Next Article in Journal
Fit-for-Purpose Information for Offshore Wind Farming Applications—Part-II: Gap Analysis and Recommendations
Next Article in Special Issue
Flow Field Pattern and Hydrodynamic Characteristics of a Grid Device Made with Various Grid Bar Spacings at Different Inclination Angles
Previous Article in Journal
Fast Reconstruction Model of the Ship Hull NURBS Surface with Uniform Continuity for Calculating the Hydrostatic Elements
 
 
Font Type:
Arial Georgia Verdana
Font Size:
Aa Aa Aa
Line Spacing:
Column Width:
Background:
Article

Time–Frequency Analysis of Nonlinear Dynamics of an Aquaculture Cage Array in Waves

1
School of Material Science and Engineering, Taizhou University, Taizhou 318000, China
2
Ningbo Institute, Dalian University of Technology, Ningbo 315016, China
*
Author to whom correspondence should be addressed.
J. Mar. Sci. Eng. 2023, 11(9), 1818; https://doi.org/10.3390/jmse11091818
Submission received: 23 August 2023 / Revised: 8 September 2023 / Accepted: 16 September 2023 / Published: 18 September 2023

Abstract

:
The nonlinear dynamic response of an aquaculture cage array caused by wave-frequency and low-frequency excitations coupled with the nonlinearity of the mooring and the netting system is a complicated problem. So far, this problem still has not been completely understood. To address this issue, we consider the nonlinear interaction of an extreme wave with an aquaculture cage array containing 16 net cages in a 2 × 8 configuration. This paper aims to provide insight into understanding the nonlinear dynamics of an aquaculture cage array via time–frequency analysis. Time-domain analysis shows that the cage array exhibits weak nonlinearity in the surge and heave motions. On the contrary, there is strong nonlinearity in the sway motion under 45 ° and 90 ° wave attacks. Aside from this, the frequency-domain analysis indicates that nonlinearities exist in all three of these different responses (surge/sway/heave). Particularly, the low-frequency component has a predominant effect on the nonlinearity of the sway motion under 45 ° and 90 ° wave attacks. With this understanding, future aquaculture fish farms that contain multiple cages (i.e., cage array) can be potentially designed to withstand severe conditions in the open ocean.

1. Introduction

Despite providing healthy diets to billions of people worldwide, aquatic foods have been reframed as solutions to multiple forms of malnutrition [1]. Alongside this, aquatic foods could also nourish the world without exceeding planetary boundaries [2]. Future aquatic food acquisition should stick to farming instead of capturing in response to environmental and space utilization issues. Offshore aquaculture farming, as a favorable practice, offers large-scale fish farms with multiple cages (i.e., cage array) and has moved into more exposed, open oceans to expand the biomass capacity. Nevertheless, the severe environmental conditions in the open ocean significantly threaten the longevity of the aquaculture cages. A focus on the fluid–structure interaction supports the integrity and longevity of aquaculture systems and therefore becomes a critical research topic [3,4].
For modern industrial fish farming, the high-density polyethylene (HDPE) cage has been the most widely used all over the world. This kind of cage is positioned by several mooring lines. According to Xu and Qin [3], the mooring grid system is often kept at depths of 5–10 m underwater, and the number of cages in the mooring grid system ranges from 1 to 20 to expand the biomass capacity. Moreover, with the increased number of aquaculture cages, the development of engineering techniques for the design of large marine fish farms has become the primary task for engineers. These engineering techniques include analytical and semi-analytical approaches, numerical implementations, physical model tests, and field measurements. Among these, the numerical implementation, owing to its flexibility, has been frequently used for the fluid–structure interactions of aquaculture systems.
Previously, the focus was placed on the mooring grid system of aquaculture systems. For example, Fredriksson et al. [5] examined a four-cage mooring grid system for open-ocean aquaculture. The mooring system geometry, subsurface flotation, and pretension requirements were specified using analytical techniques. Finite-element simulations [6,7] were conducted under a wave height of 9 m and wave period of 8.8 s, representing an extreme condition. A system design load of mooring was obtained accordingly. Using the same finite-element program, Fredriksson et al. [8] developed the structural model for evaluating an HDPE plastic-net-pen array in a 5 × 4 configuration. These systems were considered for more exposed, energetic environments. Then, finite-element simulations of the net-pen array were compared with in situ mooring tensions for validation [9]. By considering extreme conditions (i.e., typhoon waves), Huang and Pan [10] examined a single-point mooring (SPM) system using the finite-element method. The replacement period of a polyester (PET) mooring line was recommended. Furthermore, Xu et al. [11,12] examined different arrangements of the cage array and the mooring grid failure in waves and currents to select an appropriate mooring system. These studies were based on the finite-element method to conduct the simulations, as the finite-element method is an efficient way to model cage array systems with millions of knots and twines.
Aside from the mooring grid system, other critical topics that have attracted considerable attention are the flow field and the dynamic response of the aquaculture cage array because these are closely related to the longevity of the cage array and the welfare of the farmed fish. Bi et al. [13] studied the wave transmission caused by the cage array using computational fluid dynamics (CFD). They found that the transmission coefficient for multiple net cages increased alongside the wave period. Rasmussen et al. [14] examined the flow field of a cage array in a 5 × 2 configuration based on CFD. The velocity reduction was determined and compared with the field measurement. Moreover, Bi et al. [15] studied a square array of net cages with different levels of biofouling using a CFD model. Their results revealed that the damping effect of the cage array increased with the biofouling levels. Recently, coupled fluid–structure models have been developed to incorporate the net deformation and its flow field. For instance, Martin et al. [16,17] proposed a numerical framework for modeling the dynamics of open-ocean aquaculture structures based on Lagrangian–Eulerian coupling. This numerical framework has been implemented in a vessel–ship aquaculture platform and an aquaculture cage array.
Even though the CFD approach considers the water viscosity, it is still computationally expensive to conduct hydrodynamic analysis for the aquaculture cage array. Under this circumstance, Selvan et al. [18] proposed a potential method to examine the wave scattering induced by a multiple flexible cage system in a computationally efficient manner. Based on the potential theory, Ma et al. [19] developed a semi-analytical solution to study the hydroelastic interactions between waves and a flexible cage array. Furthermore, the potential-flow-theory-based boundary-element method (BEM) combined with the lumped-mass model has been proposed to study the dynamic behaviors of multi-body aquaculture platforms under waves [20,21]. Most recently, Shen et al. [22] studied the nonlinear dynamics of an aquaculture cage array based on an efficient numerical scheme with a robust implicit finite-element method. Overall, one needs to balance the computational efficiency and the numerical accuracy when developing engineering techniques for the future design of large marine fish farms.
These aforementioned studies significantly advanced the fluid–structure interactions of the aquaculture cage array. However, there are remaining issues that need to be solved. For an aquaculture cage array system containing floating collars, the mooring lines and the netting system are subjected to environmental loads; the nonlinear dynamic response is a key consideration for designing such a complicated system. In particular, the nonlinear dynamic response caused by wave-frequency and low-frequency excitations, coupled with the nonlinearity of the mooring lines and the netting, produces a series of complicated nonlinear problems. So far, these nonlinear problems still have not been completely understood. In light of this, this study conducted a time–frequency analysis for the nonlinear dynamics of an aquaculture cage array in waves using a custom-developed implicit finite-element method and a frequency-domain approach. Three typical incident waves, propagating from 0 ° , 45 ° , and 90 ° , were considered. This paper aims to provide insight into understanding the nonlinear dynamics of an aquaculture cage array via time–frequency analysis.
The rest of this paper is organized as follows. Section 2 introduces the aquaculture cage array; the mathematical formulations in the time and frequency domains and numerical descriptions are also detailed. Section 3 presents the numerical results and discussion. This is followed by the conclusions of this paper in Section 4.

