Next Article in Journal
Quantity and Quality of Light on Growth and Pigment Content of Dunaliella sp. and Anabaena sp. Cultures and the Use of Their Absorption Spectra as a Proxy Method for Assessment
Previous Article in Journal
The Impact of Numerical Parameters on the Resistance Characteristics of a Container Ship at the Model and Full Scale
 
 
Font Type:
Arial Georgia Verdana
Font Size:
Aa Aa Aa
Line Spacing:
Column Width:
Background:
Article

Global Sound Absorption Prediction for a Composite Coating Laid on an Underwater Submersible in Debonding States

1
School of Mechanical and Electrical Engineering, Hainan University, Haikou 570228, China
2
School of Mechanical Engineering, Hubei University of Technology, Wuhan 430068, China
3
State Key Laboratory of Digital Manufacturing Equipment and Technology, Huazhong University of Science and Technology, Wuhan 430074, China
4
CCLY Committee, Hainan University, Haikou 570228, China
*
Author to whom correspondence should be addressed.
J. Mar. Sci. Eng. 2023, 11(9), 1671; https://doi.org/10.3390/jmse11091671
Submission received: 25 July 2023 / Revised: 22 August 2023 / Accepted: 23 August 2023 / Published: 25 August 2023
(This article belongs to the Section Ocean Engineering)

Abstract

:
To address the problem that anechoic coatings frequently fall off from modern submersible hulls and are detrimental to the realization of underwater acoustic stealth, this paper focuses on the broadband sound absorbing of acoustic coverings in debonding states from fully bonded span to fully shedded conditions. Based on the non-uniform waveguide theory, subdomain splitting approach, and wave propagation theory in layered media, a global transfer matrix method (TMM) is developed for predicting the sound absorption of a composite overburden with periodic cavities in all peeling situations. Meanwhile, the corresponding acoustic-structure fully coupled finite element (FE) simulation and hydroacoustic impedance tube-based absorption experiment are sequentially performed for the lining in a semi-bonded state to comprehensively verify the accuracy and reliability of the present analytical methodology. Then, the influence laws of debonding states, material properties, and geometric parameters on the global absorption performance are investigated in depth to reveal the multiple energy dissipation mechanisms. The results show that the shedding state primarily affects the sound absorption characteristics of anechoic coatings in the low- to mid-frequency band below 7 kHz.

1. Introduction

Underwater anechoic coatings are broadly employed in modern submarines as an important acoustic stealth technology [1,2,3,4]. In view of the complex and changing ocean environment, the overburden is susceptible to shedding as an underwater vehicle is subjected to alternating loads of external water pressure during diving and surfacing, which greatly threatens the acoustic stealth performance and service life of the strategic equipment [5,6], and has developed into another major challenge for the hydroacoustic coating technology.
Anechoic coverings have undergone considerable development and have achieved remarkable results in terms of low-frequency, broadband, and pressure resistance, but the debonding conditions between coverings and underwater submersibles are basically considered to be ideal for fully bonded states. The most common research focuses on the sound absorption prediction under the fully bonded condition between acoustic overburden and steel backing, for instance, with respect to an Alberich covering with steel plate backing, Zhong et al. [7] investigated the effect of Poisson’s ratio loss factor of rubbery material on underwater sound absorption employing a theoretical derivation combined with FE simulation. Ivansson [8] and Zhou and Fang [9] performed acoustic property prediction and optimization by an improved layer-multiple-scattering method coupled with a differential evolution algorithm (DEA), FEM, in collaboration with the Nelder–Mead algorithm, in turn. Zhao et al. [10] and Sun et al. [11] developed a DEA synergized with FEM and a topological optimization method based on the variational autoencoder model, respectively, to optimize the corresponding sound-absorbing characteristics, and thereby achieve low-frequency and broadband absorption. Moreover, Meng et al. [12] considered the role of steel plate backing for homogeneous, Alberich, and local resonance coverings, and analyzed the sound-absorbing properties by FEM, as well as revealed the absorption mechanism. Moreover, the research on new types of coverings fully bonded to steel plate backing is expanding, encompassing rubber coverings containing doubly periodic diffraction gratings [13], macroporous resin bead-elastomer coatings [14], anechoic overburdens inserted with a singly periodic array of cylindrical scatterers [15], viscoelastic coverings embedded with non-coaxially cylindrical local resonance scatterers [16], underwater metamaterial coatings [17], polyurethane linings with cylindrical voids [18], functional gradient coverings [19], and so on. Then, both Remillieux and Burdisso [20] and Fu et al. [21] extensively investigated the vibroacoustic response of an acoustic coating fully bonded to a unidirectional rib-stiffened steel plate by FEM, while Jin et al. [22] further examined the sound absorption performance of a composite covering fully laid on an orthogonally rib-stiffened plate with the aid of FEM.
In parallel, research on the acoustic stealth properties of an anechoic coating fully bonded to a rigid backing (Z → ∞) is more frequent. For example, for an acoustic covering containing gradient cavities without considering the effect of acoustic energy transmission, Tao [23], Ye et al. [24], Zhong et al. [25], Wang et al. [26], and Zhang et al. [3] proposed a two-dimensional analytic model, homogenization approach in cooperation with TMM (2 × 2), global TMM (2 × 2), modified TMM (2 × 2), and novel semi-analytical methodology based on the dynamic mechanical thermal analysis technique and TMM (2 × 2), respectively, to explore the corresponding broadband high-performance sound absorption. Subsequently, Zhang et al. [27] and Zhang et al. [28] innovatively designed novel semi-active coverings with subwavelength piezoelectric arrays and rigid backing, as well as developed a global TMM (4 × 4) and phenomenological theory coupled with TMM (4 × 4), respectively, to predict the sound-absorbing characteristics in ambient and hydrostatic environments in turn. Li et al. [29] introduced a micro-perforated plate into an underwater anechoic coating with rigid backing, while the developed a corresponding TMM (4 × 4) based on Maa’s equation and wave propagation theory in layered media to analyze the broadband sound absorption in plane wave oblique incidence conditions. Zhang et al. [30] presented a new underwater composite covering with transversely arranged single-walled carbon nanotubes, and then developed a novel semi-analytical approach integrating molecular dynamics simulation methodology and global generalized TMM (6 × 6) to forecast the cross-scale mechanical properties and sound absorption characteristics with zero-transmission conditions.
In addition, a few scholars have examined the acoustic stealth properties of an anechoic overburden serving in two semi-infinite fluid media, and it is worth stating that this operating condition can be equivalently considered as a state where the underwater coating is fully debonded from the target submersible but still wrapped around the hull. By way of example, Shi et al. [31] proposed a multilayer locally resonant hydroacoustic metamaterial with an air backing, and then investigated the bandgap properties and sound absorption performances employing FEM. Sharma et al. [32] and Wang et al. [33] designed a locally resonant viscoelastic coating and an underwater meta-absorption layer, respectively; the former combined effective medium approximation and FEM to calculate the sound-absorbing characteristics considering the effect of water backing, while the latter predicted the broadband sound absorption in an aqueous backing environment only by means of FEM.
However, studies on the effect of partial bonding state on the absorption performances of hydroacoustic coatings are as rare. Among them, Hu [5] proposed MC-PEM based on Monte Carlo theory and the plate element method (PEM) to analyze the relations between the target strength and anechoic tiles’ exfoliation rate. Zhao et al. [6] investigated the sound absorption characteristics of an anechoic covering containing periodic cavities in debonding states by utilizing FEM.
In general, there are two shortcomings in the investigations on the acoustic stealth properties considering the shedding state between anechoic coverings and underwater submersibles. One is that the related research primarily focuses on the ideal fully bonded state, without considering the shedding phenomenon. The other is that the prediction method is limited to FEM and lacks a feasible analytical theory. Therefore, this paper concentrates on the broadband sound absorption of a composite coating in the debonding state from the fully bonded span to fully shedded conditions, and conducts research on four main aspects. First, a global TMM (2 × 2) is developed for predicting the sound absorption of the present overburden in the peeling state. Second, an acoustic-structure fully coupled FE model of this composite covering in a semi-bonded condition is established by COMSOL Multiphysics, and the correctness of the theoretical methodology is verified by sound absorption simulation results. Once again, absorption experimental research is conducted based on the hydroacoustic impedance tube test platform to further validate the reliability of the proposed analytical theory. Last, the influence laws of debonding states, material properties, and geometric parameters on the global sound-absorbing performance are investigated in depth to reveal the corresponding multiple energy dissipation mechanisms.

