0.25 | 0.03 | 7.38 | <0.0001 | 
| Pre-breeding × Flood − Pre-breeding × Low | −0.72 | 0.17 | −4.19 | 0.0007 | 
| Breeding × High − Breeding × Low | −0.52 | 0.005 | −96.85 | <0.0001 | 
| Pre-breeding × High − Breeding × Low | −0.97 | 0.17 | −5.70 | <0.0001 | 
| Pre-breeding × High − Pre-breeding × Low | −0.18 | 0.02 | −7.95 | <0.0001 | 
| Breeding × Low − Pre-breeding × Low | 0.79 | 0.17 | 4.65 | 0.0001 | 
References
- Boyd, I.L.; Wanless, S.; Camphuysen, C.J. Top Predators in Marine Ecosystems: Their Role in Monitoring and Management; Cambridge University Press: Cambridge, UK, 2006. [Google Scholar] [CrossRef]
- Piatt, J.F.; Sydeman, W.J. Introduction: A modern role for seabirds as indicators. Mar. Ecol. Prog. Ser. 2007, 352, 199–204. [Google Scholar] [CrossRef]
- Bowen, W.D.; Beck, C.A.; Austin, D.A. Pinniped Ecology. In Encyclopedia of Marine Mammals; Würsig, B., Thewissen, J., Kovacs, K., Eds.; Academic Press, An Imprint of Elsevier: London, UK, 2009; pp. 852–861. [Google Scholar]
- Schusterman, R.J.; Van Parijs, S.M. Pinniped vocal communication: An introduction. Aquat. Mamm. 2003, 29, 177–180. [Google Scholar] [CrossRef]
- Todd, V.L.G.; Todd, I.B.; Gardiner, J.C.; Morrin, C.N. Marine Mammal Observer and Passive Acoustic Monitoring Handbook; Pelagic Publishing: Exeter, UK, 2015. [Google Scholar]
- Mizuguchi, D.; Tsunokawa, M.; Kawamoto, M.; Kohshima, S. Underwater vocalizations and associated behavior in captive ringed seals (Pusa hispida). Polar Biol. 2016, 39, 659–699. [Google Scholar] [CrossRef]
- Gelatt, T.; Ream, R.; Johnson, D. Callorhinus ursinus. The IUCN Red List of Threatened Species 2015: e.T3590A45224953. 2015. Available online: https://www.iucnredlist.org/species/3590/45224953 (accessed on 15 February 2023).
- Hofmeyr, G.J.G. Arctocephalus gazella. The IUCN Red List of Threatened Species 2016: e.T2058A66993062. 2016. Available online: https://www.iucnredlist.org/species/2058/66993062 (accessed on 15 February 2023).
- Littnan, C.; Harting, A.; Baker, J. Neomonachus schauinslandi. The IUCN Red List of Threatened Species 2015: e.T13654A45227978. 2015. Available online: https://www.iucnredlist.org/species/13654/45227978 (accessed on 15 February 2023).
- Goldsworthy, S.D. Neophoca cinerea. The IUCN Red List of Threatened Species 2015: e.T14549A45228341. 2015. Available online: https://www.iucnredlist.org/species/14549/45228341 (accessed on 15 February 2023).
- Goodman, S.; Dmitrieva, L. Pusa caspica. The IUCN Red List of Threatened Species 2016: e.T41669A45230700. 2016. Available online: https://www.iucnredlist.org/species/41669/45230700 (accessed on 15 February 2023).
- Trillmich, F. Arctocephalus galapagoensis. The IUCN Red List of Threatened Species 2015: e.T2057A45223722. 2015. Available online: https://www.iucnredlist.org/species/2057/45223722 (accessed on 15 February 2023).
- Avila, I.; Kaschner, K.; Dormann, C. Current global risks to marine mammals: Taking stock of the threats. Biol. Conserv. 2018, 221, 44–58. [Google Scholar] [CrossRef]
- Kovacs, K.M.; Aguilar, A.; Aurioles, D.; Burkanov, V.; Campagna, C.; Gales, N.; Gelatt, T.; Goldsworthy, S.D.; Goodman, S.J.; Hofmeyr, G.J.G.; et al. Global threats to pinnipeds. Mar. Mammal Sci. 2012, 28, 414–436. [Google Scholar] [CrossRef]
- Balcomb, K.C.; Claridge, D. A mass stranding of cetaceans caused by naval sonar in the Bahamas. Bahamas J. Sci. 2001, 5, 2–12. [Google Scholar]
- Berrow, S.; Cosgrove, R.; Leeney, R.H.; O’Brien, J.; McGrath, D.; Dalgard, J.; Le Gall, Y. Effect of acoustic deterrents on the behaviour of common dolphins (Delphinus delphis). J. Cetacean Res. Manag. 2008, 10, 227–233. [Google Scholar] [CrossRef]
- Berrow, S.D.; O’Brien, J.; Meade, R.; Delarue, J.; Kowarski, K.; Martin, B.; Moloney, J.; Wall, D.; Gillespie, D.; Leaper, R.; et al. Acoustic Surveys of Cetaceans in the Irish Atlantic Margin in 2015–2016: Occurrence, Distribution and Abundance; Department of Communications, Climate Action & Environment and the National Parks and Wildlife Service (NPWS), Department of Culture, Heritage and the Gaeltacht: Dublin, Ireland, 2018; p. 348. [Google Scholar]
- Hammond, P.S.; Macleod, K.; Gillespie, D.; Swift, R.; Winship, A.; Burt, M.L.; Cañadas, A.; Vázquez, J.A.; Ridoux, V.; Certain, G.; et al. Cetacean Offshore Distribution and Abundance in the European Atlantic (CODA); Final Report; University of St Andrews: St Andrews, UK, 2009. [Google Scholar]
- Richardson, W.J.; Green, C.R., Jr.; Malme, C.I.; Thomson, D.H. Marine Mammals and Noise; Academic: San Diego, CA, USA, 1995. [Google Scholar] [CrossRef]
- Edrén, S.M.C.; Andersen, S.M.; Teilmann, J.; Carstensen, J.; Harders, P.B.; Dietz, R.; Miller, L.A. The effect of a large Danish offshore wind farm on harbor and gray seal haul-out behavior. Mar. Mammal Sci. 2010, 26, 614–634. [Google Scholar] [CrossRef]