2. Methodology

2.1. Fish Farm Description

The fish farm, located in the open ocean and of a 50 m depth with a flat sea bottom, is connected by the mooring grid of 200 m × 380 m. Each square grid dimension is 30 m. It contains 16 prototype gravity-type net cages in a 2 × 8 configuration; part of the cage array under storm is depicted in Figure 1. The mooring grid system and markers on the floating collar are defined in Figure 2. These net cages, consisting of high-density polyethylene (HDPE) floating collars and suspended nets, each with a diameter of 25 m, are connected to a near-surface mooring grid with 24 anchor legs. The mooring grid is located 4 m underwater and is tethered by twenty-seven 1.65 m diameter spherical buoys. The anchor legs, incorporating co-polymer rope and catenary chains, extend to the bottom beneath the buoys and the grid. The catenary chain in the anchor legs provides compliance with the system and maintains static pretensioning. The geometric and material properties of the individual net cage are detailed in Table 1.
Note that this paper studies explicitly the elastic-modulus effect of the floating collar. Several studies are compared to determine whether the floating collar is flexible or rigid. For instance, via experimental tests, Fredriksson et al. [8] obtained the averaged modulus of elasticity for the HDPE floating collar, which was 6.67 × 10 8 Pa. Li et al. [23] used a value of 0.464 Nm2 for the bending stiffness of an elastic floating collar, and the modulus of elasticity was roughly in the order of O ( 10 7 ) . All these pioneering works provide references for the modulus of elasticity of the floating collar. Therefore, in the present study, the modulus of elasticity for the rigid/flexible floating collar was set to be 8.96 × 10 8 Pa/8.96 × 10 7 Pa, as shown in Table 1.

2.2. Mathematical Formulations and Numerical Modeling

This section first briefly introduces the wave theory and motion equation of the floating collar. The curved-beam theory is specifically adapted to account for the elastic deformation of the floating collar. Then, the net and mooring system modeling procedures are outlined using a lumped-mass model, followed by the modeling of the floater. A detailed description of the mathematical formulation is presented in [24,25]. In addition, a mesh-grouping method was used to reduce the computational effort, similar to the equivalent-mesh method, and is also discussed in [26,27].

2.2.1. Wave Theory

This paper assumes that the aquaculture cage array is exposed to severe conditions. Thus, a Stoke fifth-order wave (9 m height with a period of 8.8 s) based on a new wave theory [28] is prescribed, as Stokes waves are frequently used as the design waves in many ocean and coastal engineering applications. The horizontal and vertical velocities are given as follows:
u = ϕ x = i = 1 5 i ω k ϕ i cosh k z + h sin θ  
and
w = ϕ z = i = 1 5 i ω k ϕ i sinh k z + h cos θ
where ϕ is the velocity potential, and we have the following:
ϕ 1 = λ A 11 + λ 3 A 13 + λ 5 A 15 ϕ 2 = λ 2 A 22 + λ 4 A 24 ϕ 3 = λ 3 A 33 + λ 5 A 35 ϕ 4 = λ 4 A 44 ϕ 5 = λ 5 A 55  
The coefficients are listed as follows:
A 11 = 1 sinh k h ,   A 31 = A 51 = 0   A 22 = 3 8 s i n h 4 k h ,   A 42 = 12 α 1 4 + 22 α 1 3 84 α 1 2 135 α 1 + 104 24 α 1 1 5   A 33 = 9 4 s i n h 2 k h 64 s i n h 7 k h   A 53 = 8 α 1 6 + 138 α 1 5 + 384 α 1 4 568 α 1 3 2388 α 1 2 + 237 α 1 + 974 64 α 1 1 6 3 α 1 + 2 sinh k h A 44 = 10 α 1 3 174 α 1 2 + 291 α 1 + 278 48 3 α 1 + 2 α 1 1 5 A 55 = 6 α 1 5 + 272 α 1 4 1552 α 1 3 + 852 α 1 2 + 2029 α 1 + 430 64 α 1 1 6 3 α 1 + 2 4 α 1 + 1 sinh k h C 2 = σ 2 1 4 σ ,   C 4 = 9 4 α 1 1 3 sinh 2 k h
in which
θ = k x ω t ,   ω 0 = g k σ ,   σ = tanh k h ,   α 1 = cosh 2 k h = 1 + σ 2 1 σ 2
where k is the wavenumber and ω is the wave angular frequency.

