An Integrated Resilient Sediment Transport RIsk Management (IRSTRIM) Approach for Estuaries
Abstract
1. Introduction
2. Materials and Methods
2.1. Study Area
2.2. Resilient Sediment Transport Risk Management Approach
2.2.1. Study Area Assessment
2.2.2. Resilience Quantification
- Reaction Amplitude
- Recovery rate
- Graduality rate
- Tidal asymmetry index
- Saltwater intrusion vulnerability index
- Infill rate index
2.2.3. Numerical Simulation
- Management strategies
2.2.4. DSS Implementation
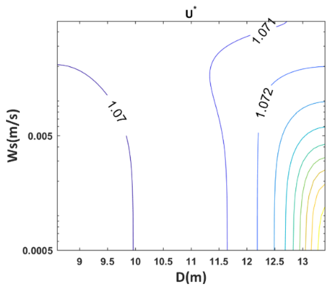
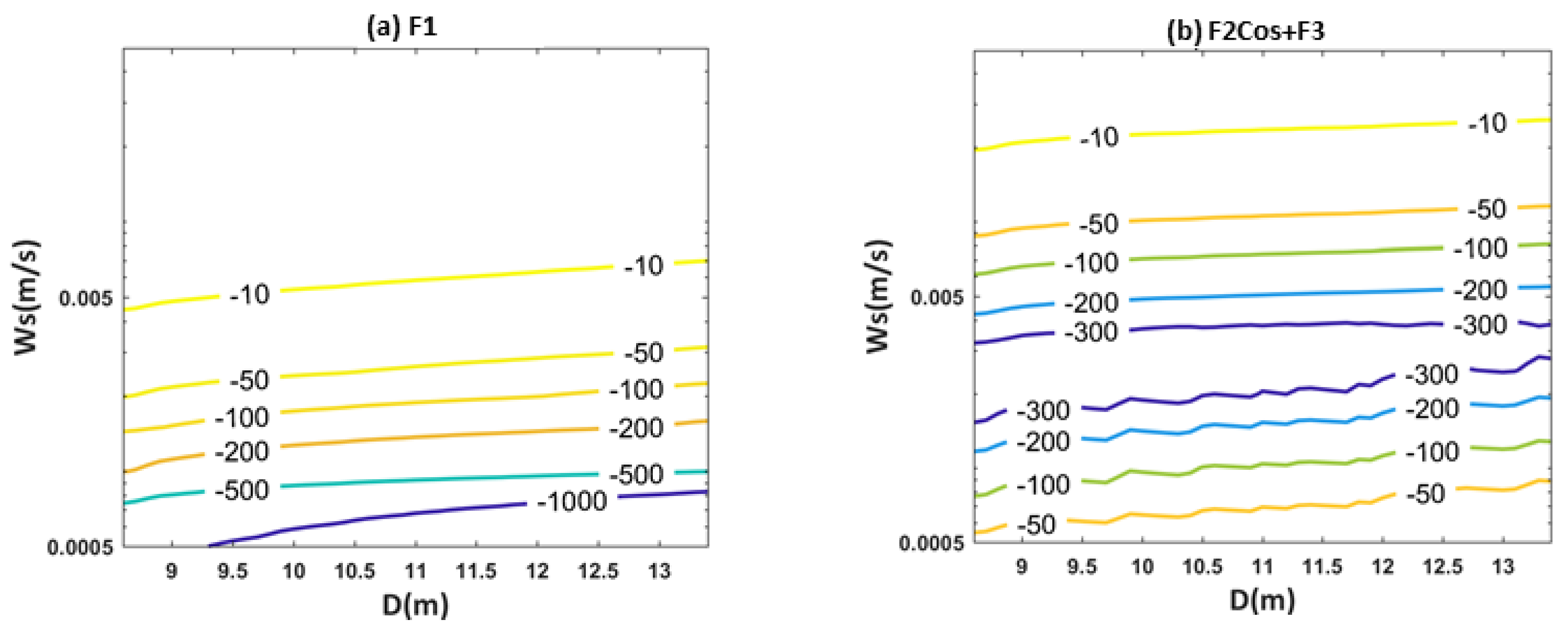
2.2.5. Sensitivity Analysis
3. Results and Discussion
3.1. Arvand Estuary Assessment
3.2. Numerical Simulation
- Implementation of Management Strategies
3.3. Resilience Quantification
- Reaction magnitude
- Recovery rate
- Graduality rate
- Tidal asymmetry index
- The salinity intrusion index
- Infill rate index
3.4. DSS Implementation
3.5. Sensitivity Analysis
4. Conclusions
Author Contributions
Funding
Institutional Review Board Statement
Informed Consent Statement
Data Availability Statement
Conflicts of Interest
Correction Statement
References
- Speirs, D.C.; Gurney, W.S. Population persistence in rivers and estuaries. Ecology 2001, 82, 1219–1237. [Google Scholar] [CrossRef]
- Teng, L.; Cheng, H.; Zhang, E.; Wang, Y. Lateral Variation of Tidal Mixing Asymmetry and Its Impact on the Longitudinal Sediment Transport in Turbidity Maximum Zone of Salt Wedge Estuary. J. Mar. Sci. Eng. 2022, 10, 907. [Google Scholar] [CrossRef]
- Zhou, Z.; Zhang, P.; Zhang, G.; Wang, S.; Cai, Y.; Wang, H. Vertical microplastic distribution in sediments of Fuhe River estuary to Baiyangdian Wetland in Northern China. Chemosphere 2021, 280, 130800. [Google Scholar] [CrossRef] [PubMed]
- Rudra, K.; Rudra, K. Rivers of the Ganga–Brahmaputra–Meghna Delta: An Overview. In Rivers of the Ganga-Brahmaputra-Meghna Delta: A Fluvial Account of Bengal; Springer International Publishing: Cham, Switzerland, 2018; pp. 1–14. [Google Scholar]
- Allison, M.; Kolker, A.; Meselhe, E. Water and sediment dynamics through the wetlands and coastal water bodies of large river deltaic plains. In Biogeochemical Dynamics at Major River-Coastal Interfaces; Cambridge University Press: Cambridge, UK, 2013; pp. 21–54. [Google Scholar]
- Liu, Z.C.; de Lange, W.; Bryan, K. Estuary rejuvenation in response to sea level rise: An example from Tairua Estuary, New Zealand. Geo-Mar. Lett. 2020, 40, 269–280. [Google Scholar] [CrossRef]
- Passeri, D.L.; Hagen, S.C.; Medeiros, S.C.; Bilskie, M.V.; Alizad, K.; Wang, D. The dynamic effects of sea level rise on low-gradient coastal landscapes: A review. Earth’s Future 2015, 3, 159–181. [Google Scholar] [CrossRef]
- Bolle, A.; Wang, Z.B.; Amos, C.; De Ronde, J. The influence of changes in tidal asymmetry on residual sediment transport in the Western Scheldt. Cont. Shelf Res. 2010, 30, 871–882. [Google Scholar] [CrossRef]
- Lagutov, V.; Lagutov, V. Through The Preservation Of The Ural River Sturgeon Habitats To Sustainable Watershed Management; Springer International Publishing: Cham, Switzerland, 2008. [Google Scholar]
