Differing Aspects of Free and Bound Waves in Obtaining Orbital Velocities from Surface Wave Records
Abstract
1. Introduction
2. Experiments and Methods
2.1. Laboratory Experiment
2.2. Numerical Simulation
2.3. Data Analysis
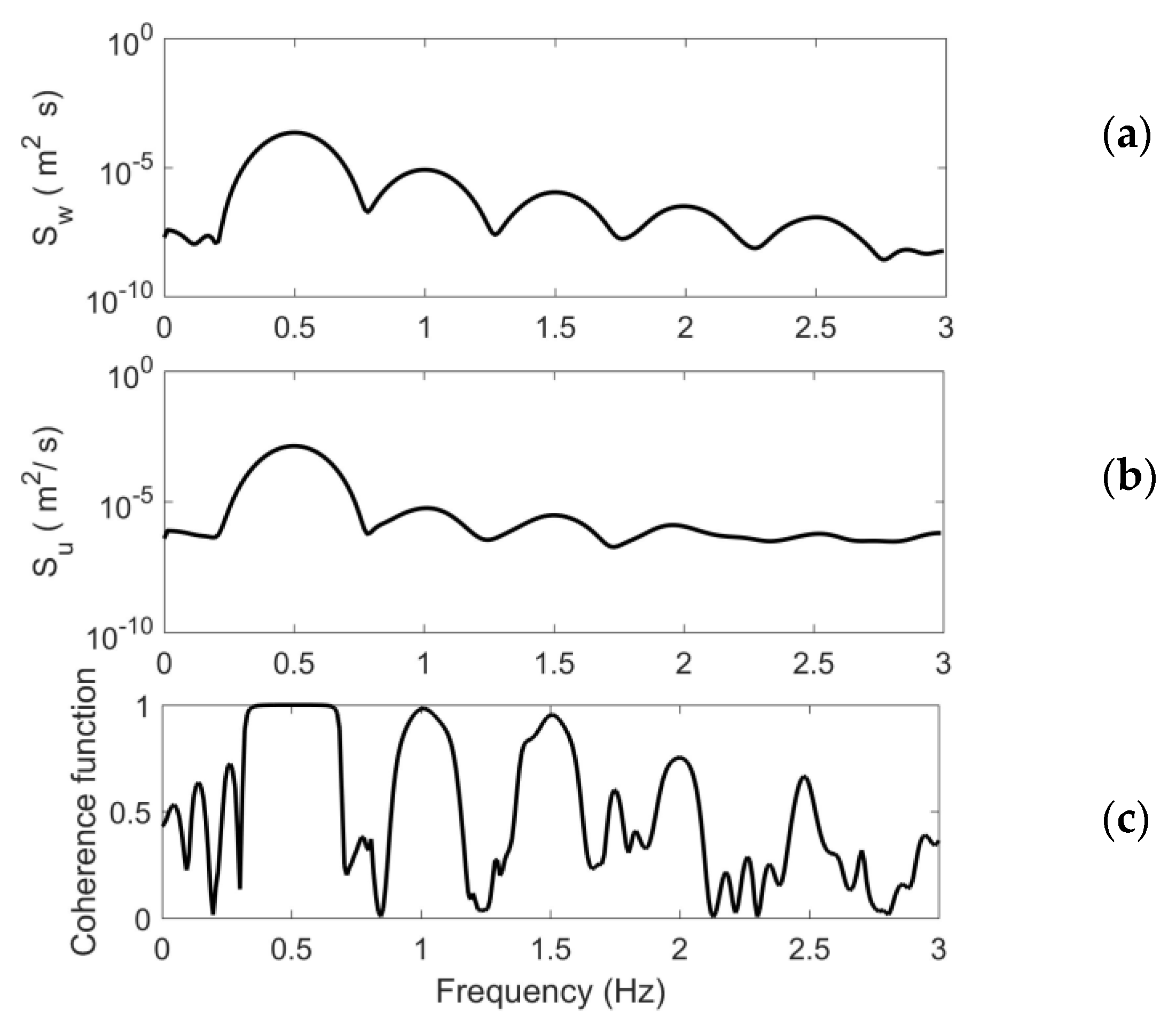
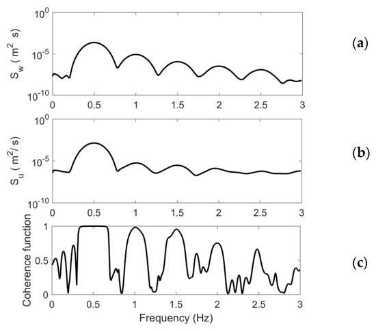
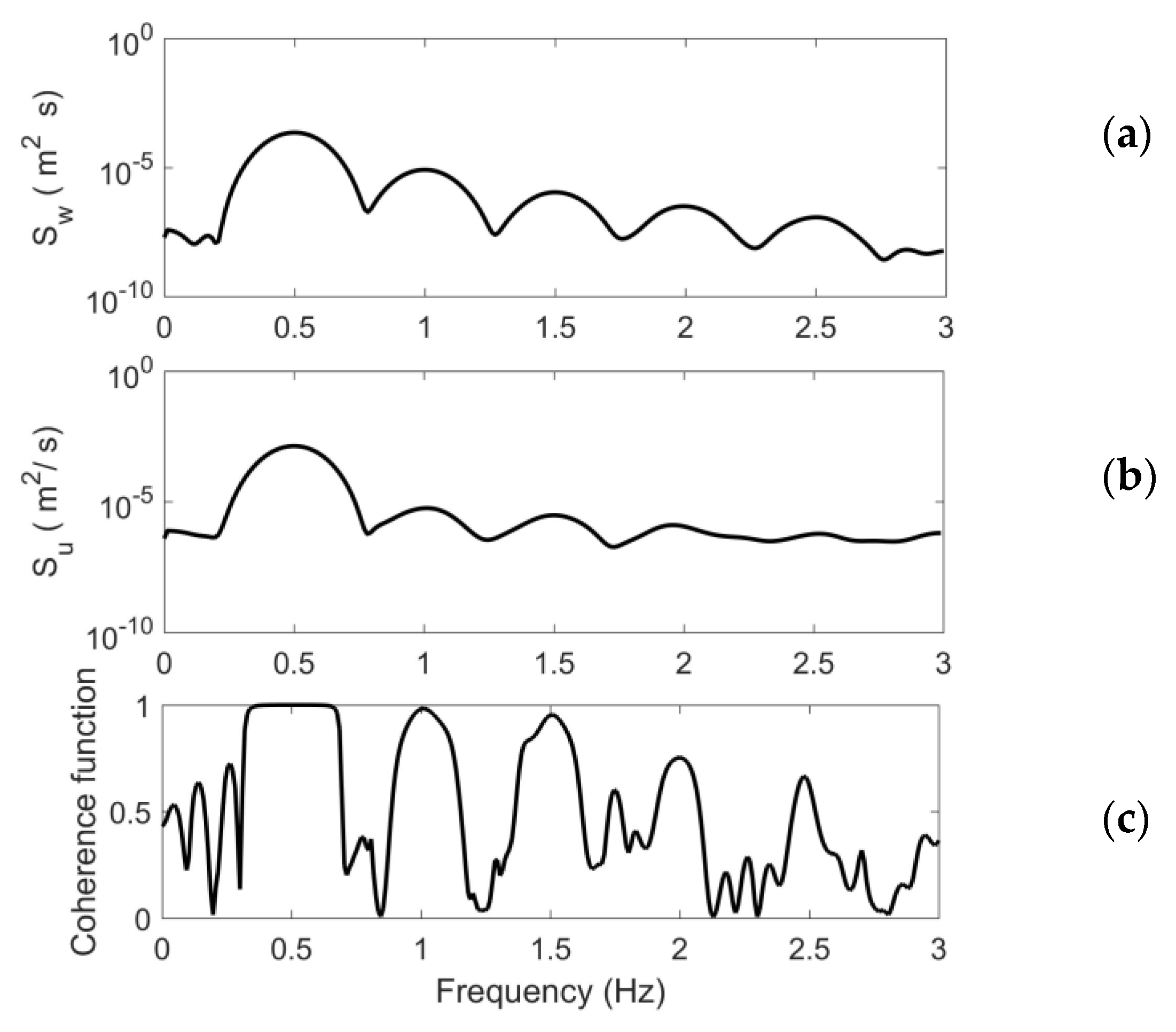
3. Results and Discussion
3.1. Laboratory Experiment
3.2. Modeling
4. Conclusions
Author Contributions
Funding
Data Availability Statement
Acknowledgments
Conflicts of Interest
References
- Bishop, C.T.; Donelan, M.A. Measuring waves with pressure transducers. Coast. Eng. 1987, 11, 309–328. [Google Scholar] [CrossRef]
- Herbers, T.H.C.; Lowe, R.L.; Guza, R.T. Field observations of orbital velocities and pressure in weakly nonlinear surface gravity waves. J. Fluid Mech. 1992, 245, 413–435. [Google Scholar] [CrossRef]
- Bailard, J. An energetics total load sediment transport model for a plane sloping beach. J. Geophys. Res. 1981, 86, 10938–10954. [Google Scholar] [CrossRef]
- Saprykina, Y. The Influence of Wave Nonlinearity on Cross-Shore Sediment Transport in Coastal Zone: Experimental Investigations. Appl. Sci. 2020, 10, 4087. [Google Scholar] [CrossRef]
- Camenen, B.; Larroudé, P. Comparison of sediment transport formulae for the coastal environment. Coast. Eng. 2003, 48, 111–132. [Google Scholar] [CrossRef]
- Abreu, T.; Silva, P.A.; Sancho, F.; Temperville, A. Analytical approximate wave form for asymmetric waves. Coast. Eng. 2010, 57, 656–667. [Google Scholar] [CrossRef]
- Ruessink, B.G.; Ramaekers, G.; van Rijn, L.C. On the parameterization of the free-stream non-linear wave orbital motion in nearshore morphodynamic models. Coast. Eng. 2012, 65, 56–63. [Google Scholar] [CrossRef]