2.2.2. Motion Equations and Hydrodynamic Loads

This paper studies the hydrodynamic behavior of the floating collar by dividing it into several mini-segments. The curved-beam theory is used to account for the elastic deformation of the floating collar because this paper examines the nearly rigid and flexible floating collars. The mini-segment is considered to be a curved beam (see Figure 3). In the present study, the variable buoyancy force induced by irregular submersion along the centerline of the floating collar is considered by discretizing each mini-segment into volume sections. As shown in Figure 3, the segment is assumed to be above the free surface and contributes zero buoyancy force if the centroid is above the waterline; otherwise, if it is below, it contributes a buoyancy force. Then, based on Newton’s second law, the three translational equations of motion under a fixed-coordinate system are denoted as follows:
x ¨ G = 1 m G i N F x i ,   y ¨ G = 1 m G i N F y i ,   z ¨ G = 1 m G i N F z i  
where F x i , F y i , and F z i   are components of the external force on the mini-segment along the fixed-coordinate x, y, and z, and m G is the mass of the floating collar. x ¨ G , y ¨ G , and z ¨ G are the accelerations of the mass center, and N is the number of mini-segments.
The rotational motion can be obtained via the Euler equations as follows:
I 1 ω 1 t + I 3 I 2 ω 3 ω 2 = M 1 ,   I 2 ω 2 t + I 1 I 3 ω 1 ω 3 = M 2 ,   I 3 ω 3 t + I 2 I 1 ω 1 ω 2 = M 3  
Here, subscripts 1, 2, and 3 represent the body-coordinate axes. I 1 , I 2 , and I 3   are the moments of inertia along the three principal axes; ω 1 , ω 2 , and ω 3 are the components of the angular velocity vector ( ω ); M 1 , M 2 , and M 3 denote the moment vectors.
Compared to the wavelength, the diameter of the floating collar is much smaller; thus, the floating collar is considered a slender structure. The wave force on each mini-segment of the floating collar can be obtained via the Morison equation:
F = 1 2 C D ρ A p u U · u U + ρ V 0 u ˙ + C m ρ V 0 u ˙ U ˙
where u and U are the velocity vectors of the water particles and the mini-segment, respectively; u ˙ and U ˙ represent the acceleration vectors of the water particles and the mini-segment. ρ is the water density, and A p is the projected area normal to the wave propagation direction. V 0 is the time-dependent water-displaced volume of a mini-segment. C D and C m signify the drag- and added-mass coefficients. According to Li et al. [24], these hydrodynamic coefficients are considered constants and set to be C D w = 0.4 , C D u = C D v = 0.6 , C m u = C m v = 0.2 , and C m w = 0 .

2.2.3. Net Cage and Mooring System

We assume the net twine and mooring line to be slender structures, and the hydrodynamic force acting on a deformable net bar/mooring segment is computed using Equation (8). During the simulation, the net cage and the mooring system are modeled as a series of lumped-mass points interconnected with massless springs, as shown in Figure 4. Lumped-mass points are located at each knot and the center of the mesh bar/mooring segment.
When using the Morison equation to predict the hydrodynamic forces acting on the net cage/mooring system, the interaction between the net bars is negligible, as the net solidity ratio in the present study is relatively small ( S n = 0.133). Hence, the hydrodynamic coefficients of a slender body (e.g., net twine/moorings) are considered a function of the Reynolds number. The hydrodynamic coefficients used in the present work have been detailed in our previous study [22].
The hydrodynamic forces, including the drag force ( F D ) and the inertial force ( F I ), in conjunction with the tension force ( F T ) and gravity and buoyancy forces ( F W and F B ), constitute the external forces. Then, the motion of each lumped mass in the waves can be expressed as the following nonlinear second-order derivative differential equation in the time domain:
( m + ρ s V C m ) d ¨ = F D + F I + F W + F B + F T
where m is the mass of the lumped mass, ρ s is the density of the net, C m is the added-mass coefficient, and d ¨ is the acceleration of the mass point. For the convenience of discretization, Equation (9) can be expressed as a vector form in the time domain:
M t d ¨ + C t d ˙ + K t d = F e x t  
Here, the superscript t represents the time domain. M t is the mass matrix of the lumped mass, and C t and K t are the matrices of the added mass and stiffness, respectively. F e x t represents the matrix of the external forces.
Because the cage array is a complicated system, we assume each is a nonlinear oscillator, and the wave condition is prescribed to be regular sine waves producing harmonic wave forces. During the simulations, the lumped-mass method models slender structures like netting and moorings in the finite-element framework. Then, we establish the mass, damping, stiffness, and load matrices at each element. The responses are obtained in the time domain by integrating the nonlinear equation of motion by an incremental time-marching scheme called the Generalized- α method.
It is worth mentioning that a formulation based on the lumped-mass approach and its numerical efficiency is quite advantageous for time-domain simulations. At the same time, its simplicity and transparency are also suitable to approximate frequency-domain analysis. Therefore, the dynamic response of the aquaculture cage array is examined under the lumped-mass framework in the frequency domain. The equations of motion can be written as follows:
ω 2 M f + A f ω + A e f + i ω D f ω + D e f + R f + R e f X = F w ω , β + F w , e
Here, the superscript t represents the frequency domain. The complex solutions are assumed to have a common time-harmonic factor of e i ω t . ω is the wave frequency and β is the wave heading. M f is the mass matrix, A f ω and D f ω are the matrices of the added mass and damping calculated from a linear potential-flow solver, respectively. R f is the restoring matrix, and F w ω , β is the complex amplitude of the wave excitation due to potential flow. X is the complex amplitudes of the motions. In order to fully account for the mooring system and viscous drag of the netting, extra added-mass, damping, and restoring matrices, denoted by A e f , D e f , and R e f , are also included in the above motion equations. Finally, F w , e is added on the right-hand side of Equation (11) for completeness.
The WF response can be calculated via the transfer functions between the system response and the surface elevation in the frequency domain. For the second-order LF response, it is necessary to obtain it from the force cross-spectra matrix.

3. Results and Discussion

This section examines the wave-induced nonlinear dynamic motion of the individual cage in the time and frequency domain. In particular, the nonlinear dynamic motion induced by three different incident waves propagating from 0 ° , 45 ° , and 90 ° are compared. In this manner, the safety design of the full-scale aquaculture cage array system can be evaluated. Moreover, different hydrodynamic forcing mechanisms can be identified based on the time–frequency analysis. Considering that the cage array is symmetrical, only 1/4 of the cage array is exhibited, corresponding to Markers A1–A4 in Figure 2. These markers are supposedly the first to encounter the waves. All the data were collected after the dynamic simulations reached a steady state and the line configurations were in harmonic conditions.