- De Bruijn, K.M. Resilience strategies for flood risk Fmanagement under uncertainties. In Proceedings of the XI World Water Congress of IWRA, Madrid, Spain, 5–9 October 2003. [Google Scholar]
- Directive, W.F. Common implementation strategy for the water framework directive (2000/60/EC). In Guidance Document; European Commission: Brussels, Belgium, 2003; p. 7. [Google Scholar]
- Butler, D.; Ward, S.; Sweetapple, C.; Astaraie-Imani, M.; Diao, K.; Farmani, R.; Fu, G. Reliable, resilient and sustainable water management: The Safe & SuRe approach. Glob. Chall. 2017, 1, 63–77. [Google Scholar]
- Klein, R.J.; Nicholls, R.J.; Thomalla, F. Resilience to natural hazards: How useful is this concept? Glob. Environ. Change Part B Environ. Hazards 2003, 5, 35–45. [Google Scholar] [CrossRef]
- Izadi, M.; Hosseinian, S.H.; Dehghan, S.; Fakharian, A.; Amjady, N. A critical review on definitions, indices, and uncertainty characterization in resiliency-oriented operation of power systems. Int. Trans. Electr. Energy Syst. 2021, 31, e12680. [Google Scholar] [CrossRef]
- Holling, C.S. Resilience and stability of ecological systems. Annu. Rev. Ecol. Syst. 1973, 4, 1–23. [Google Scholar] [CrossRef]
- Walker, B.; Salt, D. Resilience Thinking: Sustaining Ecosystems and People in a Changing World; Island press: Washington, DC, USA, 2012. [Google Scholar]
- Brand, F.S.; Jax, K. Focusing the meaning (s) of resilience: Resilience as a descriptive concept and a boundary object. Ecol. Soc. 2007, 12, 16. [Google Scholar] [CrossRef]
- Hashimoto, T.; Stedinger, J.R.; Loucks, D.P. Reliability, resiliency, and vulnerability criteria for water resource system performance evaluation. Water Resour. Res. 1982, 18, 14–20. [Google Scholar] [CrossRef]
- Moy, W.S.; Cohon, J.L.; ReVelle, C.S. A programming model for analysis of the reliability, resilience, and vulnerability of a water supply reservoir. Water Resour. Res. 1986, 22, 489–498. [Google Scholar] [CrossRef]
- Chang, S.E.; Shinozuka, M. Measuring improvements in the disaster resilience of communities. Earthq. Spectra 2004, 20, 739–755. [Google Scholar] [CrossRef]
- Wang, C.-h.; Blackmore, J.M. Resilience concepts for water resource systems. J. Water Resour. Plan. Manag. 2009, 135, 528–536. [Google Scholar] [CrossRef]
- Izadi, A.; Yazdandoost, F.; Ranjbar, R. Asset-based assessment of resiliency in water distribution networks. Water Resour. Manag. 2020, 34, 1407–1422. [Google Scholar] [CrossRef]
- Yazdandoost, F.; Bozorgy, B. Flood risk management strategies using multi-criteria analysis. In Proceedings of the Institution of Civil Engineers-Water Management; Thomas Telford Ltd.: London, UK, 2008; pp. 261–266. [Google Scholar]
- Schultz, M.T.; McKay, S.K.; Hales, L.Z. The quantification and evolution of resilience in integrated coastal systems. In Environmental Science, Engineering; Springer: Cham, Switzerland, 2012. [Google Scholar]
- Alizad, K.; Morris, J.T.; Bilskie, M.V.; Passeri, D.L.; Hagen, S.C. Integrated Modeling of Dynamic Marsh Feedbacks and Evolution Under Sea-Level Rise in a Mesotidal Estuary (Plum Island, MA, USA). Water Resour. Res. 2022, 58, e2022WR032225. [Google Scholar] [CrossRef]
