Proportioning Test on the Similar Materials of the Rock Mass Physical Model Test Considering Seepage and Dynamic Characteristics
Abstract
:1. Introduction
2. Similarity Theory and Similarity Relation
3. Similar Material Ratio and Test Method
3.1. Selection of Similar Materials
3.2. The Ratio of Similar Materials
3.3. Preparation of Similar Materials and Testing of Physical and Mechanical Parameters
3.3.1. Preparation of Similar Materials
3.3.2. Physical and Mechanical Parameter Testing of Similar Materials
- (1)
- Density measurement. Vernier calipers were used to measure the diameter of the specimen at the top, bottom ends, and middle 3 positions and the average value was taken. This value is the cross-sectional area of the specimen. The height of the specimen was measured and averaged. The specimen was weighed and measured and the mass was recorded. The corresponding result is obtained according to the density calculation formula. Each group of 12 samples was measured, the density was calculated, and finally, the average value was obtained;
- (2)
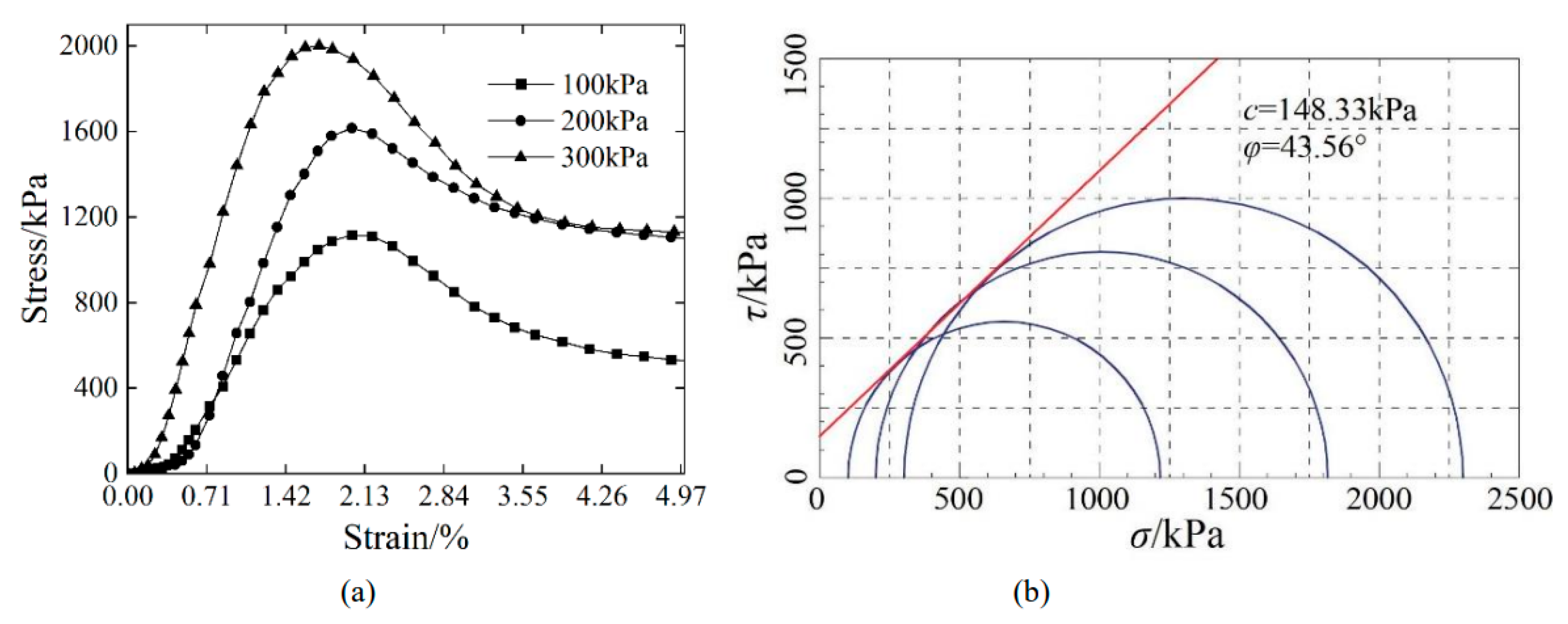
- Uniaxial compressive strength measurement. The test specimen was placed on the TSZ triaxial apparatus and the position of the test piece was adjusted so that it was in the center of the base. Start the bearing table so that the specimen and the pressure sensor on the top of the triaxial meter are in contact with each other. The loading rate was controlled at 0.01 mm/s and the load was applied until the specimen was damaged. The relevant stress and strain data were recorded during the test (Figure 4a);
- (3)
- Triaxial test. The equipment used in the test is still a TSZ triaxial instrument. The preset confining pressures are 100, 200, and 300 kPa, respectively. After the specimen is installed, the cap is raised to make contact with the top sensor. The triaxial test controlled the loading rate of 0.002 mm/s. After the specimen was damaged, the test was stopped and the relevant stress–strain data were analyzed. The cohesion and internal friction angles in Table 3 were calculated according to the envelope of the triaxial test (Figure 4a);
- (4)
- Falling head permeameter. Considering that the permeability coefficient of different samples may be very different, a falling head permeameter was used to test and measure the permeability. The specimen was placed inside the sleeve. The valve of the water supply pipe was opened and recorded the head height at this time. When the water level of the water supply pipe dropped by more than 20 mm, the valve was closed and the height and corresponding time of the water head at this time were record. The permeability coefficient of the corresponding sample is calculated according to Darcy’s law (Figure 4b);