3.1. Time-Domain Analysis

According to Ma et al. [20], aquaculture net cages do not contain high-frequency response components. Instead, only wave-frequency (WF) responses and low-frequency (LF) responses exist. Therefore, Figure 5, Figure 6 and Figure 7 present the time histories of the surge, sway, and heave motions from Markers A1–A4 on the floating collars regarding rigid and flexible properties. These plots are generated by the local coordinate system. In particular, to further examine the effect of the incident angles, motions induced by waves with different incident angles are compared intentionally.
Figure 5 compares the time histories of the surge under waves with incident angles of 0 ° and 45 ° . The overall surge motion under the wave with a 0 ° incident angle is approximately three times larger than that under the wave with a 45 ° incident angle. This indicates that the wave with a 45 ° incident angle significantly restrains the motion of the cage array in the horizontal plane (i.e., surge). Compared to the rigid cage, the surge motion of the flexible cage is slightly higher. Apparently, the oblique wave and the material properties should be analyzed carefully for the safety design of the cage array because we would expect the cage array ‘to go with the wave’. Alongside this, the insets in the panels show the trajectories of the cages. The overall trajectories are not as elliptical as the trajectories of the water particles, indicating that the nonlinearity of the cage array is induced by the wave–structure interaction. Moreover, the nonlinearity of the cage array is more obvious under the wave with a 45 ° incident angle. As can be seen from Figure 5, t time histories of the surge for Markers A1 and A3 do not exhibit regular sinusoidal patterns. This weak nonlinearity is caused by the following: (1) the nonlinear wave force; (2) the restoring force induced by the moorings; (3) the damping from the nettings; (4) the combination of them.
There is no sway motion when the wave propagates from 0 ° because we assume that the 0 ° incident angle means the wave propagates from the x-direction. Thus, Figure 6 only exhibits time histories of sway motions under waves with incident angles of 45 ° and 90 ° . The overall sway motion under the wave with the 90 ° incident angle is slightly higher than that under the 45 ° incident angle. Regarding the elastic modulus, the flexible cage with a lower elastic modulus has greater sway motion compared to the rigid cage. The trajectories of rigid cages are smaller than those of flexible ones. This difference is attributed to the elastic modulus. To be specific, a higher elastic modulus significantly restrains the excursion of the rigid cage, and a flexible cage with a lower elastic modulus provides the floating collar with fewer constraints and allows the cage to deform with the wave. In this regard, the flexible cage is more compatible with severe sea conditions.
It also can be seen from Figure 6 that the time histories of the sway motions show evident nonlinearity, represented by a series of subharmonics. The subharmonics and the irregular patterns of the trajectories show that significant nonlinearity occurs in the sway motion of the cage array under waves with incident angles of 45 ° and 90 ° . Moreover, the nonlinearity is much more evident for the cage with a rigid floating collar. This indicates that the material property contributes to the nonlinearity of the sway motion. Tsukrov et al. [29] thoroughly examined the nonlinear material behaviors for aquaculture cage mooring. The tension–elongation relationship clearly showed how the nonlinear material behavior affected the moorings under cyclic loading. This further affects the cage array’s motion, like sway, and produces strong nonlinearity. The other reason for the strong nonlinearity of the sway is the wave breaking over the cage array and the turbulent flow caused by the netting. Moreover, there are a large amount of nonlinear drag forces that could be generated by the netting and therefore enhance the nonlinearity of the sway motion.
Figure 7 exhibits the time histories of the heave motions under waves with incident angles of 0 ° , 45 ° , and 90 ° . After comparing the heave amplitudes of these three situations, we find that the heave amplitude decreases with the increase in the incident angle. In other words, the cage array under the 0 ° incident angle has the largest heave amplitude ( 4 m). The second largest ( 3.5 m) occurs under the 45 ° incident angle, and the 90 ° incident angle wave produces the smallest heave amplitude ( 3 m). Alongside this, Figure 7 does not show evident nonlinearity in the overall time history regarding the rigid and flexible cages. However, the trajectories from the insets show weak nonlinearity because they are not as elliptical as the trajectories of the water particles. Qin et al. [30] examined nonlinear vertical accelerations of a single net cage via first–fourth-order harmonics under linear waves. The authors showed that the nonlinearity of the heave motion happened even under linear waves. Moreover, drag-driven damping was also analyzed and contributed to the nonlinearity of the vertical motion. In the present study, the nonlinearity of the heave motion induced by the wave-frequency loads is overlooked. This is because the nonlinearity is dominated by the low-frequency excitations [31].
After comparing the motions in three different incident angles, it was found that the wave with the 0 ° incident angle could cause three times more surge than that with the 45 ° incident angle. The sway motion under the 90 ° wave attack is slightly higher than that under the 45 ° wave attack. However, the heave motion decreases with the increase in the incident angle, and the cage array under the 0 ° wave attack has the largest heave amplitude. Regarding the nonlinearity of the motion, the cage array shows weak nonlinearity in the surge motion when the incident angles are 0 ° and 45 ° . Weak nonlinearity also occurs for the heave motion under all three wave attacks. In contrast, there is evident nonlinearity in the sway motion under the 45 ° and 90 ° wave attacks. Therefore, and as per the first suggestion, we would suggest that strong nonlinearity in the sway motion under 45 ° and 90 ° wave attacks should be avoided for the safety design of the aquaculture cage array.