- Chen, J.; Di, Z.; Shi, J.; Shu, Y.; Wan, Z.; Song, L.; Zhang, W. Marine oil spill pollution causes and governance: A case study of Sanchi tanker collision and explosion. J. Clean. Prod. 2020, 273, 122978. [Google Scholar] [CrossRef]
- Dawson, R.J.; Hall, J.; Bates, P.; Nicholls, R. Quantified analysis of the probability of flooding in the Thames Estuary under imaginable worst-case sea level rise scenarios. Water Resour. Dev. 2005, 21, 577–591. [Google Scholar] [CrossRef]
- French, J. Tidal marsh sedimentation and resilience to environmental change: Exploratory modelling of tidal, sea-level and sediment supply forcing in predominantly allochthonous systems. Mar. Geol. 2006, 235, 119–136. [Google Scholar] [CrossRef]
- Goatley, C.H.; Bonaldo, R.M.; Fox, R.J.; Bellwood, D.R. Sediments and herbivory as sensitive indicators of coral reef degradation. Ecol. Soc. 2016, 21, 4628. [Google Scholar] [CrossRef]
- González-Riancho, P.; Gerkensmeier, B.; Ratter, B.M.; González, M.; Medina, R. Storm surge risk perception and resilience: A pilot study in the German North Sea coast. Ocean. Coast. Manag. 2015, 112, 44–60. [Google Scholar] [CrossRef]
- Lozenguez, G.; Castillo, P.S.; Desquesnes, G.; Doniec, A.; Duviella, É.; Akhi-Elarab, F.N.; Puig, V.; Rajaoarisoa, L. Management tools to study and to deal with effects of climate change on inland waterways. Acad. Open Internet J. 2018, hal-02150379. [Google Scholar]
- Pannozzo, N.; Leonardi, N.; Carnacina, I.; Smedley, R. Salt marsh resilience to sea-level rise and increased storm intensity. Geomorphology 2021, 389, 107825. [Google Scholar] [CrossRef]
- Rölfer, L.; Celliers, L.; Abson, D. Resilience and coastal governance: Knowledge and navigation between stability and transformation. Ecol. Soc. 2022, 27, 40. [Google Scholar] [CrossRef]
- Spiegler, S.; Bandy, R.; Currin, C.; Dorton, J.; Ellin, R.; Farnell, P.; Fear, J.; Gilchrist, E.; Glenn, D.; Hall, N. North Carolina Sentinel Site Cooperative: Report on the 2017 Partners Meeting; National Oceanic and Atmospheric Administration: Washington, DC, USA, 2017. [Google Scholar]
- Teng, F.; Shen, Q.; Huang, W.; Ginis, I.; Cai, Y. Characteristics of river flood and storm surge interactions in a tidal river in Rhode Island, USA. Procedia IUTAM 2017, 25, 60–64. [Google Scholar] [CrossRef]
- Zeldis, J.R.; Depree, C.; Gongol, C.; South, P.M.; Marriner, A.; Schiel, D.R. Trophic indicators of ecological resilience in a tidal lagoon estuary following wastewater diversion and earthquake disturbance. Estuaries Coasts 2020, 43, 223–239. [Google Scholar] [CrossRef]
- Hagen, S.C.; Morris, J.T.; Bacopoulos, P.; Weishampel, J.F. Sea-level rise impact on a salt marsh system of the lower St. Johns River. J. Waterw. Port Coast. Ocean. Eng. 2013, 139, 118–125. [Google Scholar] [CrossRef]
- Fiering, M.B. A screening model to quantify resilience. Water Resour. Res. 1982, 18, 27–32. [Google Scholar] [CrossRef]
- Maier, H.R.; Lence, B.J.; Tolson, B.A.; Foschi, R.O. First-order reliability method for estimating reliability, vulnerability, and resilience. Water Resour. Res. 2001, 37, 779–790. [Google Scholar] [CrossRef]