- (5)
- Softening coefficient test. The specimen was placed into the sink and water was added to the 1/2 height of the specimen. After 24 h, water continued to be added until the specimen was soaked in water and then it was soaked again for 24 h. The specimen was removed and the strength of the specimen was measured by the uniaxial test method. The ratio between the strength of the specimen after soaking and the strength in the natural state is the softening coefficient (Figure 4d). Physical and mechanical parameters such as the density compressive strength, elastic modulus, cohesion, internal friction angle, softening coefficient, and permeability coefficient of similar materials under multi-field coupling were obtained. The test results are shown in Table 3.
4. Sensitivity Analysis of Physical and Mechanical Parameters of Similar Materials
4.1. Sensitivity Analysis of Density-Influencing Factors
4.2. Sensitivity Analysis of Influencing Factors of Compressive Strength
4.3. Sensitivity Analysis of Influencing Factors of the Elastic Modulus
4.4. Sensitivity Analysis of Influencing Factors of Cohesion
4.5. Sensitivity Analysis of Influencing Factors of the Internal Friction Angle
4.6. Sensitivity Analysis of Influencing Factors of the Softening Coefficient
4.7. Sensitivity Analysis of Influencing Factors of the Permeability Coefficient
4.8. Sensitivity Analysis of Influencing Factors of Dynamic Elastic Modulus
4.9. Sensitivity Analysis of Factors Influencing the Dynamic Poisson’s Ratio
4.10. Statistical Regression Analysis of Physical and Mechanical Parameters
5. Damage Pattern Analysis of Similar Materials
6. Discussions
7. Conclusions
- (1)
- The similarity relationship of similar materials in a rock mass under seepage and dynamic coupling is derived based on the dimensionless criterion and Buckingham π theorem with density, geometry, and acceleration as control variables;
- (2)
- A similar material ratio scheme with quartz sand and barite powder as aggregates, cement and water glass powder as cementing materials, and rosin and glycerin as modulators was established. It can satisfy both physical and mechanical properties as well as hydraulic properties and has a wide range of parameters, which can meet the ratio requirements of various geotechnical model tests;
- (3)
- The sensitivity of the physical properties of similar materials to each parameter is analyzed. The empirical formula of the physical property parameters of similar materials is established based on multiple linear regression analysis.