- Findlay, C.R.; Hastie, G.D.; Farcas, A.; Merchant, N.D.; Risch, D.; Wilson, B. Exposure of individual harbour seals (Phoca vitulina) and waters surrounding protected habitats to acoustic deterrent noise from aquaculture. Aquat. Conserv. Mar. Freshw. 2022, 32, 766–780. [Google Scholar] [CrossRef]
- Jones, E.L.; Hastie, G.D.; Smout, S.; Onoufriou, J.; Merchant, N.D.; Brookes, K.L.; Thompson, D. Seals and shipping: Quantifying population risk and individual exposure to vessel noise. J. Appl. Ecol. 2017, 54, 1930–1940. [Google Scholar] [CrossRef]
- Cunningham, L.; Baxter, J.M.; Boyd, I.L.; Duck, C.D.; Lonergan, M.; Moss, S.E.; McConnell, B. Harbour seal movements and haul-out patterns: Implications for monitoring and management. Aquat. Conserv. Mar. Freshw. 2009, 19, 398–407. [Google Scholar] [CrossRef]
- McConnell, B.J.; Fedak, M.A.; Lovell, P.; Hammond, P.S. Movements and foraging areas of grey seals in the North Sea. J. Appl. Ecol. 1999, 36, 573–590. [Google Scholar] [CrossRef]
- Sharples, R.J.; Moss, S.E.; Patterson, T.A.; Hammond, P.S. Spatial Variation in Foraging Behaviour of a Marine Top Predator (Phoca vitulina) Determined by a Large-Scale Satellite Tagging Program. PLoS ONE 2012, 7, e37216. [Google Scholar] [CrossRef] [PubMed]
- Pace, R.M.; Josephson, E.; Wood, S.A.; Murray, K.; Waring, G. Trends and Patterns of Seal Abundance at Haul-Out Sites in a Gray Seal Recolonization Zone; NOAA Technical Memorandum NMFS-NE-25. US Department of Commerce; NOAA: Woods Hole, MA, USA, 2019.
- Russell, D.J.F.; Morris, C.D.; Duck, C.D.; Thompson, D.; Hiby, L. Monitoring long-term changes in UK grey seal pup production. Aquat. Conserv. Mar. Freshw. 2019, 29, 24–39. [Google Scholar] [CrossRef]
- Gerondeau, M.; Barbraud, C.; Ridoux, V.; Vincent, C. Abundance estimate and seasonal patterns of grey seal (Halichoerus grypus) occurrence in Brittany, France, as assessed by photo-identification and capture–mark–recapture. J. Mar. Biol. Assoc. UK 2007, 87, 365–372. [Google Scholar] [CrossRef]
- Sayer, S.; Allen, R.; Hawkes, L.A.; Hockley, K.; Jarvis, D.; Witt, M.J. Pinnipeds, people and photo identification: The implications of grey seal movements for effective management of the species. J. Mar. Biol. Assoc. UK 2019, 99, 1221–1230. [Google Scholar] [CrossRef]
- Arias-del-Razo, A.; Heckel, G.; Schramm, Y.; Pardo, M.A. Terrestrial habitat preferences and segregation of four pinniped species on the islands off the western coast of the Baja California Peninsula, Mexico. Mar. Mammal Sci. 2016, 32, 1416–1432. [Google Scholar] [CrossRef]
- Reisinger, R.R.; Raymond, B.; Hindell, M.A.; Bester, M.N.; Crawford, R.J.M.; Davies, D.; de Nico Bruyn, P.J.; Dilley, B.J.; Kirkman, S.P.; Makhado, A.B.; et al. Habitat modelling of tracking data from multiple marine predators identifies important areas in the Southern Indian Ocean. Divers. Distrib. 2018, 24, 535–550. [Google Scholar] [CrossRef]
- Ventura, F.; Matthiopoulos, J.; Jeglinski, J.W.E. Minimal overlap between areas of high conservation priority for endangered Galapagos pinnipeds and the conservation zone of the Galapagos Marine Reserve. Aquat. Conserv. Mar. Freshw. 2019, 29, 115–126. [Google Scholar] [CrossRef]
- Cziko, P.A.; Munger, L.M.; Santos, N.R.; Terhune, J.M. Weddell seals produce ultrasonic vocalizations. J. Acoust. Soc. Am. 2020, 148, 3784–3796. [Google Scholar] [CrossRef]
- Pérez Tadeo, M.; Gammel, M.; O’Brien, J. First Steps towards the Automated Detection of Underwater Vocalisations of Grey Seals (Halichoerus grypus) in the Blasket Islands, Southwest Ireland. J. Mar. Sci. Eng. 2023, 11, 351. [Google Scholar] [CrossRef]
- McCreery, L.; Thomas, J.A. Acoustic Analysis of Underwater Vocalizations from Crabeater Seals (Lobodon carcinophagus): Not So Monotonous. Aquat. Mamm. 2009, 35, 490–501. [Google Scholar] [CrossRef]
- Llobet, S.M.; Ahonen, H.; Lydersen, C.; Berge, J.; Ims, R.; Kovacs, K.M. Bearded seal (Erignathus barbatus) vocalizations across seasons and habitat types in Svalbard, Norway. Polar Biol. 2021, 44, 1273–1287. [Google Scholar] [CrossRef]
- Asselin, S.; Hammill, M.O.; Barrette, C. Underwater vocalizations of ice breeding grey seals. Can. J. Zool. 1993, 71, 2211–2219. [Google Scholar] [CrossRef]
- Van Parijs, S.M.; Corkeron, P.J.; Harvey, J.; Hayes, S.A.; Mellinger, D.K.; Rouget, P.A.; Thompson, P.M.; Wahlberg, M.; Kovacs, K.M. Patterns in the vocalizations of male harbor seals. J. Acoust. Soc. Am. 2003, 113, 3403–3410. [Google Scholar] [CrossRef] [PubMed]
- Cordes, L.S.; Duck, C.D.; Mackey, B.L.; Hall, A.J.; Thompson, P.M. Long-term patterns in harbour seal site-use and the consequences for managing protected areas. Anim. Conserv. 2011, 14, 430–438. [Google Scholar] [CrossRef]
- Bowen, D. Halichoerus grypus. The IUCN Red List of Threatened Species 2016: e.T9660A45226042. 2016. Available online: https://www.iucnredlist.org/species/9660/45226042 (accessed on 15 February 2023).