3.2. Frequency-Domain Analysis

Frequency-domain analysis is crucial for designing the aquaculture cage system because it provides a frequency-dependent representation of the system and the responses at the excitation frequency. Aside from this, an efficient frequency-domain method is suitable for the treatment of the nonlinearities inherent in the dynamic system. In this regard, frequency-domain analysis is conducted in this subsection to evaluate the nonlinear dynamics of the aquaculture cage array.
Figure 8 depicts the comparison of the power spectra for the surge motion under the 0 ° and 45 ° wave attacks. As we see, the overall power spectra of the surge motions concentrate on the wave-frequency band, meaning that the surge response is dominated by the wave-frequency component. The power spectra decrease approximately ½ under the 45 ° wave attack compared to those under the 0 ° wave attack. Apart from this, the power spectra of the surge motions for flexible cages are slightly larger than those for the rigid cages. Moreover, fluctuations at the power spectrum band show weak nonlinearity in the surge response. The nonlinear geometry property of the floating collar and the nonlinear damping forces caused by the mooring system could be responsible for this weak nonlinearity. Additionally, a tiny number of low-frequency components is included in the power spectra. Therefore, the overall surge motion is the combination of wave-frequency and low-frequency excitations.
Figure 9 compares the power spectra for the sway motion under the 45 ° and 90 ° wave attacks. Similar to the situation in Figure 8, the overall power spectra of the sway motions still concentrate on the wave-frequency band. Thus, the wave-frequency component is the dominant contributor to the sway motion. The reversed situation can be found after comparing the power spectra between these two different wave attacks. The power spectra of the sway motions increase approximately ½ under the 90 ° wave attack compared to those under the 45 ° wave attack. Moreover, the power spectra of the sway motions for flexible cages are slightly larger than those for rigid cages. Aside from this, there are evident fluctuations in the power spectrum band under the 45 ° and 90 ° wave attacks. These fluctuations represent strong nonlinearity, which is consistent with the time-domain analysis in Figure 6. It also can be seen that the fluctuations appear at low- and high-frequency bands. There are no such fluctuations when the frequency band is over 0.5 Hz. Thus, it can be determined that low- and high-frequency could cause the nonlinearity of the cage array, and low frequency has a predominant effect on the nonlinearity of the sway motion under 45 ° and 90 ° wave attacks. This is because the power spectra at the low-frequency band are higher than those at the high-frequency band. Therefore, one needs to avoid the nonlinearity caused by low- and high-frequency excitations for the safety design of the aquaculture cage array based on frequency-domain analysis.
Figure 10 exhibits the power spectra for the heave motion under the 0 ° , 45 ° , and 90 ° wave attacks. It can be seen that all the power spectra of the heave motions concentrate on the wave-frequency band. Thus, the heave motion is dominated by wave-frequency excitations. After comparing the power spectra among these three different wave attacks, we find that the power spectra of the heave motions decrease with the increase in the incident angles. Moreover, the power spectra of the heave motions for flexible cages are slightly larger than those for rigid cages. There are a few fluctuations in the power spectrum band under these three wave attacks, meaning that weak nonlinearity appears in the heave motions. The fluctuations appear at both low- and high-frequency bands. There are no such fluctuations when the frequency band is over 0.5 Hz. Therefore, both low- and high-frequency could cause the nonlinearity of the cage array, and low frequency has a predominant effect on the nonlinearity of the heave motion under these three wave attacks. This is because the power spectra at the low-frequency band are higher than those at the high-frequency band.
The frequency-domain analysis shows that the vertical motion (i.e., heave) and the horizontal motion (i.e., surge/sway) are dominated by the wave-frequency excitations. This is because the wave in the present study is a regular wave, and it only has a single frequency. However, nonlinearities exist in all three of these different responses. In particular, the power spectra of the sway motions show strong nonlinearity in the low- and high-frequency bands instead of the wave-frequency band. It was found that the low-frequency component has a predominant effect on the nonlinearity of the sway motion under 45 ° and 90 ° wave attacks.

4. Conclusions

An aquaculture cage array system normally contains the floating collars, the mooring, and the netting systems, which are all subjected to environmental loads. Therefore, the nonlinear dynamic response is a key consideration for the safety design of such a complicated system. In particular, the nonlinear dynamic response caused by wave-frequency and low-frequency excitations, coupled with the nonlinearity of the mooring lines and the netting, are still not completely understood. In this regard, this paper conducted a time-frequency analysis for the nonlinear dynamics of an aquaculture cage array in waves using a custom-developed implicit finite-element method and a frequency-domain approach. The objective of this paper is to provide insight into understanding the nonlinear dynamics of an aquaculture cage array via time-frequency analysis.
The time-domain analysis shows that the wave with the 0 ° incident angle could cause three times more surge than the 45 ° incident angle. The sway motion under the 90 ° wave attack is slightly higher than that under the 45 ° wave attack. Nevertheless, the heave motion decreases with the increase in the incident angle, and the cage array under the 0 ° wave attack has the largest heave amplitude. Regarding the nonlinearity of the motion, the cage array exhibits weak nonlinearity in the surge and heave motions. In contrast, there is evident nonlinearity in the sway motion under 45 ° and 90 ° wave attacks. Therefore, we would suggest that strong nonlinearity in the sway motion under 45 ° and 90 ° wave attacks should be avoided for the safety design of the aquaculture cage array. Moreover, the frequency-domain analysis indicates that the vertical motion (i.e., heave) and the horizontal motion (i.e., surge/sway) are dominated by the wave-frequency excitations. Aside from this, nonlinearities exist in all three of these different responses. Particularly, the power spectra of the sway motions show strong nonlinearity in the low-frequency bands instead of the wave-frequency bands. Therefore, the low-frequency component has a predominant effect on the nonlinearity of the sway motion under 45 ° and 90 ° wave attacks.
This paper provides insight into understanding the nonlinear dynamics of an aquaculture cage array via time-frequency analysis. It is clearly demonstrated how the extreme waves dramatically affect the nonlinear dynamics of the aquaculture cage array system under different incident angles. Nevertheless, future studies are suggested to focus on the coupled dynamics in random seas.

Author Contributions

Conceptualization, L.Z., Y.C. and Z.X.; methodology, Y.C. and Z.X.; software, J.W. and H.Z.; validation, L.Z., Y.C. and Z.X.; formal analysis, L.Z. and Z.X.; investigation, Y.C.; resources, L.Z.; data curation, J.W. and H.Z.; writing—original draft preparation, L.Z.; writing—review and editing, Y.C. and Z.X.; visualization, J.W. and H.Z.; supervision, Y.C. and Z.X.; project administration, L.Z.; funding acquisition, L.Z. All authors have read and agreed to the published version of the manuscript.

Funding

This work was financially supported by the Agricultural Science and Technology Key R&D Program of Taizhou with Grant No. NYJBGS202201.

Institutional Review Board Statement

Not applicable.

Informed Consent Statement

Informed consent was obtained from all subjects involved in the study.

Data Availability Statement

Not applicable.

Conflicts of Interest

The authors declare no conflict of interest.