2. Global Sound Absorption Analytical Method

2.1. Structural Overview and Service Conditions of a Coating

The composite anechoic coating, as shown in Figure 1, is laid on the underwater vehicle shell and serves in the marine environment, in order to reduce the target strength of underwater equipment and achieve the goal of acoustic stealth. The present coating is formed by laminating four layers of rubbery materials, from top to bottom, layers Li (i = 1, 2, …, 4) with density ρi, Young’s modulus Ei, Poisson’s ratio υi, and thickness hi, respectively. Among them, L1 and L4 are uniform layers, L2 is a non-uniform layer embedded with periodic truncated conical cavities with diameters d21 and d22 on the upper- and lower-end faces, while L3 is an inhomogeneous layer containing periodic cylindrical voids with diameter d3. In parallel, the semi-infinite aqueous medium and the backing structure are noted as layers L0 and L5, respectively.
A global Cartesian coordinate system is established on the interface between the aqueous medium and the present coating, with both the x- and y-axes along the direction of the rectangular array of periodic cavities, inward and rightward in isometric view, respectively, while the z-axis is perpendicular to the xy-plane downward. Thus, the infinite overlay can be treated as a periodic array of the single unit in the red rectangular box in the xy-plane, and lattice constants in the x- and y-directions are lx and ly, respectively. In addition, the intersection of adjacent layers i and i + 1 in the z-direction is denoted as zi, and the thickness of layer Li satisfies hi = zi+1zi. It should be pointed out that layer L1 of the anechoic coating in Figure 1 is shown in translucent display mode to clearly present the array manner of embedded cavities.

2.2. Basic Transfer Matrix of Equivalent Sublayer

A plane wave occurs normally from the aqueous medium L0 to the upper surface of the present composite overburden in Figure 1, then the rubber element in single units is approximated as variable cross-section waveguides of a highly viscous liquid, whose wave equation is [34]:
2 ξ z 2 + 1 s s z ξ z + k 2 ξ = 0
where k is the wavenumber; ξ and s are both functions of z, representing the particle displacement and cross-sectional area, respectively, in a single cell of this coating.
The expression is nonlinear and the corresponding explicit solution cannot be derived directly, but it can be converted into a linear equation for theoretical analysis when the medium cross-sectional area s(z) satisfies the following relation:
( s ) / s = μ 2 ( μ = constant )
Therefore, the actual cross-sectional area of each layer can be approximated using exponential waveguides, that is
s ( z ) = a e b z
where both a and b are constants related to the cross-sectional area of each layer, and this exponential waveguide strictly satisfies the requirements of Formula (2).
For the non-uniform layer L2, the above exponential waveguide is employed to approximate the rubbery unit. A comparison of these two embedded cavity structures is shown in Figure 2a, where the waveguide cavity is larger than the original truncated conical cavity and there is an error region between them. For this reason, the transfer relations of sound pressure and particle vibration velocity in the L2 layer are precisely informed by utilizing the subdomain splitting method, which consists of the following three steps: (1) equivalently dividing the L2 layer into a stacked structure of n equal-thickness sublayers; (2) adopting exponential waveguides to approximate the rubber units within each sublayer; (3) analyzing the fundamental transfer relations of sound pressure and particle vibration velocity in each sublayer.
Considering that the sound pressure and particle vibration velocity on the upper and lower surfaces of a non-uniform sublayer are continuous in the force state (F, v), the transfer relation for equivalent sublayer L2,q can be derived as
[ F 2 , q v 2 , q ] = T 2 ( q ) [ F 2 , q 1 v 2 , q 1 ]
with
T 2 , 11 ( q ) = s q 1 s q [ cos ( K 2 ( q ) h 2 ( q ) ) + sin ( K 2 ( q ) h 2 ( q ) ) 2 K 2 ( q ) h 2 ( q ) ln s q s q 1 ] T 2 , 12 ( q ) = j ρ 2 ( q ) c 2 ( q ) s q 1 s q k 2 ( q ) sin ( K 2 ( q ) h 2 ( q ) ) [ K 2 ( q ) + 1 4 K 2 ( q ) ( h 2 ( q ) ) 2 ( ln s q s q 1 ) 2 ] T 2 , 21 ( q ) = j K 2 ( q ) sin ( K 2 ( q ) h 2 ( q ) ) K 2 ( q ) ρ 2 ( q ) c 2 ( q ) s q 1 s q T 2 , 22 ( q ) = s q s q 1 [ cos ( K 2 ( q ) h 2 ( q ) ) sin ( K 2 ( q ) h 2 ( q ) ) 2 K 2 ( q ) h 2 ( q ) ln s q s q 1 ]
( K 2 ( q ) ) 2 = ( k 2 ( q ) ) 2 ( μ 2 ( q ) ) 2
( μ 2 ( q ) ) 2 = ( b 2 ( q ) ) 2
b 2 ( q ) = 1 2 h 2 ( q ) ln s q s q 1
where sq and sq−1 are the cross-sectional areas of the upper and lower ends of sublayer L2,q, while ρ, c, k, and h are the density, sound velocity, wavenumber, and thickness in sublayer L2,q, respectively.
It is worth pointing out that a uniform layer or an inhomogeneous layer with cylindrical cavities is a special case of this non-uniform sublayer, and the corresponding waveguides are all s z = a , in which a is a constant related to the cross-sectional area.