Author Contributions
Funding
Institutional Review Board Statement
Informed Consent Statement
Data Availability Statement
Acknowledgments
Conflicts of Interest
References
- Li, S.-C.; Liu, H.-L.; Li, L.-P.; Zhang, Q.-Q.; Wang, K.; Wang, K. Large scale three-dimensional seepage analysis model test and numerical simulation research on undersea tunnel. Appl. Ocean Res. 2016, 59, 510–520. [Google Scholar] [CrossRef]
- Zhang, D.; Sun, Z.; Fang, Q. Scientific problems and research proposals for Sichuan–Tibet railway tunnel construction. Undergr. Space 2021, 7, 419–439. [Google Scholar] [CrossRef]
- Zhang, D.; Wang, J.; Qi, L.; Zhang, Y.; Ma, J.; Lu, G. Initiation and movement of a rock avalanche in the Tibetan Plateau, China: Insights from field observations and numerical simulations. Landslides 2022, 19, 2569–2591. [Google Scholar] [CrossRef]
- Callisto, L.; Ricci, C. Interpretation and back-analysis of the damage observed in a deep tunnel after the 2016 Norcia earthquake in Italy. Tunn. Undergr. Space Technol. 2019, 89, 238–248. [Google Scholar] [CrossRef]
- Häusler, M.; Gischig, V.; Thöny, R.; Glueer, F.; Donat, F. Monitoring the changing seismic site response of a fast-moving rockslide (Brienz/Brinzauls, Switzerland). Geophys. J. Int. 2022, 229, 299–310. [Google Scholar] [CrossRef]
- Shen, X.; Yuan, D.; Cao, Y.; Gao, Z. Experiments on material proportions for simulating sandy layer in deep sea. J. Southwest Jiaotong Univ. 2020, 55, 628–634. [Google Scholar] [CrossRef]
- Shan, Z.; Xie, Z.; Dong, R.; Jing, L. An analytical solution for the dynamic response of a seawater-sloping seabed-bedrock system under an oblique incident P wave. Int. J. Numer. Anal. Methods Géoméch. 2023, 47, 2136–2152. [Google Scholar] [CrossRef]
- Li, Z.; Chen, T.; Liu, H.; Ji, C.; Zhu, C.; Hu, C.; Jia, Y. Earthquake response and post-earthquake stability assessment of submarine clay slopes. Appl. Ocean Res. 2022, 127, 18. [Google Scholar] [CrossRef]
- Song, D.; Liu, X.; Li, B.; Zhang, J.; Bastos, J.J.V. Assessing the influence of a rapid water drawdown on the seismic response characteristics of a reservoir rock slope using time–frequency analysis. Acta Geotech. 2021, 16, 1281–1302. [Google Scholar] [CrossRef]
- Menéndez, J.; Schmidt, F.; Konietzky, H.; Fernández-Oro, J.M.; Galdo, M.; Loredo, J.; Díaz-Aguado, M.B. Stability analysis of the underground infrastructure for pumped storage hydropower plants in closed coal mines. Tunn. Undergr. Space Technol. 2019, 94, 103117. [Google Scholar] [CrossRef]
- Zhang, C.; Wang, F.; Bai, Q. Underground space utilization of coalmines in China: A review of underground water reservoir construction. Tunn. Undergr. Space Technol. 2020, 107, 103657. [Google Scholar] [CrossRef]