- Shugan, I.; Kuznetsov, S.; Saprykina, Y.; Chen, Y.-Y. Physics of Traveling Waves in Shallow Water Environment. Water 2021, 13, 2990. [Google Scholar] [CrossRef]
- Hasselmann, K. On the nonlinear energy transfer in a gravity-wave spectrum. Part 1. General theory. J. Fluid Mech. 1962, 12, 481–500. [Google Scholar] [CrossRef]
- Madsen, P.A.; Sørensen, O.R. Bound waves and triad interactions in shallow water. Ocean. Eng. 1993, 20, 359–388. [Google Scholar] [CrossRef]
- Kuznetsov, S.; Saprykina, Y. Nonlinear Wave Transformation in Coastal Zone: Free and Bound Waves. Fluids 2021, 6, 347. [Google Scholar] [CrossRef]
- Drennan, W.M.; Kahma, K.K.; Donelan, M.A. The velocity field beneath wind-waves—Observations and inferences. Coast. Eng. 1992, 18, 111–136. [Google Scholar] [CrossRef]
- Alberello, A.; Chabchoub, A.; Gramstad, O.; Babanin, A.; Toffoli, A. Non-Gaussian properties of second-order wave orbital velocity. Coast. Eng. 2016, 110, 42–49. [Google Scholar] [CrossRef]
- You, Z.-J. The statistical distribution of near bed wave orbital velocity in intermediate coastal water depth. Coast. Eng. 2009, 56, 844–852. [Google Scholar] [CrossRef]
- Kirby, J.T.; Dalrymple, R.A. An approximate model for nonlinear dispersion in monochromatic wave propagation models. Coast. Eng. 1996, 9, 545–561. [Google Scholar] [CrossRef]
- Doering, J.C.; Bowen, A.J. Parametrization of orbital velocity asymmetries of shoaling and breaking waves using bispectral analysis. Coast. Eng. 1995, 26, 15–33. [Google Scholar] [CrossRef]
- Elfrink, B.; Hanes, D.; Ruessink, B.G. Parameterization and simulation of near bed orbital velocities under irregular waves in shallow water. Coast. Eng. 2006, 53, 915–927. [Google Scholar] [CrossRef]