2.3. Global Transfer Matrix Assembly

Referring to the non-uniform L2 layer embedded with truncated conical cavities, the corresponding transfer relation can be recursively performed by the basic transfer matrix of n equivalent sublayers, that is
T 2 = q = 1 n T 2 ( q )
Meanwhile, for the uniform layers, L1 and L4, as well as the inhomogeneous layer, L3, whose cross-sectional area satisfies the waveguide s z = a , the transfer matrix is combined and written as follows:
T m = [ cos ( k m h m ) j ρ m c m s m sin ( k m h m ) j sin ( k m h m ) ρ m c m s m cos ( k m h m ) ] , ( m = 1 , 3 , 4 )
Considering the normal incidence of a plane wave, the z-direction vibration velocity v and force F on the fluid–solid and solid–solid interfaces are both continuous. Thus, the global transfer matrix for the composite coating in Figure 1 fully bonded to an underwater vehicle shell is assembled as shown below:
T g = i = 1 4 T i
The corresponding input impedance is
Z in ( gb ) = T g ( 1 , 1 ) T g ( 2 , 1 ) s u
where su = s1 = s4 = lxly, represents the cross-sectional area of a single lattice.
However, the adhesion between the composite coating and an underwater vehicle gradually falls off with the increase in service time, or there may be a local thin air layer during the laying process, that is, the partial band phenomenon as shown in Figure 3, occurs. To this end, it is assumed that the shedding area and the bonding area at the interface between the present overburden and the backing structure in a single periodic unit are ss and sb, respectively, satisfying ss + sb = su. In particular, when the anechoic covering completely falls off and still wraps around the outer surface of a submersible, the transfer variables are discontinuous, and the corresponding input impedance is
Z in ( gs ) = T g ( 1 , 2 ) T g ( 2 , 2 ) s u
Therefore, for the anechoic overburden in the partial shedding state, the global input impedance is derived by the acousto-electric analogy as
Z in = σ b Z in ( gb ) + σ s Z in ( gs )
where σb = sb/su and σs = ss/su represent the area occupancy of the bonding region and shedding region in a single cell, respectively.
Moreover, the global reflection and absorption coefficients of the present coating in the partial shedding state are derived as follows:
r = Z in Z w Z in + Z w
α = 1 r r
where the superscript * denotes the conjugate operation.

3. Theoretical Model Validation

For ensuring the correctness of this theoretical model, the following three aspects will be verified in turn: (1) Investigate the relationship between the global sound absorption characteristics and the equivalent stratified number of non-uniform layer L2, and propose a prerequisite convergence determination criterion for subdomain splitting equivalent. (2) Establish a multiphysics field model of the present composite coating and perform FE verification for the theoretical prediction results of the global sound absorption properties in the semi-bonded state. (3) According to the semi-bonded condition, develop the corresponding sample and conduct the experimental study based on the hydroacoustic impedance test platform.

3.1. Convergence Judgement for Subdomain Segmentation

For composite anechoic coverings approximated as shown in Figure 1, the corresponding deterministic structure is the key element for conducting global sound absorption performance research. Therefore, in turn, Styron Butadiene Rubber (SBR), Chlorinated Polyethylene Rubber (CPR), Chlorinated Polyethylene Rubber (CPR), and Nitrile Butadiene Rubber (NBR) are laminated to form a composite anechoic overburden with the lattice constant lx = ly = 40 mm for a single unit, and the respective physical parameters are shown in Table 1. The deterministic coating is assumed to be laid on a submersible shell, but in a partially bonded state with equal bonding and shedding areas (namely, σb = σs = 50%), while serving in an aqueous medium with a density of ρw = 1000 kg/m3 and a sound velocity of cw = 1500 m/s.
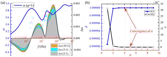
Combined with Figure 2, it can be seen that the more subdomain splits of the inhomogeneous L2 layer there are, the closer the corresponding structure is to the original design. Meanwhile, the global sound absorption characteristics of the equivalent stratified number q ∈ [1, 10] are analyzed theoretically, and the sound-absorbing increment Δα for q = (2, 3, 10) is described using the area chart with the absorption curve of q = 1 as a benchmark, as shown in Figure 4a. Obviously, the global sound-absorbing properties of the present covering gradually enhance as the number of subdomain segmentations increases, and the increment progressively diminishes until it stabilizes and coincides. However, it is worth pointing out that, in principle, the higher the equivalent stratified number of non-uniform layers, the more accurate the absorption characteristics are, but at the same time the cost of reducing the resolution rate is higher.
Thus, the Pearson correlation coefficient (PCC) and the sum of squared error (SSE) are presented to determine the similarity and coincidence of the global absorption curves corresponding to the adjacent stratified quantities, respectively, and the specific expressions are in turn as follows:
δ q = cov ( α q , α q + 1 ) σ α q σ α q + 1 = k = 1 f num ( α q , k α ¯ q ) ( α q + 1 , k α ¯ q + 1 ) k = 1 f num ( α q , k α ¯ q ) 2 k = 1 f num ( α q + 1 , k α ¯ q + 1 ) 2
e q = k = 1 f num | α q , k α q + 1 , k | 2
where the subscript q corresponds to the number of subdomain splitting layers in Figure 2b, satisfying q ∈ [1, 10], while the subscript k denotes the number of frequency points for all calculations, with the maximum value fnum = fmax/fstep; cov(∙) and σ represents the covariance and standard deviation operations, respectively, and the over-line indicates the average operation.
Furthermore, the relationship between these two indexes with the subdomain splitting number is calculated theoretically as shown in Figure 4b, where PCC increases and then stabilizes, while SSE shows a trend of decreasing and then stabilizing. For the purpose of obtaining the minimum stratification number of the inhomogeneous layer L2, two critical values of PCC and SSE, namely δp = 1 and ep = 1 × 10−6, are preset in this article. As depicted in Figure 4b, the PCC and SSE curves start to reach the preset values δp and ep, respectively, with the equivalent stratified number of 4 and 5 in order, corresponding to the exact values δ(q=4) = 1 and e(q=5) = 6.63 × 10−7. Then, the minimum number of subdomain segmentations for the non-uniform layer L2 is nmin = 5.

3.2. Simulation Verification

For the composite overburden in the debonding state as shown in Figure 3, the acoustic-structure fully coupled FE model is developed as depicted in Figure 5. In which, there are four critical operations in the model processing: (1) setting the upper surface of the aqueous medium as a plane-wave (PW) radiation boundary to simulate PW incidence; (2) regarding the interface between the present covering and backing structure, the bonding region is approximated by a fixed constraint with zero vibration velocity, while the shedding region is a free boundary; (3) defining Floquet periodicity on all boundaries in x- and y-directions to simulate the infinite coating; (4) the interfaces between all fluid media, including the aqueous medium at incident end and the air medium in cavities, and the overburden, are acoustic-structure boundaries.
Thus, the incident and reflected sound powers of this covering at the sound–structure coupling interface S when a plane wave with amplitude Pi occurs are as follows:
W i = S P i 2 ρ w c W d s
W r = W i S I z d s
Subsequently, the global sound absorption coefficient of the present coating is
α = 1 W r W i
where Iz is the z-directional net acoustic intensity.
The sound-absorbing coefficients of this covering in the wide frequency range of 10~105 Hz are computed based on the acoustic-structure fully coupled FE model, and the comparison with predictions of the proposed theoretical methodology is illustrated in Figure 6. In this figure, the two absorption curves are highly overlapping, which shows the high accuracy and reliability of the novel theoretical analytical approach. Among them, they have consistent absorption peaks near 223.9 Hz, 2818.4 Hz, and 35,481 Hz, which reveal the dominant absorption mechanisms combined with the corresponding vibration velocity nephograms, in the order of global vibration, cavity resonance coupled wave mode conversion, and local resonance synergized viscous dissipation. It should be explained that the 2nd absorption peak frequency of the simulation results is slightly shifted towards high frequencies compared to the theoretical predictions, which is attributed to the following differences: the shedding region at the interface between this coating and backing structure is assumed to be flat in the theoretical model, while it is raised upwards in a circular surface in the FE model, and the reduction of cavity volume in the latter leads to an increase in the corresponding cavity resonance frequency.