- Abd, S.M.; Mhaimeed, I.S.; Tayeh, B.A.; Najm, H.M.; Qaidi, S. Investigation of the use of textile carbon yarns as sustainable shear reinforcement in concrete beams. Case Stud. Constr. Mater. 2023, 18, e01765. [Google Scholar] [CrossRef]
- Tayeh, B.A.; Akeed, M.H.; Qaidi, S.; Abu Bakar, B. Ultra-high-performance concrete: Impacts of steel fibre shape and content on flowability, compressive strength and modulus of rupture. Case Stud. Constr. Mater. 2022, 17, e01615. [Google Scholar] [CrossRef]
- Kongar-Syuryun, C.; Tyulyaeva, Y.; Khairutdinov, A.M.; Kowalik, T. Industrial waste in concrete mixtures for construction of un-derground structures and minerals extraction. In IOP Conference Series: Materials Science and Engineering; IOP Publishing: Bristol, UK, 2020; p. 032004. [Google Scholar]
- Kongar-Syuryun, C.; Ubysz, A.; Faradzhov, V. Models and algorithms of choice of development technology of deposits when selecting the composition of the backfilling mixture. In IOP Conference Series: Earth and Environmental Science; IOP Publishing: Bristol, UK, 2021; p. 012008. [Google Scholar]
- Kongar-Syuryun, C.; Faradzhov, V.; Tyulyaeva, Y.; Khayrutdinov, A. Effect of activating treatment of halite flotation waste in backfill mixture preparation. Min. Inform. Anal. Bull. 2021, 1, 43–57. [Google Scholar] [CrossRef]
- Khayrutdinov, M.; Kongar-Syuryun, C.; Khayrutdinov, A.; Tyulyaeva, Y. Improving Safety when Extracting Water-soluble Ores by Optimizing the Parameters of the Backfill Mass. Occup. Saf. Ind. 2021, 2021, 53–59. [Google Scholar] [CrossRef]
- Cao, L.; Zhang, J.; Wang, Z.; Liu, F.; Liu, Y.; Zhou, Y. Dynamic response and dynamic failure mode of the slope subjected to earthquake and rainfall. Landslides 2019, 16, 1467–1482. [Google Scholar] [CrossRef]
- Zhang, Z.; Zhang, Q.; Xiang, W.; Yin, X.; Xue, T.; Lin, H.; Cheng, L.; Guo, X. Development and application of new-style hydro-mechanical coupling similar materials in complex environment. J. Cent. South Univ. Sci. Technol. 2021, 52, 4168–4180. [Google Scholar] [CrossRef]
- Ads, A.; Iskander, M.; Bless, S.; Omidvar, M. Visualizing the effect of Fin length on torpedo anchor penetration and pullout using a transparent soil. Ocean Eng. 2020, 216, 108021. [Google Scholar] [CrossRef]
- Tatone, B.S.; Abdelaziz, A.; Grasselli, G. Example framework for evaluation of synthetic rock-like materials as applied to a commercial gypsum cement. Int. J. Rock Mech. Min. Sci. 2023, 169, 105445. [Google Scholar] [CrossRef]
- Li, S.C.; Feng, X.D.; Li, S.C.; Li, L.P.; Li, G.Y. Research and development of a new similar material for solid-fluid coupling and its application. Chin. J. Rock Mech. Eng. 2010, 29, 281–288. [Google Scholar]