- Rocha, M.V.L.; Michallet, H.; Silva, P.A. Improving the parameterization of wave nonlinearities—The importance of wave steepness, spectral bandwidth and beach slope. Coast. Eng. 2017, 121, 77–89. [Google Scholar] [CrossRef]
- Nam, P.T.; Staneva, J.; Thao, N.T.; Larson, M. Improved Calculation of Nonlinear Near-Bed Wave Orbital Velocity in Shallow Water: Validation against Laboratory and Field Data. J. Mar. Sci. Eng. 2020, 8, 81. [Google Scholar] [CrossRef]
- Malarkey, J.; Davies, A.G. Free-stream velocity descriptions under waves with skewness and asymmetry. Coast. Eng. 2012, 68, 78–95. [Google Scholar] [CrossRef]
- Saprykina, Y.V.; Shtremel, M.N.; Kuznetsov, S.Y. On the possibility of biphase parametrization for wave transformation in the coastal zone. Oceanology 2017, 57, 253–264. [Google Scholar] [CrossRef]
- Herbers, T.H.C.; Elgar, S.; Sarap, N.A.; Guza, R.T. Nonlinear dispersion of surface gravity waves in shallow water. J. Phys. Oceanogr. 2002, 32, 1181–1193. [Google Scholar] [CrossRef]
- Martins, K.; Bonneton, P.; Lannes, D.; Michallet, D. Relationship between Orbital Velocities, Pressure, and Surface Elevation in Nonlinear Nearshore Water Waves. J. Phys. Oceanogr. 2021, 51, 3539–3556. [Google Scholar] [CrossRef]
- Martins, K.; Bonneton, P.; de Viron, O.; Turner, I.L.; Harley, M.D.; Splinter, K. New Perspectives for Nonlinear Depth-Inversion of the Nearshore Using Boussinesq Theory. Geophys. Res. Lett. 2023, 50, 1944–8007. [Google Scholar] [CrossRef]
- SWASH. Available online: http://swash.sourceforge.net/download/zip/swashuse.pdf (accessed on 14 April 2023).
- Stelling, G.; Zijlema, M. An accurate and efficient finite-difference algorithm for non-hydrostatic free-surface flow with application to wave propagation. Int. J. Numer. Meth. Fluids 2003, 43, 1–23. [Google Scholar] [CrossRef]