3.3. Experimental Validation

To further investigate the accuracy of the proposed global sound absorption analytical method that takes into account the debonding state between the anechoic coating and underwater vehicle, an experimental scheme based on a hydroacoustic impedance tube platform as presented in Figure 7 is developed for experimental validation. A prototype test specimen with diameter dtest = 118 mm is designed as shown in Figure 7a by combining the characteristics of this composite anechoic coating in Figure 1 and a small sample testing technique. Among them, the cavity structures are arranged periodically in the xy-plane, with five groups of closed cavities and four sets of non-closed cavities.
Next, the preparation of test specimen is conducted, covering the following four core aspects: (1) for the convenience of test specimen preparation, the homogeneous layers L1 and L4 are replaced by Ethylene Propylene Diene Monomer (EPDM) with specific gravity and hardness of 1.3 and 30 HA, respectively, while the non-homogeneous layers L2 and L3 are exchanged for Nitrile Butadiene Rubber (NBR) with specific gravity of 1.6 and hardness of 65 HA; (2) the semi-bonded backing structure is manufactured by machining a coaxial non-penetrating cylindrical cavity of 83.5 mm in diameter and 10 mm in depth on one end of an aluminum alloy cylinder of size ϕ 118 mm × 20 mm to approximate the semi-bonded state between the present overburden and an underwater submersible; (3) according to the designed prototype structure, the four rubber sub-layers and the semi-bonded backing are laminated to prepare the coating sample as shown in Figure 7b. It is worth emphasizing that the between-layer seal is achieved by employing RTV Silicone Rubber produced by Liyang Kangda New Material Co., Ltd., Liyang, China.
Finally, considering the service environment of an underwater vehicle, the experimental principle for testing the sound absorption characteristics of the present coating is developed as shown in Figure 7c. Among them, the inner diameter of the impedance tube, tube length, hydrophone spacing, and the distance between hydrophone 2 and the sample are, in order, d = 120 mm, L = 3 m, s = 50 mm, and l = 100 mm, while the upper and lower limits of the test system’s operating frequency are fl = 100 Hz and fu = 7200 Hz, respectively. It is worth emphasizing that the design of the test system meets the ISO10534-2 standard, namely, d < 0.58cw/fu, L ≥ 0.05cw/fl, s < 0.45cw/fu, and ld/2. The specific working modes and steps are as follows: (1) the test specimen, thick steel plate and end cap are installed sequentially at the end of the hydroacoustic impedance tube, where the coarse plate is intended to approximate the rigid backing structure.; (2) a suitable acoustic excitation is selected through the human-computer interaction interface of the test computer, and the corresponding electrical excitation signal is generated by the signal generation module of the B&K front-end, which drives the piezoelectric transducer to produce a plane incident wave after the power amplifier is tuned to the output; (3) the incident and reflected acoustic pressure signals are measured by the two B&K 8103 hydrophones, and then the converted digital signals are transmitted to the signal acquisition module based on the multiplexing technology after signal conditioning, which performs the absorption coefficient calculation and realizes the information interaction in this computer.
Based on the proposed experimental scheme and the Dual-channel Transfer Function Method (DTFM), the sound absorption characteristics of this coating sample in the semi-bonded state are tested in comparison with the theoretical predicted values as shown in Figure 8. In this figure, the theoretical and experimental curves of the global absorption coefficient are highly coincident, and the main absorption peaks of the theoretical curve are accompanied by the corresponding experimental crests. Although there are several oscillatory absorption peaks in the experimental curve, they all keep small variations above and below the theoretical values, and the mean relative error between them is an acceptable 9.92%. Collectively, the comparison results further demonstrate that the proposed global absorption analytical method for an anechoic coating considering the debonding state is highly reliable.

4. Results and Discussion

In this section, firstly, based on the present theoretical methodology, the sound absorption characteristics in different debonded states are analyzed to reveal the corresponding impact mechanisms. Then, the influence laws of material properties and geometric parameters of the composite coating on the global sound absorption in the semi-bonded state are investigated and discussed in turn.

4.1. Change Regulations of Debonding States

To reveal the influence mechanisms of the debonding state between this composite anechoic coating and hull shell on the acoustic stealth performance, the global sound absorption predictions are performed for σs = 0%, 50%, and 100%, that is, fully bonded, semi-bonded, and fully detached states, respectively, as shown in Figure 9.
In this figure, the global sound-absorbing curves show three interesting phenomena as the debonding state of the present coating changes from fully bonded to fully detached. (1) In the high-frequency band above 7 kHz, the bonded state has almost no effect on the sound absorption performance. (2) The 1st absorption peak shifts towards the lower frequencies rapidly and with diminished amplitude, and then disappears outright. (3) The 2nd absorption crest moves in the direction of lower frequencies and shows an increasing trend in amplitude.
In response to phenomenon 1, the cause is the dominant dissipation mode of the high-frequency sound-absorbing characteristics as the viscous dissipation of homogeneous layer 1, whose material properties are independent of the debonding state between this composite anechoic coating and an underwater vehicle shell. Further, phenomenon 2 can be explained by the relationship between the reflection coefficient and input impedance of the present covering, which is expressed as follows:
R = r r * = [ | Z in | Z w ] 2 + 4 [ Im ( Z in ) ] 2 Z w 2 { [ Re ( Z in ) + Z w ] 2 + [ Im ( Z in ) ] 2 } 2
Consequently, it is clear that the reflection coefficient R has a minimal value when |Zin| and Zw are equal, and the maximum point of the corresponding absorption curve is located at the intersection of Zin and Zw as illustrated in Figure 9, namely the impedance matching condition. While the impedance matching point moves in the direction of low frequency with the change in debonding state from full bonding to full shedding, the aforementioned variation law of the main absorption peak appears. Meanwhile, phenomenon 3 is attributed to the local resonance of the cavities. In the process of peeling state change, the transition from rigid to soft backing conditions drives the stiffness and damping of the local resonance system to diminish and magnify, respectively, as reflected by the reduction of resonant frequency and the enhancement of acoustic energy dissipation.

4.2. Effects of Material Properties

The material properties of an anechoic coating are the foundation for achieving acoustic energy dissipation, and are an important guarantee for realizing the acoustic stealth function of an underwater vehicle even under complex service conditions. Therefore, in this section, the influence laws of four types of key material parameters, namely density, Young’s modulus, damping loss factor, and Poisson’s ratio, on the global acoustic absorption characteristics in the semi-bonded state are investigated in depth to reveal the corresponding multiple energy dissipation mechanisms.

4.2.1. Influence Laws of Densities

For the composite anechoic coating illustrated in Figure 1, the densities of the four rubber layers are chosen to be ρ1 = (1039, 2039, 3039) kg/m3, ρ2 = ρ3 = (1210, 2210, 3210) kg/m3, and ρ4 = (1056, 2056, 3056) kg/m3, with a density increment of 1000 kg/m3 as the reference. In turn, the corresponding theoretical models are sequentially developed to predict the global sound absorption coefficients as shown in Figure 10.
As can be seen from Figure 10, the effect of material density on the global absorption properties is mainly concentrated in the range beyond the 1st absorption peak frequency. Among them, as the density of each rubber layer increases, a common phenomenon emerges in the global sound-absorbing characteristics of the present overburden, that is, the 2nd absorption peak frequencies are all shifted to the low-frequency direction. Although the degree of the frequency shift phenomenon is different, the internal causes are similar, both the equivalent mass meq and equivalent series stiffness keq of the corresponding local resonance system increase simultaneously with the density of each rubber sub-layer, and while keq/meq decreases, the local resonance frequency diminishes.
Moreover, for the changes in the 2nd absorption valley, the layers L1 and L2 have opposite effects, with a tendency to decrease and improve, respectively, but the origins are completely distinct. The former is attributed to the increase in the intensity of impedance mismatch between the present coating and aqueous medium with the density of L1, while the latter is owed to the enhancement of the wave mode conversion with the density of L2. It should be emphasized that increasing the density of non-uniform layers L2 and L3 can significantly improve the amplitude characteristics of the 2nd and 1st absorption valleys in turn.