- Simonovic, S.P.; Li, L. Sensitivity of the Red River Basin flood protection system to climate variability and change. Water Resour. Manag. 2004, 18, 89–110. [Google Scholar] [CrossRef]
- Joyce, J.; Chang, N.-B.; Harji, R.; Ruppert, T. Coupling infrastructure resilience and flood risk assessment via copulas analyses for a coastal green-grey-blue drainage system under extreme weather events. Environ. Model. Softw. 2018, 100, 82–103. [Google Scholar] [CrossRef]
- De Bruijn, K.M. Resilience and Flood Risk Management: A Systems Approach Applied to Lowland Rivers; IOS Press: Amsterdam, The Netherlands, 2005. [Google Scholar]
- Carpenter, S.; Walker, B.; Anderies, J.M.; Abel, N. From metaphor to measurement: Resilience of what to what? Ecosystems 2001, 4, 765–781. [Google Scholar] [CrossRef]
- Hajiabadi, A.; Sakhdari, S.; Barati, R. Study of morphologic changes in the past and predicting future changes of border rivers (case study: Arvand River, Iran-Iraq Border Line). In Current Directions in Water Scarcity Research; Elsevier: Amsterdam, The Netherlands, 2022; Volume 7, pp. 153–163. [Google Scholar]
- Etemad-Shahidi, A.; Pirnia, M.; Moshfeghi, H.; Lemckert, C. Investigation of hydraulics transport time scales within the Arvand River estuary, Iran. Hydrol. Process. 2014, 28, 6006–6015. [Google Scholar] [CrossRef]
- UN-ESCWA; BGR. Inventory of Shared Water Resources in Western Asia; UN-ESCWA, BGR Beirut: Beirut, Lebanon, 2013. [Google Scholar]
- Haghighi, A.T.; Sadegh, M.; Bhattacharjee, J.; Sönmez, M.E.; Noury, M.; Yilmaz, N.; Noori, R.; Kløve, B. The impact of river regulation in the Tigris and Euphrates on the Arvandroud Estuary. Prog. Phys. Geogr. Earth Environ. 2020, 44, 948–970. [Google Scholar] [CrossRef]
- Etemad Shahidi, A.; Saburi, A.; Parsa, J. Control of salinity intrusion in Arvand estuary under different hydrological conditions. Iran-Water Resour. Res. 2011, 7, 50–60. [Google Scholar]
- Zahed, F.; Etemad-Shahidi, A.; Jabbari, E. Modeling of salinity intrusion under different hydrological conditions in the Arvand River Estuary. Can. J. Civ. Eng. 2008, 35, 1476–1480. [Google Scholar] [CrossRef]
- Prandle, D. How tides and river flows determine estuarine bathymetries. Prog. Oceanogr. 2004, 61, 1–26. [Google Scholar] [CrossRef]
- Friedrichs, C.T.; Aubrey, D.G. Tidal propagation in strongly convergent channels. J. Geophys. Res. Ocean. 1994, 99, 3321–3336. [Google Scholar] [CrossRef]
- Prandle, D. Estuaries: Dynamics, Mixing, Sedimentation and Morphology; Cambridge University Press: Cambridge, UK, 2009. [Google Scholar]
- Gilbert, G.K. Report on the Geology of the Henry Mountains; US Government Printing Office: Washington, DC, USA, 1880. [Google Scholar]
- Perillo, G.M. Geomorphology and sedimentology of estuaries: An introduction. In Developments in Sedimentology; Elsevier: Amsterdam, The Netherlands, 1995; Volume 53, pp. 1–16. [Google Scholar]
- Young, O.R. Institutional dynamics: Resilience, vulnerability and adaptation in environmental and resource regimes. Glob. Environ. Chang. 2010, 20, 378–385. [Google Scholar] [CrossRef]