- Hall, A.; Thompson, D. Gray Seal. Halichoerus grypus. In Encyclopedia of Marine Mammals; Würsig, B., Thewissen, J., Kovacs, K., Eds.; Academic Press, An Imprint of Elsevier: London, UK, 2009; pp. 500–503. [Google Scholar]
- Lowry, L. Phoca vitulina. The IUCN Red List of Threatened Species 2016. 2016. Available online: https://www.iucnredlist.org/species/17013/45229114 (accessed on 15 February 2023).
- Blanchet, M.; Vincent, C.; Womble, J.; Steingass, S.; Desportes, G. Harbour Seals: Population Structure, Status, and Threats in a Rapidly Changing Environment. Oceans 2021, 2, 41–63. [Google Scholar] [CrossRef]
- Carter, M.I.D.; Boehme, L.; Duck, C.D.; Grecian, W.J.; Hastie, G.D.; McConnell, B.J.; Miller, D.L.; Morris, C.D.; Moss, S.E.W.; Thompson, D.; et al. Habitat-Based Predictions of At-Sea Distribution for Grey and Harbour Seals in the British Isles; Report to BEIS, OESEA-16-76/OESEA-17-78 2020; University of St Andrews: St Andrews, UK, 2020. [Google Scholar]
- Thompson, D.; Duck, C.D.; Morris, C.D.; Russell, D.J.F. The status of harbour seals (Phoca vitulina) in the UK. Aquat. Conserv. Mar. Freshw. 2019, 29, 40–60. [Google Scholar] [CrossRef]
- Lonergan, M.; Duck, C.; Moss, S.; Morris, C.; Thompson, D. Rescaling of aerial survey data with information from small numbers of telemetry tags to estimate the size of a declining harbour seal population. Aquat. Conserv. Mar. Freshw. 2013, 23, 135–144. [Google Scholar] [CrossRef]
- Thompson, D.; Duck, C.; Lonergan, M.E. The status of harbour seals (Phoca vitulina) in the United Kingdom. NAMMCO Sci. Publ. 2010, 8, 117. [Google Scholar] [CrossRef]
- Jones, E.L.; Sparling, C.E.; McConnell, B.J.; Morris, C.D.; Smout, S. Fine-scale harbour seal usage for informed marine spatial planning. Sci. Rep. 2017, 7, 11581. [Google Scholar] [CrossRef] [PubMed]
- Wilson, L.J.; Hammond, P.S. The diet of harbour and grey seals around Britain: Examining the role of prey as a potential cause of harbour seal declines. Aquat. Conserv. Mar. Freshw. 2019, 29, 71–85. [Google Scholar] [CrossRef]
- Cronin, M.A. The status of the harbour seal (Phoca vitulina) in Ireland. NAMMCO Sci. Publ. 2010, 8, 129–142. [Google Scholar] [CrossRef] [PubMed]
- Cronin, M.; Duck, C.; Cadhla, O.Ó.; Nairn, R.; Strong, D.; O’Keeffe, C. An assessment of population size and distribution of harbour seals in the Republic of Ireland during the moult season in August 2003. J. Zool. 2007, 273, 131–139. [Google Scholar] [CrossRef]
- Cronin, M.; Gregory, S.; Rogan, E. Moulting phenology of the harbour seal in south-west Ireland. J. Mar. Biol. Assoc. UK 2014, 94, 1079–1086. [Google Scholar] [CrossRef]
- Kavanagh, A.S.; Cronin, M.A.; Walton, M.; Rogan, E. Diet of the harbour seal (Phoca vitulina vitulina) in the west and south-west of Ireland. J. Mar. Biol. Assoc. UK 2010, 90, 1517–1527. [Google Scholar] [CrossRef]
- Thomas, L.; Russell, D.J.F.; Duck, C.D.; Morris, C.D.; Lonergan, M.; Empacher, F.; Thompson, D.; Harwood, J. Modelling the population size and dynamics of the British grey seal. Aquat. Conserv. Mar. Freshw. 2019, 29, 6–23. [Google Scholar] [CrossRef]
- Special Committee on Seals (SCOS). Scientific Advice on Matters Related to the Management of Seal Populations: 2017; Sea Mammal Research Unit, University of St Andrews: Scotland, UK, 2017; Available online: http://www.smru.st-andrews.ac.uk/files/2018/01/SCOS-2017.pdf (accessed on 16 February 2023).
- Ó Cadhla, O.; Keena, T.; Strong, D.; Duck, C.; Hiby, L. Monitoring of the Breeding Population of Grey Seals in Ireland, 2009–2012; Irish Wildlife Manuals, No. 74. Department of the Arts, Heritage and the Gaeltacht; National Parks and Wildlife Service: Dublin, Ireland, 2013. [Google Scholar]
- The Intermediate Assessment 2017. Assessment of the Marine Environment in OSPAR’s Waters; OSPAR Commission: London, UK, 2017; Available online: https://oap.ospar.org/en/ospar-assessments/intermediate-assessment-2017/ (accessed on 18 February 2023).
- Pérez Tadeo, M. Factors Affecting Local Abundance and Behaviour of Grey Seals (Halichoerus grypus) and Harbour Seals (Phoca vitulina) at Two Sites on the West Coast of Ireland: Implications for Management and Conservation. Ph.D. Thesis, Atlantic Technological University, Galway, Ireland, 2022. [Google Scholar]
- Morris, C.D.; Duck, C.D. Aerial Thermal-Imaging Survey of Seals in Ireland, 2017 to 2018; Irish Wildlife Manuals, No. 111. Department of Culture, Heritage and the Gaeltacht; National Parks and Wildlife Service: Dublin, Ireland, 2019. [Google Scholar]
- JNCC (Joint Nature Conservation Committee), 2022. Available online: https://sac.jncc.gov.uk/species/ (accessed on 15 February 2023).
- NPWS (National Parks & Wildlife Service). 2022. Available online: https://www.npws.ie/marine/marine-species (accessed on 15 February 2023).