- Zijlema, M.; Stelling, G.S. Further experiences with computing non-hydrostatic free-surface flows involving water waves. Int. J. Numer. Meth. Fluids 2005, 48, 169–197. [Google Scholar] [CrossRef]
- Zijlema, M.; Stelling, G.; Smit, P. SWASH: An operational public domain code for simulating wave fields and rapidly varied flows in coastal waters. Coast. Eng. 2011, 58, 992–1012. [Google Scholar] [CrossRef]
- Van Vledder, G.P.; Ruessink, G.; Rijnsdorp, D.P. Individual wave height distributions in the coastal zone: Measurements and simulations and the effect of directional spreading. In Proceedings of the 7th International Conference on Coastal Dynamics, Arcachon, France, 24–28 June 2013. [Google Scholar]
- Stelling, G.S.; Zijlema, M. Numerical modeling of wave propagation, breaking and run-up on a beach. Lect. Notes Comput. Sci. Eng. 2009, 71, 373–401. [Google Scholar]
- Guimarães, P.V.; Farina, L.; Toldo, E., Jr.; Diaz-Hernandez, G.; Akhmatskaya, E. Numerical simulation of extreme wave runup during storm events in Tramanda Beach, Rio Grande do Sul, Brazil. Coast. Eng. 2015, 95, 171–180. [Google Scholar] [CrossRef]
- Rijnsdorp, D.P.; Smit, P.B.; Zijlema, M.; Reniers, A.J.H.M. Efficient non-hydrostatic modelling of 3D wave-induced currents using a subgrid approach. Ocean Model. 2017, 116, 118–133. [Google Scholar] [CrossRef]
- Vyzikas, T.; Stagonas, D.; Maisondieu, C.; Greaves, D. Intercomparison of Three Open-Source Numerical Flumes for the Surface Dynamics of Steep Focused Wave Groups. Fluids 2021, 6, 9. [Google Scholar] [CrossRef]
- Xiaomin, L. Cross-Shore Velocity Moments in the Nearshore: Validating SWASH. TU Delft. 2015. Available online: http://resolver.tudelft.nl/uuid:6d64b611-7b9e-4235-ad57-a638188116b1 (accessed on 31 May 2023).