References

  1. Golden, C.D.; Koehn, J.Z.; Shepon, A.; Passarelli, S.; Free, C.M.; Viana, D.F.; Matthey, H.; Eurich, J.G.; Gephart, J.A.; Fluet-Chouinard, E.; et al. Aquatic foods to nourish nations. Nature 2021, 598, 315–320. [Google Scholar] [CrossRef] [PubMed]
  2. Willett, W.; Rockström, J.; Loken, B.; Springmann, M.; Lang, T.; Vermeulen, S.; Garnett, T.; Tilman, D.; DeClerck, F.; Wood, A.; et al. Food in the Anthropocene: The EAT–Lancet Commission on healthy diets from sustainable food systems. Lancet 2019, 393, 447–492. [Google Scholar] [CrossRef] [PubMed]
  3. Xu, Z.; Qin, H. Fluid-structure interactions of cage based aquaculture: From structures to organisms. Ocean Eng. 2020, 217, 107961. [Google Scholar] [CrossRef]
  4. Guo, Y.C.; Mohapatra, S.C.; Soares, C.G. Review of developments in porous membranes and net-type structures for breakwaters and fish cages. Ocean Eng. 2020, 200, 107027. [Google Scholar] [CrossRef]
  5. Fredriksson, D.W.; DeCew, J.; Swift, M.R.; Tsukrov, I.; Chambers, M.D.; Celikkol, B. The design and analysis of a four-cage grid mooring for open ocean aquaculture. Aquac. Eng. 2004, 32, 77–94. [Google Scholar] [CrossRef]
  6. Tsukrov, I.I.; Ozbay, M.; Swift, M.R.; Celikkol, B.; Fredriksson, D.W.; Baldwin, K. Open ocean aquaculture engineering: Numerical modeling. Mar. Technol. Soc. J. 2000, 34, 29–40. [Google Scholar] [CrossRef]
  7. Tsukrov, I.; Eroshkin, O.; Fredriksson, D.; Swift, M.R.; Celikkol, B. Finite element modeling of net panels using a consistent net element. Ocean Eng. 2003, 30, 251–270. [Google Scholar] [CrossRef]
  8. Fredriksson, D.W.; DeCew, J.C.; Tsukrov, I. Development of structural modeling techniques for evaluating HDPE plastic net pens used in marine aquaculture. Ocean Eng. 2007, 34, 2124–2137. [Google Scholar] [CrossRef]
  9. Fredriksson, D.W.; DeCew, J.C.; Tsukrov, I.; Swift, M.R.; Irish, J.D. Development of large fish farm numerical modeling techniques with in situ mooring tension comparisons. Aquac. Eng. 2007, 36, 137–148. [Google Scholar] [CrossRef]
  10. Huang, C.C.; Pan, J.Y. Mooring line fatigue: A risk analysis for an SPM cage system. Aquac. Eng. 2010, 42, 8–16. [Google Scholar] [CrossRef]
  11. Xu, T.J.; Dong, G.H.; Zhao, Y.P.; Li, Y.C.; Gui, F.K. Numerical investigation of the hydrodynamic behaviors of multiple net cages in waves. Aquac. Eng. 2012, 48, 6–18. [Google Scholar] [CrossRef]
  12. Xu, T.J.; Zhao, Y.P.; Dong, G.H.; Li, Y.C.; Gui, F.K. Analysis of hydrodynamic behaviors of multiple net cages in combined wave–current flow. J. Fluids Struct. 2013, 39, 222–236. [Google Scholar] [CrossRef]
  13. Bi, C.W.; Zhao, Y.P.; Dong, G.H.; Cui, Y.; Gui, F.K. Experimental and numerical investigation on the damping effect of net cages in waves. J. Fluids Struct. 2015, 55, 122–138. [Google Scholar] [CrossRef]
  14. Winthereig-Rasmussen, H.; Simonsen, K.; Patursson, Ø. Flow through fish farming sea cages: Comparing computational fluid dynamics simulations with scaled and full-scale experimental data. Ocean Eng. 2016, 124, 21–31. [Google Scholar] [CrossRef]
  15. Bi, C.W.; Zhao, Y.P.; Dong, G.H.; Xu, T.J.; Gui, F.K. Numerical study on wave attenuation inside and around a square array of biofouled net cages. Aquac. Eng. 2017, 78, 180–189. [Google Scholar] [CrossRef]
  16. Martin, T.; Tsarau, A.; Bihs, H. A numerical framework for modelling the dynamics of open ocean aquaculture structures in viscous fluids. Appl. Ocean Res. 2021, 106, 102410. [Google Scholar] [CrossRef]
  17. Martin, T.; Bihs, H. A non-linear implicit approach for modelling the dynamics of porous tensile structures interacting with fluids. J. Fluids Struct. 2021, 100, 103168. [Google Scholar] [CrossRef]
  18. Selvan, S.A.; Gayathri, R.; Behera, H.; Meylan, M.H. Surface wave scattering by multiple flexible fishing cage system. Phys. Fluids 2021, 33, 037119. [Google Scholar] [CrossRef]
  19. Ma, M.; Zhang, H.; Jeng, D.S.; Wang, C.M. Hydroelastic interactions between waves and an array of submersible flexible fish cages. Ocean Eng. 2022, 266, 113035. [Google Scholar] [CrossRef]
  20. Ma, C.; Bi, C.W.; Xu, Z.; Zhao, Y.P. Dynamic behaviors of a hinged multi-body floating aquaculture platform under regular waves. Ocean Eng. 2022, 243, 110278. [Google Scholar] [CrossRef]
  21. Ma, C.; Zhao, Y.P.; Xu, Z.; Bi, C.W. Experimental investigation on the wave performance with the interference of floating aquaculture cages in single and tandem arrangements. Ocean Eng. 2022, 262, 112255. [Google Scholar] [CrossRef]
  22. Shen, H.; Zhao, Y.P.; Bi, C.W.; Xu, Z. Nonlinear dynamics of an aquaculture cage array induced by wave-structure interactions. Ocean Eng. 2023, 269, 113711. [Google Scholar] [CrossRef]
  23. Li, P.; Faltinsen, O.M.; Lugni, C. Nonlinear vertical accelerations of a floating torus in regular waves. J. Fluids Struct. 2016, 66, 589–608. [Google Scholar] [CrossRef]
  24. Li, Y.-C.; Zhao, Y.-P.; Gui, F.-K.; Teng, B. Numerical simulation of the hydrodynamic behaviour of submerged plane nets in current. Ocean Eng. 2006, 33, 2352–2368. [Google Scholar] [CrossRef]
  25. Zhao, Y.P.; Bai, X.D.; Dong, G.H.; Bi, C.W.; Gui, F.K. Numerical analysis of the elastic response of a floating collar in waves. Ocean Eng. 2015, 95, 175–182. [Google Scholar] [CrossRef]