- Huon, M.; Planque, Y.; Jessopp, M.J.; Cronin, M.; Caurant, F.; Vincent, C. Fine-scale foraging habitat selection by two diving central place foragers in the Northeast Atlantic. Ecol. Evol. 2021, 11, 12349–12363. [Google Scholar] [CrossRef]
- Riedman, M. The Pinnipeds. Seals, Sea Lions, and Walruses; University of California Press: Berkeley, CA, USA, 1990. [Google Scholar]
- Breed, G.A.; Bowen, W.D.; McMillan, J.I.; Leonard, M.L. Sexual segregation of seasonal foraging habitats in a non-migratory marine mammal. Proc. R. Soc. B Biol. Sci. 2006, 273, 2319–2326. [Google Scholar] [CrossRef]
- Hammond, P.S.; Hall, A.J.; Prime, J.H. The diet of grey seals in the inner and outer Hebrides. J. Appl. Ecol. 1994, 31, 737–746. [Google Scholar] [CrossRef]
- Spitz, J.; Mariotti, L.; Ridoux, V.; Caillot, E.; Elder, J.F. The diet of harbour seals (Phoca vitulina) at the southern limit of its European distribution (Normandy, France). NAMMCO Sci. Publ. 2010, 8, 313–328. [Google Scholar] [CrossRef] [PubMed]
- Brown, S.; Bearhop, S.; Harrod, C.; McDonald, R. A review of spatial and temporal variation in grey and common seal diet in the United Kingdom and Ireland. J. Mar. Biol. Assoc. UK 2012, 92, 1711–1722. [Google Scholar] [CrossRef][Green Version]
- Gosch, M.; Cronin, M.; Rogan, E.; Hunt, W.; Luck, C.; Jessopp, M. Spatial variation in a top marine predator’s diet at two regionally distinct sites. PLoS ONE 2019, 14, e0209032. [Google Scholar] [CrossRef] [PubMed]
- Jones, E.L.; McConnell, B.J.; Smout, S.; Hammond, P.S.; Duck, C.D.; Morris, C.D.; Thompson, D.; Russell, D.J.F.; Vincent, C.; Cronin, M.; et al. Patterns of space use in sympatric marine colonial predators reveal scales of spatial partitioning. Mar. Ecol. Prog. Ser. 2015, 534, 235–249. [Google Scholar] [CrossRef]
- Bonner, W.N.; Witthames, S.R. Dispersal of common seals (Phoca vitulina) tagged in the Wash, East Anglia. J. Zool. 1974, 174, 528–531. [Google Scholar] [CrossRef]
- Thompson, P.M.; McConnell, B.J.; Tollit, D.J.; Mackay, A.; Hunter, C.; Racey, P.A. Comparative distribution, movements and diet of harbour and grey seals from the Moray Firth, N.E. Scotland. J. Appl. Ecol. 1996, 33, 1572–1584. [Google Scholar] [CrossRef]
- Thompson, P.M.; Mackay, A.; Tollit, D.J.; Enderby, S.; Hammond, P.S. The influence of body size and sex on the characteristics of harbour seal foraging trips. Can. J. Zool. 1998, 76, 1044–1053. [Google Scholar] [CrossRef]
- Sjöberg, M.; Fedak, M.A.; McConnell, B.J. Movements and diurnal behaviour patterns in a Baltic grey seal (Halichoerus grypus). Polar Biol. 1995, 15, 593–595. [Google Scholar] [CrossRef]
- Matthiopoulos, J.; McConnell, B.J.; Duck, C.; Fedak, M. Using satellite telemetry and aerial counts to estimate space use by grey seals around the British Isles. J. Appl. Ecol. 2004, 41, 476–491. [Google Scholar] [CrossRef]
- Bonner, W.N. The grey seal and common seal in European waters. Oceanogr. Mar. Biol. 1972, 10, 461–507. [Google Scholar]
- Thompson, P. Seasonal changes in the distribution and composition of common seal (Phoca vitulina) haul-out groups. J. Zool. 1989, 217, 281–294. [Google Scholar] [CrossRef]
- Boness, D.J. Activity budget of male gray seals, Halichoerus grypus. J. Mammal. 1984, 65, 291–297. [Google Scholar] [CrossRef]
- Burns, J.J.; Gol’tsev, V.N. Comparative biology of harbor seals, Phoca vitulina Linnaeus, 1758, of the Commander, Aleutian and Pribilof islands. In Soviet-American Cooperative Research on Marine Mammals; NOAA Technical Report NMFS 12; Fay, F.H., Fedoseev, G.A., Eds.; NOAA: Washington, DC, USA, 1984; Volume 1, pp. 17–24. [Google Scholar]
- Hayes, S.A.; Costa, D.P.; Harvey, J.T.; LeBouef, B.J. Aquatic mating strategies of the male Pacific harbor seal (Phoca vitulina richardii): Are males defending the hotspot? Mar. Mammal Sci. 2004, 20, 639–656. [Google Scholar] [CrossRef]
- Miksis-Olds, J.L.; Van Opzeeland, I.C.; Van Parijs, S.M.; Jones, J. Pinniped Sounds in the Polar Oceans. In Listening in the Ocean. Modern Acoustics and Signal Processing; Au, W.W.L., Lammers, M., Eds.; Springer: New York, NY, USA, 2016. [Google Scholar] [CrossRef]
- Twiss, S.D. Behavioural and Energetic Determinants of Individual Mating and Success in Male Grey Seals (Halichoerus grypus). Ph.D. Thesis, University of Glasgow, Glasgow, UK, 1991. [Google Scholar]
- Van Opzeeland, I.C.; Kindermann, L.; Boebel, O.; Van Parijs, S.M. Insights into the acoustic behaviour of polar pinnipeds–current knowledge and emerging techniques of study. In Animal Behaviour–New Research; Weber, E.A., Krause, L.H., Eds.; Nova Science Publishers Inc.: Hauppage, NY, USA, 2008; pp. 133–161. [Google Scholar]
- Hanggi, E.B.; Schusterman, R.J. Underwater acoustic displays and individual variation in male harbour seals, Phoca vitulina. Anim. Behav. 1994, 48, 1275–1283. [Google Scholar] [CrossRef]
- Hayes, S.A.; Kumar, A.; Daniel, P.C.; Mellinger, D.K.; Harvey, J.T.; Southall, B.L.; LeBoeuf, B.J. Evaluating the function of the male harbour seal, Phoca vitulina, roar through playback experiments. Anim. Behav. 2004, 67, 1133–1139. [Google Scholar] [CrossRef]