- Bai, J.; Wang, M.; Zhang, Q.S.; Zhu, Z.; Liu, R.; Li, W. Development and application of a new similar material for underground engineering fluid-solid coupling model test. Chin. J. Rock Mech. Eng. 2012, 31, 1128–1137. [Google Scholar]
- Xu, Z.; Luo, Y.; Chen, J.; Su, Z.; Zhu, T.; Yuan, J. Mechanical properties and reasonable proportioning of similar materials in physical model test of tunnel lining cracking. Constr. Build. Mater. 2021, 300, 123960. [Google Scholar] [CrossRef]
- Wang, H.; Zhao, M.; Zhong, Z.; Zhang, X.; Zhao, L.; Du, X. Similar materials for quasi-static scaled tests of fault-crossing tunnels. Eng. Mech. 2022, 39, 21–30. [Google Scholar] [CrossRef]
- Shi, X.; Liu, B.; Qi, Y. Applicability of similar materials bonded by cement and plaster in solid-liquid coupling tests. Rock Soil Mech. 2015, 36, 2624–2630. [Google Scholar] [CrossRef]
- Yang, X.; Su, D.; Zhou, B.; Zhen, L.; Zhou, C. Experiment study on similarity ratio of similar material for model test on red-bed soft rock. Rock Soil Mech. 2016, 37, 2231–2237. [Google Scholar] [CrossRef]
- Tian, Q.; Zhang, J.; Zhang, Y. Similar simulation experiment of expressway tunnel in karst area. Constr. Build. Mater. 2018, 176, 1–13. [Google Scholar] [CrossRef]
- Li, G.; Ma, F.S.; Guo, J.; Zhao, H.J. Experimental study on similar materials ratio used in large-scale engineering model test. J. Northeast. Univ. 2020, 41, 1653–1660. [Google Scholar] [CrossRef]
- Tian, J.; Wang, L.; An, C.; Wu, Q.; Sun, Z.; Ke, R. Development of a Model Material for Dynamic Geotechnical Model Tests. Appl. Sci. 2022, 12, 5344. [Google Scholar] [CrossRef]
- Yang, H.; Cui, S.; Pei, X.; Fan, X.; Lei, J. Multiple earthquake-induced progressive failure of bedding slopes with a saturated weak layer: Shaking table model tests. Soil Dyn. Earthq. Eng. 2023, 170, 107906. [Google Scholar] [CrossRef]
- Fan, G.; Zhang, L.-M.; Zhang, J.-J.; Yang, C.-W. Time-frequency analysis of instantaneous seismic safety of bedding rock slopes. Soil Dyn. Earthq. Eng. 2017, 94, 92–101. [Google Scholar] [CrossRef]
- Yue, Z.; Ye, Y.; Wang, Q.; Yao, N.; Shi, Y. A model for calculation of compressive strength of rock-like materials based on dimensional analysis. Rock Soil Mech. 2018, 39, 216–221. [Google Scholar] [CrossRef]
- Zhou, Y.; Li, S.; Li, L.; Zhang, Q.; Shi, S.; Song, S.; Wang, K.; Chen, D.; Sun, S. New technology for fluid-solid coupling tests of underground engineering and its application in experimental simulation of water inrush in filled-type karst conduit. Chin. J. Geotech. Eng. 2015, 37, 1232–1240. [Google Scholar] [CrossRef]
- Fang, K.; Ma, C. Orthogonal and Uniform Experimental Design; Science Press: Beijing, China, 2001; p. 248. [Google Scholar]
- Standard for Test Methods of Engineering Rock Mass. Ministry of Housing and Urban-Rural Development of the People’s Republic of China; General Administration of Quality Supervision, Inspection and Quarantine of the People’s Republic of China: Beijing, China, 2013; p. 132. [Google Scholar]