4.2.2. Impact Patterns of Young’s Moduli

Referring to the four rubber layers of the present coating in Figure 1, the respective Young’s moduli E1 = (9.6 × 107, 1.46 × 108, 1.96 × 108) Pa, E2 = E3 = (9.89 × 107, 1.489 × 108, 1.989 × 108) Pa, and E4 = (1.45 × 107, 6.45 × 107, 1.145 × 108) Pa are selected sequentially based on the spacing increment ΔE = 5 × 107 Pa, and the corresponding global sound absorption properties are theoretically predicted as displayed in Figure 11.
From Figure 11, it is observed that there are four interesting phenomena of global sound absorption properties, triggered by the varying Young’s modulus of each rubber layer: (1) the sound absorption curve shifts toward high frequencies, mainly owing to the fact that both the global and local stiffness of the present covering increase with the Young’s modulus of each rubber layer, contributing to the growth of global resonant frequency (1st crest) and local resonant frequencies (2nd and 3rd peaks). Among them, there is no significant change in the frequency of individual absorption peaks by altering a Young’s modulus because of the different dominant energy dissipation mechanisms of each rubber layer. (2) The impact of the Young’s modulus variation of layer L1 on the global absorption performances is mainly centered in the frequency band above the 2nd absorption peak frequency, due to the viscous dissipation mode of layer L1 dominating in the high-frequency region. (3) The enlarged Young’s modulus of layer L2 significantly improves the acoustic performance of the 2nd absorption valley, due to the same internal cause as in Figure 10b, which is also attributed to the enhancement of wave mode conversion. (4) Increasing the Young’s modulus of layers L3 and L4 is beneficial to enhance the amplitude characteristics of the 1st absorption valley, which is the reason for a faster growth rate of the global stiffness than the local stiffness.

4.2.3. Variation Rules of Damping Loss Factors

With a fixed increment of Δη = 0.5, the damping loss factors of the four rubber layers in this composite covering are chosen as η1 = η2 = η3 = (0.5, 1.0, 1.5) and η4 = (0.3, 0.8, 1.3), respectively, and the corresponding global sound-absorbing characteristics are predicted in turn by the proposed complete theoretical methodology as shown in Figure 12.
There is an intriguing variation in Figure 12, where the 1st absorption peak amplitude characteristics of global absorption curves are enhanced with increasing damping loss factor of each rubber layer, attributed to the increased intramolecular friction loss. Meanwhile, the increase in partial peak frequencies of the absorption curve is endogenously similar to phenomenon 1 in Figure 11, which is caused by the growth of dissipation modulus in the complex Young’s modulus of each rubber layer with the damping loss factor, resulting in an enlargement of the corresponding dominant global resonant frequency and local resonant frequency in the present coating. Furthermore, the amplitude characteristics of the absorption valley are interpreted by the synergistic effect of the dominant energy dissipation modes. For example, the amplitude of the 1st absorption valley improves with the damping loss factor, which is due to the fact that the frequency growth rate of the 1st absorption crest is greater than that of the 2nd absorption peak, so that the two modes of global resonance and local resonance appear to have a synergistic energy dissipation function. It is worth emphasizing that the favorable change in the 2nd absorption valley in Figure 12b is still mainly attributed to the enhancement of the wave mode conversion.

4.2.4. Varying Regulations of Poisson’s Ratios

Based on the univariate principle, the Poisson’s ratios of the four rubber layers in this composite overburden are chosen in order with a constant increment Δυ = 0.15 as υ1 = (0.18, 0.33, 0.48), υ2 = υ3 = (0.10, 0.25, 0.40), and υ4 = (0.16, 0.31, 0.46), while the global sound absorption coefficients are theoretically analyzed as shown in Figure 13.
In Figure 13, it is most evident that the global absorption curve shifts towards high frequencies as the Poisson’s ratio of each rubber layer grows, which can be qualitatively explained by the following expression for fundamental frequency of the overall coating:
f = 2 π D Ω 2 ρ h = 2 π E h 2 Ω 2 12 ( 1 υ 2 ) ρ
Obviously, among the physical parameters of each rubber layer, only Poisson’s ratio rises and the fundamental frequency of the cover layer subsequently increases, that is, the peak frequencies of an absorption curve move in the direction of high frequency.
Moreover, there are two interesting variations: (1) increasing the Poisson’s ratio of the protective layer (L1) has greatly improved the sound-absorbing characteristics in the high-frequency band above 5 kHz, which is due to the transition of SBR from the elastic to viscous state, the gradual matching of acoustic characteristic impedances between layer L1 and aqueous medium, together with the enhancement of the high-frequency viscous energy dissipation mode. (2) The amplitude characteristics of the 2nd absorption valley improve gradually with the growing Poisson’s ratio of layer L2, which is attributable to the subsequent increase in the dynamic bending stiffness of L2, causing the reinforcement of the wave mode conversion.

4.3. Influences of Geometric Parameters

The cavity structures embedded in a composite anechoic overburden are an extension and enhancement of the fundamental energy dissipation modes of host materials, which not only introduces new acoustic energy consumption patterns, but also creates a synergy of multiple energy dissipation modes. Therefore, in this section, the focus is on the impact laws of three kinds of geometric parameters, such as layer thickness, lattice constant, and cavity diameter, on the global sound absorption performances in the semi-bonded state to further reveal the multiple energy dissipation mechanisms of the present coating.

4.3.1. Impact Laws of Layer Thicknesses

Referring to the thicknesses of the four sublayers in this composite covering, h1 = h2 = h3 = (10, 20, 30) mm and h4 = (5, 15, 25) mm are chosen at a spacing of 10 mm. Based on the univariate principle and the physical parameters in Table 1, the global sound absorption coefficients are theoretically determined in turn, as depicted in Figure 14.
In Figure 14, the global absorption curve shows a favorable low-frequency development as increasing the thickness of each sublayer, which contributes to the goal of low-frequency broadband acoustic stealth. This is mainly attributed to the following two internal factors: one is that the propagation paths of P-wave and SV-wave generated by wave mode conversion in the present coating become longer with the increase in hi, and the corresponding absorption wavelength grows, namely, there is a shift in the absorption crests to the low-frequency direction. Another is that the cavity resonant mode gradually transitions from axial vibration to radial vibration with the growth of h1 or h4; while the cavity resonant frequency reduces with the enlargement of cavity volume when h2 or h3 increases.

4.3.2. Variation Trends of Lattice Constants

For the isotropic composite coating illustrated in Figure 1, the global sound absorption characteristics in response to a plane-wave normal incidence follow the same pattern as the x- and y-directional lattice constants. Therefore, with the lattice constants lx = ly = (40, 80, 160) mm and the physical parameters in Table 1, three theoretical analytical models are developed to investigate the variation law of the absorption coefficient as presented in Figure 15, in order to reveal the corresponding energy dissipation mechanism.
It is obvious from Figure 15 that the global absorption curve shifts towards high frequencies with the increasing lattice constants, which is mainly due to the growing overall stiffness and the relatively decreasing cavity volume, causing the global resonance and cavity resonance frequencies to rise in turn. It is worth pointing out that the gradual improvement in the amplitude characteristics of the 2nd absorption valley with increasing lattice constants, which is attributed to the propagation path growth of the SV wave generated by the wave mode conversion, enhances the acoustic energy dissipation effect.