- Van Parijs, S.M.; Thompson, P.M.; Tollit, D.J.; Mackay, A. Distribution and activity of male harbour seals during the mating season. Anim. Behav. 1997, 54, 35–43. [Google Scholar] [CrossRef]
- Van Parijs, S.M.; Hastie, G.D.; Thompson, P.M. Geographic variation in temporal and spatial vocalization patterns of male harbour seals in the mating season. Anim. Behav. 1999, 58, 1231–1239. [Google Scholar] [CrossRef]
- Van Parijs, S.M.; Hastie, G.D.; Thompson, P.M. Individual and geographical variation in display behaviour of male harbour seals in Scotland. Anim. Behav. 2000, 59, 559–568. [Google Scholar] [CrossRef]
- Oliver, G.W. Navigation in mazes by a grey seal, Halichoerus grypus (Fabricius). Behaviour 1978, 67, 97–114. [Google Scholar] [CrossRef]
- Schevill, W.E.; Watkins, W.A.; Ray, C. Underwater sounds of pinnipeds. Science 1963, 141, 50–53. Available online: http://science.sciencemag.org/content/141/3575/50 (accessed on 8 February 2023). [CrossRef]
- Hocking, D.P.; Burville, B.; Parker, W.M.G.; Evans, A.R.; Park, T.; Marx, F.G. Percussive underwater signaling in wild gray seals. Mar. Mammal Sci. 2020, 169, 210. [Google Scholar] [CrossRef]
- Dunn, J.; Still, R.; Harrop, H. Britain’s Sea Mammals: Whales, Dolphins, Porpoises, and Seals and Where to Find Them; University Press: Princeton. NJ, USA, 2014. [Google Scholar]
- McCulloch, S. The Vocal Behaviour of the Grey Seal (Halichoerus grypus). Ph.D. Thesis, University of St. Andrews, St. Andrews, UK, 2000. [Google Scholar]
- Shapiro, A. Vocal Learning in the Grey Seal (Halichoerus grypus): An Experimental Approach. Ph.D. Thesis, University of St. Andrews, St. Andrews, UK, 2002. [Google Scholar]
- Harrison, P.J.; Buckland, S.T.; Thomas, L.; Harris, R.; Pomeroy, P.P.; Harwood, J. Incorporating movement into models of grey seal population dynamics. J. Anim. Ecol. 2006, 75, 634–645. [Google Scholar] [CrossRef] [PubMed]
- Cronin, M.; Duck, C.; Ó Cadhla, O.; Nairn, R.; Strong, D.; O’Keeffe, C. Harbour Seal Population Assessment in the Republic of Ireland: August 2003; Irish Wildlife Manuals, No. 11. Department of Environment, Heritage and Local Government; National Parks & Wildlife Service: Dublin, Ireland, 2004. [Google Scholar]
- Cronin, M.A.; Jessopp, M.J.; Del Villar, D. Tracking Grey Seals on Irelands’ Continental Shelf; Report to National Parks & Wildlife Service, Department of Arts, Heritage, and Gaeltacht; Coastal & Marine Research Centre, University College Cork: Cork, Ireland, 2011. [Google Scholar]
- Burns, J.J. Harbor Seal and Spotted Seal. Phoca vitulina and P. largha. In Encyclopedia of Marine Mammals; Würsig, B., Thewissen, J., Kovacs, K., Eds.; Academic Press, An Imprint of Elsevier: London, UK, 2009; pp. 533–542. [Google Scholar]
- Wilson, S.C.; Jones, K.A. Behaviour of harbour seal (Phoca vitulina vitulina) pups in Dundrum Bay, north-east Ireland, during transition from filial dependency to weaning. Biol. Environ. 2020, 120, 187–202. [Google Scholar] [CrossRef]
- Caudron, A.K.; Kondakov, A.A.; Siryanov, S.V. Acoustic structure and individual variation of grey seal (Halichoerus grypus) pup calls. J. Mar. Biol. Assoc. UK 1998, 78, 651–658. [Google Scholar] [CrossRef]
- McCulloch, S.; Boness, D.J. Mother-pup vocal recognition in the grey seal (Halichoerus grypus) of Sable Island, Nova Scotia, Canada. J. Zool. 2000, 251, 449–455. [Google Scholar] [CrossRef]
- McCulloch, S.; Pomeroy, P.P.; Slater, P.J.B. Individually distinctive pup vocalizations fail to prevent allo-suckling in grey seals. Can. J. Zool. 1999, 77, 716–723. [Google Scholar] [CrossRef]
- Sauvé, C.C.; Beauplet, G.; Hammill, M.O.; Charrier, I. Mother–pup vocal recognition in harbour seals: Influence of maternal behaviour, pup voice and habitat sound properties. Anim. Behav. 2015, 105, 109–120. [Google Scholar] [CrossRef]
- Smiseth, P.T.; Lorentsen, S.H. Begging and parent-offspring conflict in grey seals. Anim. Behav. 2001, 62, 273–279. [Google Scholar] [CrossRef]
- Burton, R.W.; Anderson, S.S.; Summers, C.F. Perinatal activities in the grey seal (Halichoerus grypus). J. Zool. 1975, 177, 197–201. [Google Scholar] [CrossRef]
- Davies, J.L. Observations on the grey seal Halichoerus grypus at Ramsey Island, Pembs. Proc. Zool. Soc. Lond. 1949, 119, 673–692. [Google Scholar] [CrossRef]
- Fogden, S.C.L. Mother-young behaviour at grey seal breeding beaches. J. Zool. 1971, 164, 61–92. [Google Scholar] [CrossRef]
- Kastelein, R.A.; Wiepkema, P.R. Case study of the neonatal period of a grey seal pup (Halichoerus grypus) in captivity. Aquat. Mamm. 1988, 14, 33–38. [Google Scholar]
- Renouf, D. The vocalization of the Harbour Seal pup (Phoca vitulina) and its role in the maintenance of contact with the mother*. J. Zool. 1984, 202, 583–590. [Google Scholar] [CrossRef]
- Loughs Agency–SeaMonitor Project. 2022. Available online: https://www.loughs-agency.org/managing-our-loughs/funded-programmes/current-programmes/sea-monitor/ (accessed on 16 January 2023).