- Kuznetsov, S.Y.; Saprykina, Y.V.; Dulov, V.A.; Chukharev, A.M. Turbulence Induced by Storm Waves on Deep Water. Phys. Oceanogr. 2014, 5, 22–31. [Google Scholar] [CrossRef][Green Version]
- Marple, S.L. Digital Spectral Analysis with Applications; Prentice-Hall: Englewood Cliffs, NJ, USA, 1987. [Google Scholar]
- Dean, R.G.; Dalrymple, R.A. Water Wave Mechanics for Engineers and Scientists. In Advanced Series on Ocean Engineering; World Scientific: Singapore, 1991; 368p. [Google Scholar] [CrossRef]
- Saprykina, Y.V.; Kuznetsov, S.Y.; Shtremel, M.N.; Andreeva, N.K. Scenarios of nonlinear wave transformation in the coastal zone. Oceanology 2013, 53, 422–431. [Google Scholar] [CrossRef]












| No | Amplitude (a), m | Period, s | Wave Number (k), 1/m | kH | ak | Ursell Number Ur = (ak)/(kH)3 | Water Depth (H), m | Depths of Velocities Measurements (Distance from Bottom), m |
|---|---|---|---|---|---|---|---|---|
| 1 | 0.15 | 2 | 1.36 | 0.95 | 0.20 | 0.237 | 0.7 | 0.35, 0.43, 0.45, 0.47, 0.49, 0.51, 0.53, 0.55, and 0.61 |
| 2 | 0.075 | 2 | 1.36 | 0.95 | 0.10 | 0.118 | 0.7 | 0.43, 0.45, 0.47, 0.49, 0.51, 0.53, 0.55, 0.61, and 0.63 |
| 3 | 0.15 | 1.3 | 2.53 | 1.77 | 0.38 | 0.069 | 0.7 | 0.43, 0.45, 0.47, 0.49, 0.51, 0.53, and 0.55 |
| 4 | 0.18 | 1 | 4.11 | 2.26 | 0.74 | 0.064 | 0.55 | 0.31, 0.33, 0.35, 0.37, 0.39, 0.41, 0.43, 0.45, and 0.47 |
Disclaimer/Publisher’s Note: The statements, opinions and data contained in all publications are solely those of the individual author(s) and contributor(s) and not of MDPI and/or the editor(s). MDPI and/or the editor(s) disclaim responsibility for any injury to people or property resulting from any ideas, methods, instructions or products referred to in the content. |
© 2023 by the authors. Licensee MDPI, Basel, Switzerland. This article is an open access article distributed under the terms and conditions of the Creative Commons Attribution (CC BY) license (https://creativecommons.org/licenses/by/4.0/).
Share and Cite
Saprykina, Y.; Kuznetsov, S.; Aydogan, B.; Ayat, B.; Shtremel, M. Differing Aspects of Free and Bound Waves in Obtaining Orbital Velocities from Surface Wave Records. J. Mar. Sci. Eng. 2023, 11, 1479. https://doi.org/10.3390/jmse11081479
Saprykina Y, Kuznetsov S, Aydogan B, Ayat B, Shtremel M. Differing Aspects of Free and Bound Waves in Obtaining Orbital Velocities from Surface Wave Records. Journal of Marine Science and Engineering. 2023; 11(8):1479. https://doi.org/10.3390/jmse11081479
Chicago/Turabian StyleSaprykina, Yana, Sergey Kuznetsov, Burak Aydogan, Berna Ayat, and Margarita Shtremel. 2023. "Differing Aspects of Free and Bound Waves in Obtaining Orbital Velocities from Surface Wave Records" Journal of Marine Science and Engineering 11, no. 8: 1479. https://doi.org/10.3390/jmse11081479
APA StyleSaprykina, Y., Kuznetsov, S., Aydogan, B., Ayat, B., & Shtremel, M. (2023). Differing Aspects of Free and Bound Waves in Obtaining Orbital Velocities from Surface Wave Records. Journal of Marine Science and Engineering, 11(8), 1479. https://doi.org/10.3390/jmse11081479