4.3.3. Effect Rules of Cavity Diameters

Embedding a cavity structure in the cover layer is a common strategy, especially for improving low-frequency sound absorption properties. To investigate the energy dissipation mechanism of cavity structures, the cavity diameters of d21 = (2, 12, 22) mm, d22 = (14, 24, 34) mm, and d3 = (2, 16, 30) mm for the present composite overburden in Figure 1 are individually determined, and the corresponding global sound absorption characteristics are depicted in Figure 16 by theoretical analysis.
From Figure 16, it is noticed that the three cavity diameters have varying effects on global sound absorption. Among them, the diameters d21 and d22 of truncated conical cavities in the non-uniform layer L2 primarily affect the 2nd absorption valley, and the corresponding amplitude characteristics both deteriorate with their increase, but the mechanisms are different. The former is due to the energy dissipation mechanism of the wave mode conversion being gradually suppressed, while the latter is attributed to the shorter propagation path of the SV waves generated by wave mode conversion. Naturally, in Figure 16a,b, the influence laws of d21 and d22 still have a certain commonality, that is, the 2nd absorption peak frequency is shifted to the lower frequency direction, because the cavity resonance frequency decreases with the enlargement of cavity volume.
However, the diameter d3 of cylindrical cavities in the inhomogeneous layer L3 has a wider frequency band and a stronger influence on global sound absorption. Most excitingly, the sound absorption characteristics are significantly improved in the low-frequency band below the first peak frequency, mainly thanks to the reduction in the global resonance frequency caused by the decreasing overall stiffness. Meanwhile, the 1st absorption valley develops in the direction of deterioration, which is the result of the 2nd peak frequency being basically fixed and not shifted with the 1st peak frequency, but the essential reason is the synergistic effect of the two energy dissipation modes of global resonance and cavity resonance being weakened. There is also a disappointing phenomenon that the 2nd absorption peak amplitude is significantly reduced, which is induced by the reduction of damping characteristics in the local resonance system.

5. Conclusions

This paper considers the role of debonding state between the anechoic coating and underwater vehicle, assuming that the overburden is still wrapped around the outer surface of the submersible when it is completely shedded, and focuses on the global sound absorption characteristics during the span of the fully bonded state to the fully detached state. Based on the non-uniform waveguide theory and subdomain splitting method, an innovative global sound absorption analytical methodology is proposed. Next, the acoustic-structure fully coupled FE model of the present composite coating is established by COMSOL Multiphysics, and the simulation results of the absorption coefficient in the semi-bonded state are employed to verify the correctness of this theoretical approach. Afterward, the reliability of the proposed prediction method is further validated by measuring the sound absorption characteristics in the semi-bonded state by DTFM with the aid of a hydroacoustic impedance tube test platform. Finally, the influence of debonding states, material properties, and geometric parameters on the global sound absorption characteristics is investigated to reveal the multiple energy dissipation mechanisms of the composite covering taking into account the effect of peeling states. The main conclusions are as follows:
(1) The present global sound absorption analytical methodology accurately predicts the acoustic stealth performance in plane-wave normal incidence condition, which is applicable to anechoic coatings considering the debonding state between a covering and an underwater vehicle.
(2) The debonding state primarily affects the sound absorption characteristics of anechoic coatings in the low- to mid-frequency band below 7 kHz, especially in the process of debonding state from fully bonded span to fully detached, the 1st absorption peak shifts towards the lower frequencies rapidly and with diminished amplitude, and then disappears outright.
(3) In the calculated frequency band of [10, 105] Hz, the dominant energy dissipation modes for the three main peaks in the global absorption curve of this composite anechoic coating in the semi-bonded state are global vibration, cavity resonance coupled wave mode conversion, and local resonance synergized viscous dissipation, in that order.
(4) An appropriate increment of ρi, hi, and di promotes the sound absorption characteristics of an anechoic coating in the favorable low-frequency direction to some extent, while an enhancement of Ei, ηi, υi, and lx(ly) will reverse the development. In parallel, enhancing the synergistic effect among dominant energy dissipation modes effectively improves the amplitude characteristics of absorption valleys.
In future work, we will advance the present theoretical approach to the plane-wave oblique incidence condition with universality, and also develop research in multi-mode matching optimization to achieve the broadband high-performance acoustic stealth of overlays.

Author Contributions

Conceptualization, Z.Z. and X.Z.; methodology, Z.Z.; software, Z.Z. and Y.H.; validation, Y.H., J.W. and Z.L.; formal analysis, Z.Z. and Y.H.; data curation, Z.Z.; writing—original draft preparation, Z.Z.; writing—review and editing, J.W., Z.L. and S.Z.; funding acquisition, Z.Z. All authors have read and agreed to the published version of the manuscript.

Funding

This research was funded by the project supported by the Education Department of Hainan Province (Project no. Hnky2023ZD-3) and Hainan University research start-up fund (Grant no. KYQD(ZR)23085).

Institutional Review Board Statement

Not applicable.

Informed Consent Statement

Not applicable.

Data Availability Statement

Data can be obtained by contacting the first author, Zhifu Zhang (996099@hainanu.edu.cn).

Conflicts of Interest

The authors declare no conflict of interest.