- Russell, D.J.F.; McConnell, B. Seal At-Sea Distribution, Movements and Behaviour; Report to DECC, URN: 14D/085; SMRU, Scottish Oceans Institute, University of St Andrews: St Andrews, UK, 2014. [Google Scholar]
- O’Brien, J.; (Atlantic Technological University, Galway, Ireland). Personal communication, 2023.
- Gillespie, D.; Mellinger, D.K.; Gordon, J.; McLaren, D.; Redmond, P.; McHugh, R.; Trinder, P.; Deng, X.Y.; Thode, A. PAMGUARD: Semi-automated, open source software for real-time acoustic detection and localization of cetaceans. J. Acoust. Soc. Am. 2009, 125, 2547. [Google Scholar] [CrossRef]
- Lisa, K.; Yang Center for Conservation Bioacoustics at the Cornell Lab of Ornithology. Raven Lite: Interactive Sound Analysis Software, Version 2.0.4; The Cornell Lab of Ornithology: Ithaca, NY, USA, 2023; Available online: https://ravensoundsoftware.com/ (accessed on 18 October 2022).
- R Core Team. R: A Language and Environment for Statistical Computing; R Foundation for Statistical Computing: Vienna, Austria, 2022; Available online: https://www.R-project.org/ (accessed on 11 January 2023).
- O’Brien, J. Cetacean Presence at the Ocean Energy Test Site Spiddal: As Determined through Land-Based Visual Monitoring and Static Acoustic Monitoring Using PODs; Report Prepared for the Marine Institute: Galway, Ireland, 2013. [Google Scholar]
- Hill, T.D.; Anisfeld, S.C. VulnToolkit: Analysis of Tidal Datasets. 2021. Available online: https://CRAN.R-project.org/package=VulnToolkit (accessed on 9 May 2023).
- Nikolich, K.A. The Vocal Breeding Behaviour of Harbour Seals (Phoca vitulina) in Georgia Strait, Canada: Temporal Patterns and Vocal Repertoire. Master’s Thesis, Western Washington University, Bellingham, WA, USA, 2015. [Google Scholar]
- Breiman, L.; Friedman, J.H.; Olshen, R.A.; Stone, C.G. Classification and Regression Trees; Chapman and Hall: London, UK, 1984. [Google Scholar] [CrossRef]
- Nikolich, K.; Frouin-Mouy, H.; Acevedo-Gutiérrez, A. Quantitative classification of harbor seal breeding calls in Georgia Strait, Canada. J. Acoust. Soc. Am. 2016, 140, 1300–1308. [Google Scholar] [CrossRef] [PubMed]
- Frouin-Mouy, H.C.; Hammill, M.O. In-air and underwater sounds of hooded seals during the breeding season in the Gulf of St. Lawrence. J. Acoust. Soc. Am. 2021, 150, 281–293. [Google Scholar] [CrossRef] [PubMed]
- Garland, E.C.; Castellote, M.; Berchok, C.L. Beluga whale (Delphinapterus leucas) vocalizations and call classification from the eastern Beaufort Sea population. J. Acoust. Soc. Am. 2015, 137, 3054–3067. [Google Scholar] [CrossRef]
- Therneau, T.M.; Atkinson, B.; Ripley, M.B. Rpart: Recursive Partitioning and Regression Trees (Version 4.1.19). 2022. Available online: http://CRAN.R-project.org/package=rpart (accessed on 25 May 2023).
- Zuur, A.F.; Ieno, E.N.; Walker, N.; Saveliev, A.A.; Smith, G.M. Mixed Effects Models and Extensions in Ecology with R; Springer: Berlin/Heidelberg, Germany, 2009. [Google Scholar]
- Bates, D.; Mächler, M.; Bolker, B.; Walker, S. Fitting Linear Mixed-Effects Models Using lme4. J. Stat. Softw. 2015, 67, 1–48. [Google Scholar] [CrossRef]
- Zuur, A.F.; Ieno, E.N. A protocol for conducting and presenting results of regression type analyses. Methods Ecol. Evol. 2016, 7, 636–645. [Google Scholar] [CrossRef]
- Zuur, A.F.; Ieno, E.N.; Elphick, C.S. A protocol for data exploration to avoid common statistical problems. Methods Ecol. Evol. 2010, 1, 3–14. [Google Scholar] [CrossRef]
- Lenth, R. Emmeans: Estimated Marginal Means, Aka Least-Squares Means (Version 1.8.6). 2023. Available online: https://CRAN.R-project.org/package=emmeans (accessed on 25 May 2023).