- Standard for Geotechnical Test Methods. Ministry of Housing and Urban-Rural Development of the People’s Republic of China; State Administration for Market Regulation: Beijing, China, 2019; p. 717. [Google Scholar]
- Shen, W.; Liu, S.; Xu, W.; Shao, J. An elastoplastic damage constitutive model for rock-like materials with a fractional plastic flow rule. Int. J. Rock Mech. Min. Sci. 2022, 156, 105140. [Google Scholar] [CrossRef]
















| Physical Parameter | Dimension | Similarity Relation | 
|---|---|---|
| Density ρ | ML−3 | Basic control variable, Cρ = 1 | 
| Geometric dimension L | L | Basic control variable, CL | 
| Acceleration a | LT−2 | Basic control variable, Ca | 
| Elastic modulus E | ML−1T−2 | |
| Poisson’s ratio μ | / | 1 | 
| Cohesion c | ML−1T−2 | |
| Internal friction Angle φ | / | 1 | 
| Stress σ | ML−1T−2 | |
| Strain ε | / | 1 | 
| Time t | T | |
| Frequency ω | T−1 | |
| Displacement x | L | |
| Velocity v | LT−1 | |
| Gravitational acceleration g | LT−2 | |
| Damping ratio λ | / | 1 | 
| Dynamic elastic modulus Ed | ML−1T−2 | |
| Dynamic Poisson’s ratio μd | / | 1 | 
| External force F | MLT−2 | |
| Permeability coefficient k | LT−1 | |
| Softening coefficient η | / | 1 | 
| Test Number | Factor | Test Scheme | |||||
|---|---|---|---|---|---|---|---|
| A | B | C | D | E | F | ||
| 1 | 1 | 1 | 5 | 3 | 4 | 2 | A1B1C5D3E4F2 | 
| 2 | 1 | 2 | 4 | 1 | 5 | 4 | A1B2C4D1E5F4 | 
| 3 | 1 | 3 | 2 | 5 | 1 | 3 | A1B3C2D5E1F3 | 
| 4 | 1 | 4 | 1 | 2 | 3 | 1 | A1B4C1D2E3F1 | 
| 5 | 1 | 5 | 3 | 4 | 2 | 5 | A1B5C3D4E2F5 | 
| 6 | 2 | 1 | 3 | 2 | 1 | 4 | A2B1C3D2E1F4 | 
| 7 | 2 | 2 | 5 | 5 | 2 | 1 | A2B2C5D5E2F1 | 
| 8 | 2 | 3 | 1 | 3 | 5 | 5 | A2B3C1D3E5F5 | 
| 9 | 2 | 4 | 4 | 4 | 4 | 3 | A2B4C4D4E4F3 | 
| 10 | 2 | 5 | 2 | 1 | 3 | 2 | A2B5C2D1E3F2 | 
| 11 | 3 | 1 | 2 | 4 | 5 | 1 | A3B1C2D4E5F1 | 
| 12 | 3 | 2 | 3 | 3 | 3 | 3 | A3B2C3D3E3F3 | 
| 13 | 3 | 3 | 4 | 2 | 2 | 2 | A3B3C4D2E2F2 | 
| 14 | 3 | 4 | 5 | 1 | 1 | 5 | A3B4C5D1E1F5 | 
| 15 | 3 | 5 | 1 | 5 | 4 | 4 | A3B5C1D5E4F4 | 
| 16 | 4 | 1 | 1 | 1 | 2 | 3 | A4B1C1D1E2F3 | 
| 17 | 4 | 2 | 2 | 2 | 4 | 5 | A4B2C2D2E4F5 | 
| 18 | 4 | 3 | 5 | 4 | 3 | 4 | A4B3C5D4E3F4 | 
| 19 | 4 | 4 | 3 | 5 | 5 | 2 | A4B4C3D5E5F2 | 
| 20 | 4 | 5 | 4 | 3 | 1 | 1 | A4B5C4D3E1F1 | 
| 21 | 5 | 1 | 4 | 5 | 3 | 5 | A5B1C4D5E3F5 | 
| 22 | 5 | 2 | 1 | 4 | 1 | 2 | A5B2C1D4E1F2 | 
| 23 | 5 | 3 | 3 | 1 | 4 | 1 | A5B3C3D1E4F1 | 
| 24 | 5 | 4 | 2 | 3 | 2 | 4 | A5B4C2D3E2F4 | 
| 25 | 5 | 5 | 5 | 2 | 5 | 3 | A5B5C5D2E5F3 | 
| Test Number | Density/g·cm−3 | Compressive Strength/kPa | Elastic Modulus/MPa | Cohesion/kPa | Internal Friction Angle/° | Softening Coefficient/% | Permeability Coefficient/m/s | Dynamic Elastic Modulus/GPa | Dynamic Poisson’s Ratio | 