References

  1. Ke, Y.; Zhang, L.; Zhao, X.; Tao, M. An equivalent method for predicting acoustic scattering of coated shell using identified viscoelastic parameters of anechoic coating. Appl. Acoust. 2021, 179, 108071. [Google Scholar] [CrossRef]
  2. Fu, Y.; Kabir, I.I.; Yeoh, G.H.; Peng, Z. A review on polymer-based materials for underwater sound absorption. Polym. Test. 2021, 96, 107115. [Google Scholar] [CrossRef]
  3. Zhang, Z.; Wang, J.; Huang, Q. A novel semi-analytical methodology for predicting sound absorption of anechoic coatings with arbitrary rotary cavities dependent on temperature and frequency. Results Phys. 2021, 26, 104408. [Google Scholar] [CrossRef]
  4. Hu, J.; Lin, Y.; Zhou, Z.; Cao, X.; Chi, Q.; Wu, W. Study on the Low-Frequency and Broadband Sound Absorption Performance of an Underwater Anechoic Layer with Novel Design. J. Mar. Sci. Eng. 2023, 44, 409. [Google Scholar] [CrossRef]
  5. Hu, B. Research of statistical characteristics of target strength of a single-layer cylindrical shell with random coating. IOP Conf. Ser. Earth Environ. Sci. 2018, 171, 012023. [Google Scholar] [CrossRef]
  6. Zhao, X.; Shang, D.; Zhang, C.; Yin, L. Research on sound absorption characteristics of Alberich anechoic coatings in debonding states. MATEC Web Conf. 2019, 283, 09008. [Google Scholar] [CrossRef]
  7. Zhong, J.; Zhao, H.; Yang, H.; Yin, J.; Wen, J. Effect of Poisson’s loss factor of rubbery material on underwater sound absorption of anechoic coatings. J. Sound Vib. 2018, 424, 293–301. [Google Scholar] [CrossRef]
  8. Ivansson, S.M. Numerical design of Alberich anechoic coatings with superellipsoidal cavities of mixed sizes. J. Acoust. Soc. Am. 2008, 124, 1974–1984. [Google Scholar] [CrossRef]
  9. Zhou, S.; Fang, Z. Optimization design of acoustic performance of underwater anechoic coatings. Acoust. Aust. 2022, 50, 297–313. [Google Scholar] [CrossRef]
  10. Zhao, D.; Zhao, H.; Yang, H.; Wen, J. Optimization and mechanism of acoustic absorption of Alberich coatings on a steel plate in water. Appl. Acoust. 2018, 140, 183–187. [Google Scholar] [CrossRef]
  11. Sun, Y.; Li, Z.; Chen, J.; Zhao, X.; Tao, M. Variational autoencoder-based topological optimization of an anechoic coating: An efficient- and neural network-based design. Mater. Today Commun. 2022, 32, 103901. [Google Scholar] [CrossRef]
  12. Meng, H.; Wen, J.; Zhao, H.; Lv, L.; Wen, X. Analysis of absorption performances of anechoic layers with steel plate backing. J. Acoust. Soc. Am. 2012, 132, 69–75. [Google Scholar] [CrossRef]
  13. Ivansson, S.M. Anechoic coatings obtained from two- and three-dimensional monopole resonance diffraction gratings. J. Acoust. Soc. Am. 2012, 131, 2622–2637. [Google Scholar] [CrossRef] [PubMed]
  14. Sun, W.; Liu, B.; Yan, X.; Li, Y. Modeling and simulation of underwater acoustic absorption properties of novel macroporous resins-elastomer thin coatings. Adv. Mater. Res. 2014, 881–883, 1070–1073. [Google Scholar] [CrossRef]
  15. Yang, H.; Li, Y.; Zhao, H.; Wen, J.; Wen, X. Acoustic anechoic layers with singly periodic array of scatterers: Computational methods, absorption mechanisms, and optimal design. Chin. Phys. B 2014, 23, 104304. [Google Scholar] [CrossRef]
  16. Zhong, J.; Wen, J.; Zhao, H.; Yin, J.; Yang, H. Effects of core position of locally resonant scatterers on low-frequency acoustic absorption in viscoelastic panel. Chin. Phys. B 2015, 24, 084301. [Google Scholar] [CrossRef]
  17. Gao, N.; Lu, K. An underwater metamaterial for broadband acoustic absorption at low frequency. Appl. Acoust. 2020, 169, 107500. [Google Scholar] [CrossRef]
  18. Weeratunge, H.; Shireen, Z.; Iyer, I.; Menzel, A.; Phillips, A.W.; Halgamuge, S.; Sandberg, R.; Hajizadeh, E. A machine learning accelerated inverse design of underwater acoustic polyurethane coatings. Struct. Multidiscip. Optim. 2022, 65, 213. [Google Scholar] [CrossRef]
  19. Jia, X.; Jin, G.; Shi, K.; Bu, C.; Ye, T. A hybrid acoustic structure for low-frequency and broadband underwater sound absorption. J. Low Freq. Noise Vib. Act. Control 2022, 41, 1160–1177. [Google Scholar] [CrossRef]
  20. Remillieux, M.C.; Burdisso, R.A. Vibro-acoustic response of an infinite, rib-stiffened, thick-plate assembly using finite-element analysis. J. Acoust. Soc. Am. 2012, 132, EL36–EL42. [Google Scholar] [CrossRef]
  21. Fu, X.; Jin, Z.; Yin, Y.; Liu, B. Sound absorption of a rib-stiffened plate covered by anechoic coatings. J. Acoust. Soc. Am. 2015, 137, 1551–1556. [Google Scholar] [CrossRef]
  22. Jin, Z.; Yin, Y.; Liu, B. Equivalent modulus method for finite element simulation of the sound absorption of anechoic coating backed with orthogonally rib-stiffened plate. J. Sound Vib. 2016, 366, 357–371. [Google Scholar] [CrossRef]
  23. Tao, M. Simplified model for predicting acoustic performance of an underwater sound absorption coating. J. Vib. Control 2014, 20, 339–354. [Google Scholar]
  24. Ye, C.; Liu, X.; Xin, F.; Lu, T.J. Influence of hole shape on sound absorption of underwater anechoic layers. J. Sound Vib. 2018, 426, 54–74. [Google Scholar] [CrossRef]
  25. Zhong, J.; Zhao, H.; Yang, H.; Wang, Y.; Yin, J.; Wen, J. Theoretical requirements and inverse design for broadband perfect absorption of low-frequency waterborne sound by ultrathin metasurface. Sci. Rep. 2019, 9, 1181. [Google Scholar] [CrossRef]
  26. Wang, Z.; Huang, Y.; Zhang, X.; Chen, M.; Fang, D. Broadband underwater sound absorbing structure with gradient cavity shaped polyurethane composite array supported by carbon fiber honeycomb. J. Sound Vib. 2020, 479, 115375. [Google Scholar] [CrossRef]
  27. Zhang, Z.; Huang, Y.; Huang, Q. Low-frequency broadband absorption of underwater composite anechoic coating with periodic subwavelength arrays of shunted piezoelectric patches. Compos. Struct. 2019, 216, 449–463. [Google Scholar] [CrossRef]
  28. Zhang, Z.; Li, S.; Wang, J.; Huang, Q. Low-frequency broadband absorption of semi-active composite anechoic coating with subwavelength piezoelectric arrays in hydrostatic environments. Results Phys. 2021, 30, 104879. [Google Scholar] [CrossRef]
  29. Li, L.; Zhang, Z.; Huang, Q.; Li, S. A sandwich anechoic coating embedded with a micro-perforated panel in high-viscosity condition for underwater sound absorption. Compos. Struct. 2020, 235, 111761. [Google Scholar] [CrossRef]
  30. Zhang, Z.; Li, Z.; Li, T.; Huang, Q. A novel semi-analytical approach for predicting the sound absorptions of a new underwater composite coating with transversely arranged SWCNTs. Compos. Struct. 2021, 274, 114335. [Google Scholar] [CrossRef]
  31. Shi, K.; Jin, G.; Liu, R.; Ye, T.; Xue, Y. Underwater sound absorption performance of acoustic metamaterials with multilayered locally resonant scatterers. Results Phys. 2019, 12, 132–142. [Google Scholar] [CrossRef]
  32. Sharma, G.S.; Skvortsov, A.; MacGillivray, I.; Kessissoglou, N. Acoustic performance of periodic steel cylinders embedded in a viscoelastic medium. J. Sound Vib. 2019, 443, 652–665. [Google Scholar] [CrossRef]
  33. Wang, T.; Liu, J.; Chen, M. Underwater sound absorption of a meta-absorption layer with double negativity. Appl. Acoust. 2021, 181, 108182. [Google Scholar] [CrossRef]
  34. Du, G.; Zhu, Z.; Gong, X. Fundamentals of Acoustics, 3rd ed.; Nanjing University Press: Nanjing, China, 2012. (In Chinese) [Google Scholar]
Figure 1. Schematic diagram and service conditions of the present composite coating.
Figure 1. Schematic diagram and service conditions of the present composite coating.
Jmse 11 01671 g001
Figure 2. Exponential waveguide approximation for layer 2: (a) direct equivalent, (b) subdomain splitting equivalent.
Figure 2. Exponential waveguide approximation for layer 2: (a) direct equivalent, (b) subdomain splitting equivalent.
Jmse 11 01671 g002
Figure 3. Schematic diagram of the partial bonding state between the anechoic coating and a submersible.
Figure 3. Schematic diagram of the partial bonding state between the anechoic coating and a submersible.
Jmse 11 01671 g003
Figure 4. Convergence determination of subdomain splitting in non-uniform layer L2: (a) effect of the stratified number on global sound absorption characteristics and the change in sound-absorbing increment; (b) convergence judgment of the bi-index introduced.
Figure 4. Convergence determination of subdomain splitting in non-uniform layer L2: (a) effect of the stratified number on global sound absorption characteristics and the change in sound-absorbing increment; (b) convergence judgment of the bi-index introduced.
Jmse 11 01671 g004
Figure 5. Acoustic-structure fully coupled FE modeling of the present composite coating in semi-bonded state: (a) multi-physics geometry, (b) mesh generation.
Figure 5. Acoustic-structure fully coupled FE modeling of the present composite coating in semi-bonded state: (a) multi-physics geometry, (b) mesh generation.
Jmse 11 01671 g005
Figure 6. Comparison of theoretical predictions with FE simulation results for global sound absorption of the composite anechoic coating in semi-bonded state.
Figure 6. Comparison of theoretical predictions with FE simulation results for global sound absorption of the composite anechoic coating in semi-bonded state.
Jmse 11 01671 g006
Figure 7. Sound absorption experiment of the present coating in semi-bonded state: (a) prototyping of test specimen, (b) test sample preparation, and (c) sound absorption testing based on a hydroacoustic impedance tube platform.
Figure 7. Sound absorption experiment of the present coating in semi-bonded state: (a) prototyping of test specimen, (b) test sample preparation, and (c) sound absorption testing based on a hydroacoustic impedance tube platform.
Jmse 11 01671 g007
Figure 8. Comparison between theoretical predictions and experimental data of sound absorption characteristics for the composite anechoic coating in the semi-bonded state.
Figure 8. Comparison between theoretical predictions and experimental data of sound absorption characteristics for the composite anechoic coating in the semi-bonded state.
Jmse 11 01671 g008
Figure 9. Changes in global sound absorption coefficient and input impedance of the composite anechoic coating under different debonded states.
Figure 9. Changes in global sound absorption coefficient and input impedance of the composite anechoic coating under different debonded states.
Jmse 11 01671 g009
Figure 10. Sound absorption coefficients in the semi-bonded state vary with the density of each rubber layer: (a) ρ1, (b) ρ2, (c) ρ3, and (d) ρ4.
Figure 10. Sound absorption coefficients in the semi-bonded state vary with the density of each rubber layer: (a) ρ1, (b) ρ2, (c) ρ3, and (d) ρ4.
Jmse 11 01671 g010
Figure 11. Sound absorption characteristics in the semi-bonded state with respect to the Young’s modulus of each rubber layer: (a) E1, (b) E2, (c) E3, and (d) E4.
Figure 11. Sound absorption characteristics in the semi-bonded state with respect to the Young’s modulus of each rubber layer: (a) E1, (b) E2, (c) E3, and (d) E4.
Jmse 11 01671 g011
Figure 12. Sound absorption properties in the semi-bonded state as a function of the damping loss factor of each rubber layer: (a) η1, (b) η2, (c) η3, and (d) η4.
Figure 12. Sound absorption properties in the semi-bonded state as a function of the damping loss factor of each rubber layer: (a) η1, (b) η2, (c) η3, and (d) η4.
Jmse 11 01671 g012
Figure 13. Sound absorption coefficients in the semi-bonded state depending on the Poisson’s ratio of each rubber layer: (a) υ1, (b) υ2, (c) υ3, and (d) υ4.
Figure 13. Sound absorption coefficients in the semi-bonded state depending on the Poisson’s ratio of each rubber layer: (a) υ1, (b) υ2, (c) υ3, and (d) υ4.
Jmse 11 01671 g013
Figure 14. Sound absorption characteristics in the semi-bonded state in response to the thickness of each rubber layer: (a) h1, (b) h2, (c) h3, and (d) h4.
Figure 14. Sound absorption characteristics in the semi-bonded state in response to the thickness of each rubber layer: (a) h1, (b) h2, (c) h3, and (d) h4.
Jmse 11 01671 g014
Figure 15. Sound absorption properties in the semi-bonded state change with the lattice constants (lx = ly).
Figure 15. Sound absorption properties in the semi-bonded state change with the lattice constants (lx = ly).
Jmse 11 01671 g015
Figure 16. Sound absorption characteristics in the semi-bonded state as a function of cavity diameters: (a) d21, (b) d22, and (c) d3.
Figure 16. Sound absorption characteristics in the semi-bonded state as a function of cavity diameters: (a) d21, (b) d22, and (c) d3.
Jmse 11 01671 g016
Table 1. Physical parameters of the deterministic composite anechoic coating.
Table 1. Physical parameters of the deterministic composite anechoic coating.
Layer No.Material ParametersStructural Parameters
Material Abbr.Density
ρi (kg/m3)
Young’s Modulus
Ei (Pa)
Damping Loss Factor ηiPoisson’s Ratio υiCavity Diameter
di (mm)
Thickness
hi (mm)
L1SBR10399.60 × 10710.48/10
L2CPR12109.89 × 10710.40d21 = 12, d22 = 2420
L3CPR12109.89 × 10710.40d3 = 1630
L4NBR10561.45 × 1071.30.46/5
Disclaimer/Publisher’s Note: The statements, opinions and data contained in all publications are solely those of the individual author(s) and contributor(s) and not of MDPI and/or the editor(s). MDPI and/or the editor(s) disclaim responsibility for any injury to people or property resulting from any ideas, methods, instructions or products referred to in the content.