  26. Lee, C.-W.; Kim, Y.-B.; Lee, G.-H.; Choe, M.-Y.; Lee, M.-K.; Koo, K.-Y. Dynamic simulation of a fish cage system subjected to currents and waves. Ocean Eng. 2008, 35, 1521–1532. [Google Scholar] [CrossRef]
  27. Moe-Føre, H.; Lader, P.; Lien, E.; Hopperstad, O. Structural response of high solidity net cage models in uniform flow. J. Fluids Struct. 2016, 65, 180–195. [Google Scholar] [CrossRef]
  28. Zhao, K.; Liu, P.L.-F. On Stokes wave solutions. Proc. R. Soc. A 2022, 478, 20210732. [Google Scholar] [CrossRef]
  29. Tsukrov, I.; Eroshkin, O.; Paul, W.; Celikkol, B. Numerical modeling of nonlinear elastic components of mooring systems. IEEE J. Ocean. Eng. 2005, 30, 37–46. [Google Scholar] [CrossRef]
  30. Qin, H.; Xu, Z.; Li, P.; Yu, S. A physical model approach to nonlinear vertical accelerations and mooring loads of an offshore aquaculture cage induced by wave-structure interactions. Ocean Eng. 2020, 197, 106904. [Google Scholar] [CrossRef]
  31. Ma, C.; Xie, S.; Bi, C.W.; Zhao, Y.P. Nonlinear dynamic analysis of aquaculture platforms in irregular waves based on Hilbert–Huang transform. J. Fluids Struct. 2023, 117, 103831. [Google Scholar] [CrossRef]
Figure 1. The fish farm in the open ocean under waves.
Figure 1. The fish farm in the open ocean under waves.
Jmse 11 01818 g001
Figure 2. The numbering of the mooring lines and markers on the floating collars.
Figure 2. The numbering of the mooring lines and markers on the floating collars.
Jmse 11 01818 g002
Figure 3. Schematic of a mini-segment in the floating collar based on the curved-beam theory.
Figure 3. Schematic of a mini-segment in the floating collar based on the curved-beam theory.
Jmse 11 01818 g003
Figure 4. The modeling of the net cage and the mooring system.
Figure 4. The modeling of the net cage and the mooring system.
Jmse 11 01818 g004
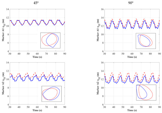
Figure 5. Time histories of the surge. Left column: 0° wave attack; right column: 45° wave attack. The solid blue and dashed red curves represent the rigid and flexible cages. The insets of each panel are the trajectories of the markers in the xz plane.
Figure 5. Time histories of the surge. Left column: 0° wave attack; right column: 45° wave attack. The solid blue and dashed red curves represent the rigid and flexible cages. The insets of each panel are the trajectories of the markers in the xz plane.
Jmse 11 01818 g005
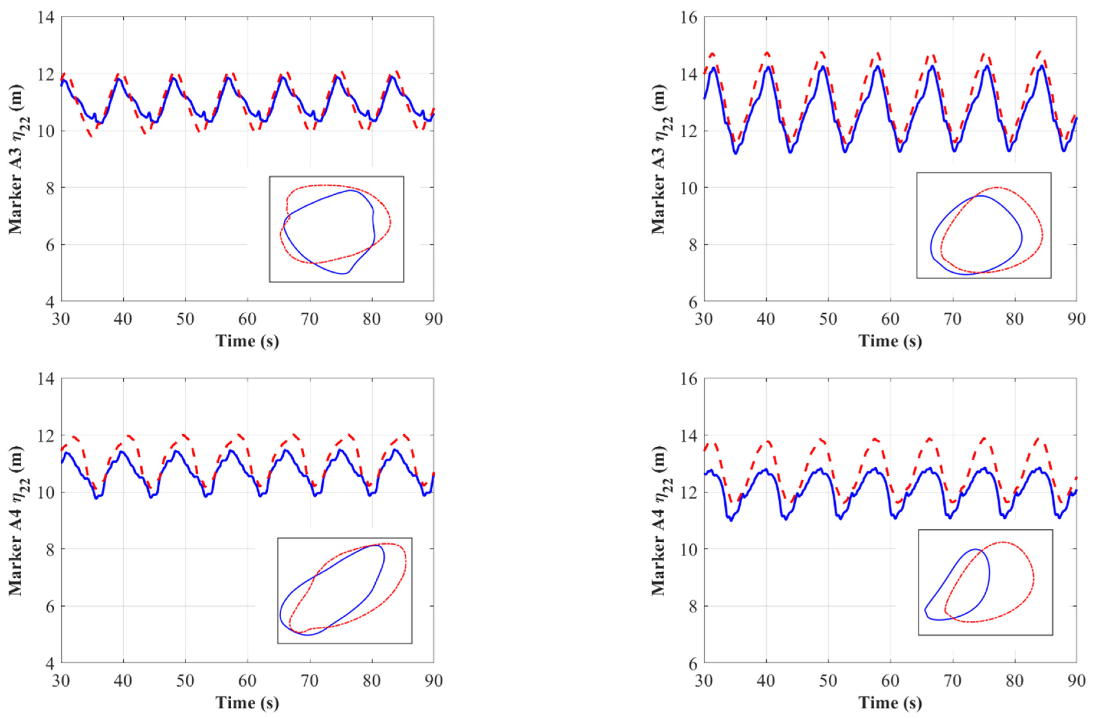
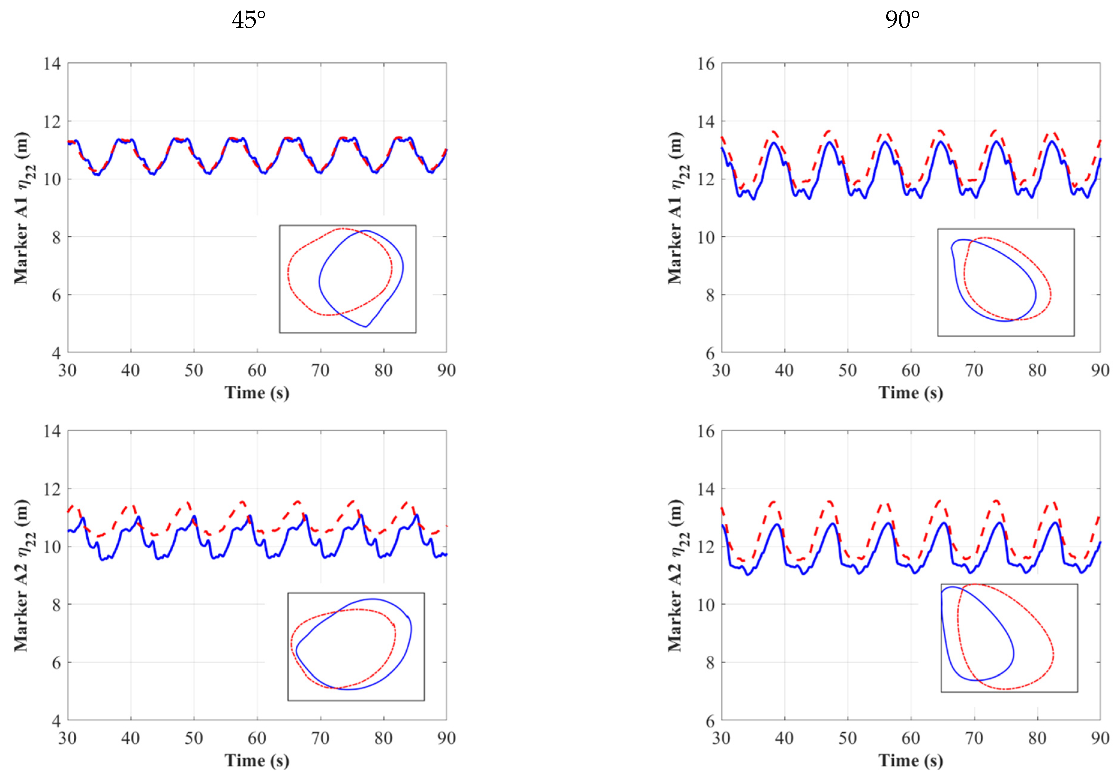
Figure 6. Time histories of the sway. Left column: 45° wave attack; right column: 90° wave attack. The solid blue and dashed red curves represent the rigid and flexible cages. The insets of each panel are the trajectories of the markers in the xz plane.
Figure 6. Time histories of the sway. Left column: 45° wave attack; right column: 90° wave attack. The solid blue and dashed red curves represent the rigid and flexible cages. The insets of each panel are the trajectories of the markers in the xz plane.
Jmse 11 01818 g006aJmse 11 01818 g006b
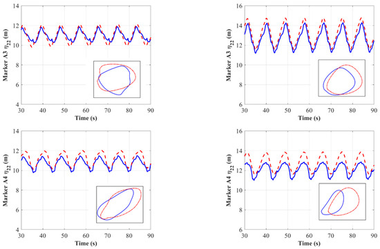
Figure 7. Time histories of the heave. Left column: 0° wave attack; middle column: 45° wave attack; right column: 90° wave attack. The solid blue and dashed red curves represent the rigid and flexible cages. The insets of each panel are the trajectories of the markers in the xz plane.
Figure 7. Time histories of the heave. Left column: 0° wave attack; middle column: 45° wave attack; right column: 90° wave attack. The solid blue and dashed red curves represent the rigid and flexible cages. The insets of each panel are the trajectories of the markers in the xz plane.
Jmse 11 01818 g007
Figure 8. Power spectra of the surge. Left column: 0° wave attack; right column: 45° wave attack.
Figure 8. Power spectra of the surge. Left column: 0° wave attack; right column: 45° wave attack.
Jmse 11 01818 g008aJmse 11 01818 g008b
Figure 9. Power spectra of the sway. Left column: 45° wave attack; right column: 90° wave attack.
Figure 9. Power spectra of the sway. Left column: 45° wave attack; right column: 90° wave attack.
Jmse 11 01818 g009
Figure 10. Power spectra of the heave. Left column: 0° wave attack; middle column: 45° wave attack; right column: 90 ° wave attack.
Figure 10. Power spectra of the heave. Left column: 0° wave attack; middle column: 45° wave attack; right column: 90 ° wave attack.
Jmse 11 01818 g010
Table 1. Specific parameters of an individual net cage.
Table 1. Specific parameters of an individual net cage.
ComponentParameterValue
Effective density970 kg/m3
Floating CollarModulus of elasticity 8.96   ×   10 8   Pa / 8.96   ×   10 7 Pa
Diameter25 m
Cross section0.3 m
Effective density1168 kg/m3
NetModulus of elasticity 8.2   ×   10 7 Pa
Diameter of net twines 0.002 m
Bar length of net twines0.030 m
Net solidity ratio0.133
Total length30 m
RopeEffective density1375 kg/m3
Modulus of elasticity 1.0   ×   10 9 Pa
Cross section0.043 m
BuoyEffective density486.89 kg/m3
Diameter1.65 m
Disclaimer/Publisher’s Note: The statements, opinions and data contained in all publications are solely those of the individual author(s) and contributor(s) and not of MDPI and/or the editor(s). MDPI and/or the editor(s) disclaim responsibility for any injury to people or property resulting from any ideas, methods, instructions or products referred to in the content.