|---|---|---|---|---|---|---|---|---|---|
| 1 | 1.624 | 521.83 | 42.419 | 115.43 | 23.27 | 75.66 | 1.59 × 10−6 | 7.18 | 0.215 | 
| 2 | 1.597 | 656.77 | 24.734 | 214.12 | 21.57 | 92.62 | 1.95 × 10−7 | 7.96 | 0.248 | 
| 3 | 2.050 | 460.90 | 20.008 | 108.49 | 42.59 | 83.23 | 7.70 × 10−7 | 7.49 | 0.241 | 
| 4 | 2.149 | 951.10 | 55.044 | 213.05 | 39.62 | 97.86 | 1.20 × 10−6 | 9.12 | 0.199 | 
| 5 | 2.053 | 696.00 | 39.535 | 148.33 | 43.56 | 98.12 | 4.63 × 10−7 | 4.24 | 0.203 | 
| 6 | 1.948 | 202.33 | 9.360 | 40.26 | 38.51 | 67.12 | 2.37 × 10−6 | 5.66 | 0.228 | 
| 7 | 1.849 | 1007.15 | 52.875 | 148.52 | 49.55 | 82.44 | 2.77 × 10−6 | 3.57 | 0.214 | 
| 8 | 2.033 | 202.18 | 5.014 | 63.69 | 9.21 | 24.04 | 3.42 × 10−6 | 3.40 | 0.259 | 
| 9 | 1.816 | 624.83 | 39.825 | 135.8 | 24.75 | 21.99 | 1.01 × 10−8 | 8.20 | 0.202 | 
| 10 | 2.087 | 1571.50 | 100.652 | 162.47 | 46.35 | 59.47 | 3.37 × 10−6 | 5.73 | 0.201 | 
| 11 | 1.720 | 213.10 | 4.630 | 55.84 | 20.86 | 22.55 | 1.07 × 10−9 | 5.84 | 0.229 | 
| 12 | 1.839 | 842.73 | 50.731 | 37.55 | 36.01 | 37.51 | 4.28 × 10−6 | 7.19 | 0.263 | 
| 13 | 2.123 | 804.00 | 57.626 | 121.17 | 48.53 | 71.67 | 8.34 × 10−9 | 5.84 | 0.211 | 
| 14 | 2.261 | 980.13 | 54.597 | 284.01 | 36.77 | 90.94 | 1.26 × 10−6 | 7.85 | 0.205 | 
| 15 | 2.245 | 602.20 | 23.910 | 251.46 | 15.26 | 59.02 | 2.12 × 10−6 | 6.42 | 0.242 | 
| 16 | 2.158 | 121.80 | 7.063 | 113.33 | 35.98 | 89.75 | 7.19 × 10−7 | 2.56 | 0.230 | 
| 17 | 2.150 | 650.30 | 25.676 | 199.83 | 29.62 | 96.04 | 4.03 × 10-7 | 7.75 | 0.242 | 
| 18 | 1.883 | 1771.50 | 73.260 | 201.89 | 47.84 | 93.71 | 3.62 × 10−7 | 5.86 | 0.271 | 
| 19 | 1.844 | 528.33 | 19.768 | 162.85 | 21.16 | 38.01 | 2.18 × 10−6 | 7.56 | 0261 | 
| 20 | 2.195 | 731.83 | 48.912 | 99.57 | 46.59 | 94.58 | 1.77 × 10−6 | 5.79 | 0.195 | 
| 21 | 1.794 | 316.60 | 13.138 | 20.95 | 34.73 | 83.67 | 3.01 × 10−8 | 5.58 | 0.247 | 
| 22 | 2.064 | 182.04 | 10.631 | 93.89 | 33.88 | 98.75 | 3.86 × 10−7 | 4.75 | 0.238 | 
| 23 | 1.931 | 1244.40 | 66.527 | 358.85 | 37.71 | 82.72 | 2.60 × 10−6 | 9.36 | 0.263 | 
| 24 | 1.987 | 793.33 | 40.592 | 288.07 | 29.51 | 86.44 | 4.97 × 10−9 | 3.84 | 0.214 | 
| 25 | 1.904 | 922.84 | 60.660 | 346.83 | 23.75 | 61.56 | 1.77 × 10−6 | 8.97 | 0.229 | 
| Horizontal Groups | Density Test Result/g·cm−3 | |||||
|---|---|---|---|---|---|---|
| A | B | C | D | E | F | |
| 1 | 1.895 | 1.849 | 2.130 | 2.007 | 2.104 | 1.969 | 
| 2 | 1.947 | 1.900 | 1.999 | 2.055 | 2.034 | 1.948 | 
| 3 | 2.038 | 2.004 | 1.923 | 1.936 | 1.951 | 1.953 | 
| 4 | 2.046 | 2.011 | 1.546 | 1.907 | 1.953 | 1.932 | 
| 5 | 1.936 | 2.097 | 1.904 | 1.956 | 1.783 | 2.058 | 
| Range/R | 0.151 | 0.248 | 0.584 | 0.148 | 0.321 | 0.126 | 