Share and Cite

MDPI and ACS Style

Zhang, Z.; Huang, Y.; Wang, J.; Li, Z.; Zhang, S.; Zhang, X. Global Sound Absorption Prediction for a Composite Coating Laid on an Underwater Submersible in Debonding States. J. Mar. Sci. Eng. 2023, 11, 1671. https://doi.org/10.3390/jmse11091671

AMA Style

Zhang Z, Huang Y, Wang J, Li Z, Zhang S, Zhang X. Global Sound Absorption Prediction for a Composite Coating Laid on an Underwater Submersible in Debonding States. Journal of Marine Science and Engineering. 2023; 11(9):1671. https://doi.org/10.3390/jmse11091671

Chicago/Turabian Style

Zhang, Zhifu, Yizhe Huang, Jiaxuan Wang, Zhuang Li, Shiyuan Zhang, and Xirui Zhang. 2023. "Global Sound Absorption Prediction for a Composite Coating Laid on an Underwater Submersible in Debonding States" Journal of Marine Science and Engineering 11, no. 9: 1671. https://doi.org/10.3390/jmse11091671

APA Style

Zhang, Z., Huang, Y., Wang, J., Li, Z., Zhang, S., & Zhang, X. (2023). Global Sound Absorption Prediction for a Composite Coating Laid on an Underwater Submersible in Debonding States. Journal of Marine Science and Engineering, 11(9), 1671. https://doi.org/10.3390/jmse11091671

Note that from the first issue of 2016, this journal uses article numbers instead of page numbers. See further details here.

Article Metrics

Back to TopTop