Share and Cite

MDPI and ACS Style

Zhu, L.; Cheng, Y.; Wang, J.; Zhu, H.; Xu, Z. Time–Frequency Analysis of Nonlinear Dynamics of an Aquaculture Cage Array in Waves. J. Mar. Sci. Eng. 2023, 11, 1818. https://doi.org/10.3390/jmse11091818

AMA Style

Zhu L, Cheng Y, Wang J, Zhu H, Xu Z. Time–Frequency Analysis of Nonlinear Dynamics of an Aquaculture Cage Array in Waves. Journal of Marine Science and Engineering. 2023; 11(9):1818. https://doi.org/10.3390/jmse11091818

Chicago/Turabian Style

Zhu, Liu, Yuan Cheng, Jinfang Wang, Hongyu Zhu, and Zhijing Xu. 2023. "Time–Frequency Analysis of Nonlinear Dynamics of an Aquaculture Cage Array in Waves" Journal of Marine Science and Engineering 11, no. 9: 1818. https://doi.org/10.3390/jmse11091818

APA Style

Zhu, L., Cheng, Y., Wang, J., Zhu, H., & Xu, Z. (2023). Time–Frequency Analysis of Nonlinear Dynamics of an Aquaculture Cage Array in Waves. Journal of Marine Science and Engineering, 11(9), 1818. https://doi.org/10.3390/jmse11091818

Note that from the first issue of 2016, this journal uses article numbers instead of page numbers. See further details here.

Article Metrics

Back to TopTop