- Ralls, K.; Fiorelli, P.; Gish, S. Vocalizations and vocal mimicry in captive harbor seals, Phoca vitulina. Can. J. Zool. 1985, 63, 1050–1056. [Google Scholar] [CrossRef]
- Stirling, I.; Thomas, J.A. Relationships between underwater vocalizations and mating systems in phocid seals. Aquat. Mamm. 2003, 29, 227–246. [Google Scholar] [CrossRef]
- Reijnders, P.J.; Brasseur, S.M.; Meesters, E.H. Earlier pupping in harbour seals, Phoca vitulina. Biol. Lett. 2010, 6, 854–857. [Google Scholar] [CrossRef] [PubMed]
- Boness, D.J.; Bowen, W.D.; Oftedal, O.T. Evidence of a maternal foraging cycle resembling that of otariid seals in a small phocid, the harbour seal. Behav. Ecol. Sociobiol. 1994, 34, 95–104. [Google Scholar] [CrossRef]
- Thompson, P.M.; Miller, D.; Cooper, R.; Hammond, P.S. Changes in the distribution and activity of female harbour seals during the breeding season: Implications for their lactation strategy and mating patterns. J. Anim. Ecol. 1994, 63, 24–30. [Google Scholar] [CrossRef]
- Perry, E.A.; Renouf, D. Further studies of the role of harbor seal (Phoca vitulina) pup vocalizations in preventing separation of mother pup pairs. Can. J. Zool. 1988, 66, 934–938. [Google Scholar] [CrossRef]
- de Reus, K. Talking Seals: Vocal Development in Eastern Atlantic Harbour Seal Pups Phoca vitulina vitulina. Master’s Thesis, Royal Veterinary College, University of London, London, UK, 2017. [Google Scholar]
- Khan, C.B.; Markowitz, H.; McCowan, B. Vocal development in captive harbor seal pups, Phoca vitulina richardii: Age, sex, and individual differences. J. Acoust. Soc. Am. 2006, 120, 1684–1694. [Google Scholar] [CrossRef]
- Torres Borda, L.; Jadoul, Y.; Rasilo, H.; Salazar Casals, A.; Ravignani, A. Vocal plasticity in harbour seal pups. Philos. Trans. R. Soc. Lond. B Biol. Sci. 2021, 376, 20200456. [Google Scholar] [CrossRef]
- Anichini, M.; de Reus, K.; Hersh, T.A.; Valente, D.; Salazar-Casals, A.; Berry, C.; Keller, P.E.; Ravignani, A. Measuring rhythms of vocal interactions: A proof of principle in harbour seal pups. Phil. Trans. R. Soc. B 2023, 378, 20210477. [Google Scholar] [CrossRef]
- Ravignani, A. Spontaneous rhythms in a harbor seal pup calls. BMC Res. Notes 2018, 11, 3. [Google Scholar] [CrossRef]
- Ravignani, A. Timing of antisynchronous calling: A case study in a harbor seal pup (Phoca vitulina). J. Comp. Psychol. 2019, 133, 272. [Google Scholar] [CrossRef] [PubMed]
- Ravignani, A.; Kello, C.T.; de Reus, K.; Kotz, S.A.; Dalla Bella, S.; Méndez-Aróstegui, M.; Rapado-Tamarit, B.; Rubio-Garcia, A.; de Boer, B. Ontogeny of vocal rhythms in harbor seal pups: An exploratory study. Curr. Zool. 2019, 65, 107–120. [Google Scholar] [CrossRef] [PubMed]
- Prawirasasra, M.S.; Mustonen, M.; Klauson, A. The Underwater Soundscape at Gulf of Riga Marine-Protected Areas. J. Mar. Sci. Eng. 2021, 9, 915. [Google Scholar] [CrossRef]
- Nowak, B.V.R.; Bowen, W.D.; Whoriskey, K.; Lidgard, D.C.; Mills Flemming, J.E.; Iverson, S.J. Foraging behaviour of a continental shelf marine predator, the grey seal (Halichoerus grypus), is associated with in situ, subsurface oceanographic conditions. Mov. Ecol. 2020, 8, 41. [Google Scholar] [CrossRef] [PubMed]
- Schneider, J. Description and Probable Behavioral Significance of Grey Seal (Halichoerus grypus) Vocalizations. Master’s Thesis, University of Rhode Island, Providence, Rhode Island, 1974. [Google Scholar]
- Pérez Tadeo, M.; Gammell, M.; O’Brien, J. Assessment of anthropogenic disturbances due to ecotourism on a Grey Seal (Halichoerus grypus) colony in the Blasket Islands SAC, SW Ireland and recommendations on best practices. Aquat. Mamm. 2021, 47, 268–282. [Google Scholar] [CrossRef]
- Nikolich, K.; Frouin-Mouy, H.; Acevedo-Gutiérrez, A. Clear diel patterns in breeding calls of harbor seals (Phoca vitulina) at Hornby Island, British Columbia, Canada. Can. J. Zool. 2018, 96, 1236–1243. [Google Scholar] [CrossRef]
- Terhune, J.M.; Ronald, K. Examining harp seal behavioural patterns via their underwater vocalizations. Appl. Anim. Ethol. 1976, 2, 261–264. [Google Scholar] [CrossRef]
- Cronin, M.; Pomeroy, P.; Jessopp, M. Size and seasonal influences on the foraging range of female grey seals in the northeast Atlantic. Mar. Biol. 2013, 160, 531–539. [Google Scholar] [CrossRef]
- Beck, C.A.; Bowen, W.D.; Iverson, S.J. Seasonal changes in buoyancy and diving behaviour of adult grey seals. J. Exp. Biol. 2000, 203, 2323–2330. [Google Scholar] [CrossRef]
- Climate Action and Low Carbon Development (Amendment) Bill (2021); Department of the Environment, Climate and Communications: Dublin, Ireland, 2021.
- Climate Change (Emissions Reduction Targets) (Scotland) Act (2019); The Stationery Office: London, UK, 2019.
- EU Biodiversity Strategy for 2030; European Commission: Brussels, Belgium, 2020.