- Godin, G. Frictional effects in river tides. Tidal Hydrodyn. 1991, 379, 402. [Google Scholar]
- Guo, L.; Van der Wegen, M.; Roelvink, J.; He, Q. The role of river flow and tidal asymmetry on 1-D estuarine morphodynamics. J. Geophys. Res. Earth Surf. 2014, 119, 2315–2334. [Google Scholar] [CrossRef]
- Guo, L.; van der Wegen, M.; Jay, D.A.; Matte, P.; Wang, Z.B.; Roelvink, D.; He, Q. River-tide dynamics: Exploration of nonstationary and nonlinear tidal behavior in the Y angtze R iver estuary. J. Geophys. Res. Ocean. 2015, 120, 3499–3521. [Google Scholar] [CrossRef]
- Gatto, V.M.; van Prooijen, B.C.; Wang, Z.B. Net sediment transport in tidal basins: Quantifying the tidal barotropic mechanisms in a unified framework. Ocean. Dyn. 2017, 67, 1385–1406. [Google Scholar] [CrossRef]
- Guo, L.; van der Wegen, M.; Wang, Z.B.; Roelvink, D.; He, Q. Exploring the impacts of multiple tidal constituents and varying river flow on long-term, large-scale estuarine morphodynamics by means of a 1-D model. J. Geophys. Res. Earth Surf. 2016, 121, 1000–1022. [Google Scholar] [CrossRef]
- Postma, H. Tidal flat areas. In Coastal-Offshore Ecosystem Interactions; Springer: Cham, Switzerland, 1988; pp. 102–121. [Google Scholar]
- Dronkers, J. Tidal asymmetry and estuarine morphology. Neth. J. Sea Res. 1986, 20, 117–131. [Google Scholar] [CrossRef]
- Friedrichs, C.T.; Aubrey, D.G. Non-linear tidal distortion in shallow well-mixed estuaries: A synthesis. Estuar. Coast. Shelf Sci. 1988, 27, 521–545. [Google Scholar] [CrossRef]
- Wang, Z.; Jeuken, C.; De Vriend, H.; Stive, M. Tidal Asymmetry and Residual Sediment Transport in Estuaries: A Literature Study and Application to the Western Scheldt; University of California: California, LA, USA, 1999. [Google Scholar]
- Winterwerp, J.C. Fine sediment transport by tidal asymmetry in the high-concentrated Ems River: Indications for a regime shift in response to channel deepening. Ocean. Dyn. 2011, 61, 203–215. [Google Scholar] [CrossRef]
- Wang, Z.B.; Jeuken, M.; Gerritsen, H.; De Vriend, H.; Kornman, B. Morphology and asymmetry of the vertical tide in the Westerschelde estuary. Cont. Shelf Res. 2002, 22, 2599–2609. [Google Scholar] [CrossRef]
- Zakipour, M.; Yazdandoost, F.; Farhangmehr, A.; Alizad, K. An investigation into the effects of tidal barrier operation on the tidal asymmetry in the Arvand Estuary. J. Hydraul. Struct. 2023, 9, 1–17. [Google Scholar]
- Brenon, I.; Le Hir, P. Modelling the turbidity maximum in the Seine estuary (France): Identification of formation processes. Estuar. Coast. Shelf Sci. 1999, 49, 525–544. [Google Scholar] [CrossRef]
- Scully, M.E.; Friedrichs, C.T. Sediment pumping by tidal asymmetry in a partially mixed estuary. J. Geophys. Res. Ocean. 2007, 112, C07028. [Google Scholar] [CrossRef]
- Toublanc, F.; Brenon, I.; Coulombier, T. Formation and structure of the turbidity maximum in the macrotidal Charente estuary (France): Influence of fluvial and tidal forcing. Estuar. Coast. Shelf Sci. 2016, 169, 1–14. [Google Scholar] [CrossRef]