| Range in Physical Parameters/R | Factor | |||||
|---|---|---|---|---|---|---|
| A | B | C | D | E | F | |
| Compressive strength/kPa | 103.4 | 629.7 | 628.8 | 331.9 | 579.2 | 260.5 | 
| Elastic modulus/MPa | 6.61 | 69.41 | 36.43 | 24.77 | 29.86 | 18.63 | 
| Cohesion/kPa | 111.6 | 147.6 | 105.2 | 105.7 | 87.03 | 68.0 | 
| Internal friction angle/° | 4.752 | 6.814 | 9.446 | 7.088 | 15.3 | 8.328 | 
| Softening coefficient | 0.385 | 0.144 | 0.247 | 0.195 | 0.275 | 0.21 | 
| Permeability elastic modulus/10−6 m/s | 1.54 | 0.97 | 1.98 | 1.97 | 1.06 | 0.66 | 
| Dynamic elastic modulus/GPa | 1.885 | 1.949 | 1.552 | 1.989 | 3.773 | 1.119 | 
| Dynamic Poisson’s ratio | 0.019 | 0.035 | 0.072 | 0.019 | 0.022 | 0.020 | 
| Failure Mode | The Number of the Orthogonal Test | 
|---|---|
| Conical failure | 2, 7, 9, 13, 15, 16, 21, 23 | 
| Tension splitting failure | 1, 4, 10, 11, 14, 18, 20, 22, 24, 25 | 
| Oblique shear failure | 3, 5, 6, 12, 19 | 
| Compound failure | 8, 17 | 
| Disclaimer/Publisher’s Note: The statements, opinions and data contained in all publications are solely those of the individual author(s) and contributor(s) and not of MDPI and/or the editor(s). MDPI and/or the editor(s) disclaim responsibility for any injury to people or property resulting from any ideas, methods, instructions or products referred to in the content. | 
© 2023 by the authors. Licensee MDPI, Basel, Switzerland. This article is an open access article distributed under the terms and conditions of the Creative Commons Attribution (CC BY) license (https://creativecommons.org/licenses/by/4.0/).
Share and Cite
Shi, W.; Zhang, J.; Xin, C.; Song, D.; Hu, N.; Li, B. Proportioning Test on the Similar Materials of the Rock Mass Physical Model Test Considering Seepage and Dynamic Characteristics. J. Mar. Sci. Eng. 2023, 11, 1815. https://doi.org/10.3390/jmse11091815
Shi W, Zhang J, Xin C, Song D, Hu N, Li B. Proportioning Test on the Similar Materials of the Rock Mass Physical Model Test Considering Seepage and Dynamic Characteristics. Journal of Marine Science and Engineering. 2023; 11(9):1815. https://doi.org/10.3390/jmse11091815
Chicago/Turabian StyleShi, Wanpeng, Jianwei Zhang, Chunlei Xin, Danqing Song, Nan Hu, and Bowei Li. 2023. "Proportioning Test on the Similar Materials of the Rock Mass Physical Model Test Considering Seepage and Dynamic Characteristics" Journal of Marine Science and Engineering 11, no. 9: 1815. https://doi.org/10.3390/jmse11091815
APA StyleShi, W., Zhang, J., Xin, C., Song, D., Hu, N., & Li, B. (2023). Proportioning Test on the Similar Materials of the Rock Mass Physical Model Test Considering Seepage and Dynamic Characteristics. Journal of Marine Science and Engineering, 11(9), 1815. https://doi.org/10.3390/jmse11091815
 
        


 
       