| Parameter | Abbreviation | Description | 
|---|---|---|
| Low Frequency (Hz) | Low_Freq | Frequency (Hz) at the lowest point of the call | 
| High Frequency (Hz) | High_Freq | Frequency (Hz) at the highest point of the call | 
| Duration (s) | Delta_Time | Duration of the call, calculated as the difference of time between the end point of the call and the start point of the call | 
| Frequency Range (Hz) | Delta_Freq | Range of frequencies (Hz) spanned by the call, calculated as: Delta_Freq = High_Freq − Low_Freq | 
| Average Power Density (dB FS/Hz) | Avg_Power_D | Power of the call’s signal as a function of frequency | 
| Vocalisation Type | Low Frequency (Hz) | High Frequency (Hz) | Duration (s) | Frequency Range (Hz) | Average Power Density (dB FS/Hz) | N (%) | 
|---|---|---|---|---|---|---|
| Roar | 110 ± 31 | 1022 ± 10 | 3.36 ± 0.60 | 911 ± 41 | −73.87 ± 0.09 | 0.50 | 
| Growl | 96 ± 17 | 2533 ± 1298 | 2.30 ± 2.10 | 2437 ± 1301 | −77.53 ± 3.75 | 58.31 | 
| Grunt | 402 ± 370 | 1949 ± 879 | 0.26 ± 0.14 | 1546 ± 993 | −88.07 ± 6.63 | 14.64 | 
| Groan | 577 ± 466 | 1930 ± 780 | 0.87 ± 0.69 | 20,269 ± 111,791 | −89.72 ± 7.70 | 8.68 | 
| Creak | 129.58 ± 1.43 | 2589 ± 179 | 1.35 ± 0.14 | 2460 ± 181 | −79.85 ± 0.38 | 0.50 | 
| Pup | 686 ± 405 | 3387 ± 2110 | 0.35 ± 0.10 | 2700 ± 2138 | −107.76 ± 3.66 | 17.37 | 
| Vocalisation Type | Low Frequency (Hz) | High Frequency (Hz) | Duration (s) | Frequency Range (Hz) | Average Power Density (dB FS/Hz) | N (%) | 
|---|---|---|---|---|---|---|
| 1 | 133 ± 50 | 396 ± 121 | 0.57 ± 0.14 | 262 ± 127 | −87.03 ± 5.51 | 74.18 | 
| 2A | 75 ± 31 | 419 ± 195 | 0.14 ± 0.08 | 344 ± 180 | −91.88 ± 4.99 | 10.12 | 
| 2B | 67 ± 16 | 406 ± 97 | 0.32 ± 0.09 | 339 ± 97 | −88.54 ± 4.11 | 2.53 | 
| 2C | 78 ± 32 | 512 ± 278 | 0.36 ± 0.19 | 434 ± 251 | −91.61 ± 4.91 | 0.43 | 
| 3 | 221 ± 257 | 1165 ± 937 | 0.38 ± 0.58 | 944 ± 909 | −92.89 ± 6.61 | 0.13 | 
| 4A | 84 ± 38 | 462 ± 288 | 0.24 ± 0.08 | 377 ± 284 | −89.26 ± 4.94 | 0.48 | 
| 4B | 99 ± 46 | 822 ± 713 | 0.29 ± 0.04 | 723 ± 666 | −92.99 ± 13.64 | 0.02 | 
| 5 | 87 ± 23 | 565 ± 137 | 1.13 ± 0.38 | 477 ± 134 | −91.87 ± 2.27 | 0.18 | 
| 6 | 184 ± 73 | 388 ± 111 | 0.56 ± 0.46 | 202 ± 76 | −92.67 ± 4.20 | 5.83 | 
| 7 | 125 ± 24 | 714 ± 219 | 0.48 ± 0.14 | 589 ± 200 | −97.94 ± 2.94 | 0.07 | 
| 8A | 104 ± 21 | 2815 ± 1422 | 4.10 ± 1.51 | 2711 ± 1429 | −91.15 ± 3.93 | 0.15 | 
| 8B | 109 ± 27 | 2521 ± 32,067 | 0.81 ± 0.51 | 340 ± 137 | −92.67 ± 5.11 | 5.61 | 
| 9 | 363 ± 50 | 861 ± 340 | 0.97 ± 0.99 | 497 ± 313 | −103.42 ± 4.13 | 0.19 | 
| 10 | 168 ± 48 | 689 ± 85 | 0.88 ± 0.55 | 520 ± 56 | −97.22 ± 1.50 | 0.08 | 
| Predictor Variables | Estimate ‡ | SE ‡ | Z Value ‡ | p Value ‡ | 
|---|---|---|---|---|
| Intercept | −17.05 | 0.12 | −147.97 | <2 × 10−16 *** | 
| Season a | ||||
| Pre-breeding | −0.54 | 0.17 | −3.14 | 0.0017 ** | 
| Diel a | ||||
| Night | 0.32 | 0.006 | 57.50 | <2 × 10−16 *** | 
| Tidal state a | ||||
| Flood | −0.54 | 0.009 | −63.37 | <2 × 10−16 *** | 
| High | −0.38 | 0.008 | −48.66 | <2 × 10−16 *** | 
| Low | 0.14 | 0.007 | 21.08 | <2 × 10−16 *** | 
| Season × Tidal state | ||||
| Pre-breeding × Flood | 0.51 | 0.05 | 10.30 | <2 × 10−16 *** | 
| Pre-breeding × High | 0.09 | 0.04 | 2.11 | 0.0347 * | 
| Pre-breeding × Low | −0.25 | 0.04 | −6.37 | 1.9 × 10−10 *** | 
| Disclaimer/Publisher’s Note: The statements, opinions and data contained in all publications are solely those of the individual author(s) and contributor(s) and not of MDPI and/or the editor(s). MDPI and/or the editor(s) disclaim responsibility for any injury to people or property resulting from any ideas, methods, instructions or products referred to in the content. | 
© 2024 by the authors. Licensee MDPI, Basel, Switzerland. This article is an open access article distributed under the terms and conditions of the Creative Commons Attribution (CC BY) license (https://creativecommons.org/licenses/by/4.0/).
Share and Cite
Pozo Galván, Y.P.; Pérez Tadeo, M.; Pommier, M.; O’Brien, J. Static Acoustic Monitoring of Harbour (Phoca vitulina) and Grey Seals (Halichoerus grypus) in the Malin Sea: A Revolutionary Approach in Pinniped Conservation. J. Mar. Sci. Eng. 2024, 12, 118. https://doi.org/10.3390/jmse12010118
Pozo Galván YP, Pérez Tadeo M, Pommier M, O’Brien J. Static Acoustic Monitoring of Harbour (Phoca vitulina) and Grey Seals (Halichoerus grypus) in the Malin Sea: A Revolutionary Approach in Pinniped Conservation. Journal of Marine Science and Engineering. 2024; 12(1):118. https://doi.org/10.3390/jmse12010118
Chicago/Turabian StylePozo Galván, Yaiza Pilar, María Pérez Tadeo, Morgane Pommier, and Joanne O’Brien. 2024. "Static Acoustic Monitoring of Harbour (Phoca vitulina) and Grey Seals (Halichoerus grypus) in the Malin Sea: A Revolutionary Approach in Pinniped Conservation" Journal of Marine Science and Engineering 12, no. 1: 118. https://doi.org/10.3390/jmse12010118
APA StylePozo Galván, Y. P., Pérez Tadeo, M., Pommier, M., & O’Brien, J. (2024). Static Acoustic Monitoring of Harbour (Phoca vitulina) and Grey Seals (Halichoerus grypus) in the Malin Sea: A Revolutionary Approach in Pinniped Conservation. Journal of Marine Science and Engineering, 12(1), 118. https://doi.org/10.3390/jmse12010118
 
        



 
       