- van Maanen, B.; Sottolichio, A. Hydro-and sediment dynamics in the Gironde estuary (France): Sensitivity to seasonal variations in river inflow and sea level rise. Cont. Shelf Res. 2018, 165, 37–50. [Google Scholar] [CrossRef]
- Jalón-Rojas, I.; Schmidt, S.; Sottolichio, A.; Bertier, C. Tracking the turbidity maximum zone in the Loire Estuary (France) based on a long-term, high-resolution and high-frequency monitoring network. Cont. Shelf Res. 2016, 117, 1–11. [Google Scholar] [CrossRef]
- Pritchard, M.; Green, M. Trapping and episodic flushing of suspended sediment from a tidal river. Cont. Shelf Res. 2017, 143, 286–294. [Google Scholar] [CrossRef]
- Morris, A.; Loring, D.; Bale, A.; Howland, R.; Mantoura, R.; Woodward, E. Particle dynamics, particulate carbon and the oxygen minimum in an estuary. Oceanol. Acta 1982, 5, 349–353. [Google Scholar]
- Uncles, R.; Joint, I.; Stephens, J. Transport and retention of suspended particulate matter and bacteria in the Humber-Ouse Estuary, United Kingdom, and their relationship to hypoxia and anoxia. Estuaries 1998, 21, 597–612. [Google Scholar] [CrossRef]
- Etcheber, H.; Taillez, A.; Abril, G.; Garnier, J.; Servais, P.; Moatar, F.; Commarieu, M.-V. Particulate organic carbon in the estuarine turbidity maxima of the Gironde, Loire and Seine estuaries: Origin and lability. Hydrobiologia 2007, 588, 245–259. [Google Scholar] [CrossRef]
- Rigter, B.P. Minimum length of salt intrusion in estuaries. J. Hydraul. Div. 1973, 99, 1475–1496. [Google Scholar] [CrossRef]
- Prandle, D. On salinity regimes and the vertical structure of residual flows in narrow tidal estuaries. Estuar. Coast. Shelf Sci. 1985, 20, 615–635. [Google Scholar] [CrossRef]
- Neumeier, U.; Ciavola, P. Flow resistance and associated sedimentary processes in a Spartina maritima salt-marsh. J. Coast. Res. 2004, 20, 435–447. [Google Scholar] [CrossRef]
- Liu, B.; Chen, Y.; Cai, T.; Li, Y.; Sun, L. Estimating Waves and Currents at the Saltmarsh Edge Using Acoustic Doppler Velocimeter Data. Front. Mar. Sci. 2021, 987, 708116. [Google Scholar] [CrossRef]
- Knutson, P.L.; Inskeep, M.R. Shore Erosion Control with Salt Marsh Vegetation; Coastal Engineering Research Center: Fort Belvoir VA, USA, 1982. [Google Scholar]
- Adnitt, C. Saltmarsh Management Manual. Joint Defra/Environment Agency Flood and Coastal Erosion Risk Management R&D Programme; Technical Report SC030220, UK. 2007. Available online: http://cdn.environment-agency.gov.uk. (accessed on 13 March 2023).
- Jordan, P.; Fröhle, P. Bridging the gap between coastal engineering and nature conservation? A review of coastal ecosystems as nature-based solutions for coastal protection. J. Coast. Conserv. 2022, 26, 4. [Google Scholar] [CrossRef]
- Keeney, R.L.; Raiffa, H. Decision Analysis with Multiple Conflicting Objectives; Wiley& Sons: New York, NY, USA, 1976. [Google Scholar]
- Yazdandoost, F.; Izadi, A. A decision-making framework for designing water distribution networks based on multi-objective optimisation. Int. J. Multicriteria Decis. Mak. 2016, 6, 269–289. [Google Scholar] [CrossRef]
- Etemad-Shahidi, A.; Parsa, J.; Hajiani, M. Salinity intrusion length: Comparison of different approaches. In Proceedings of the Institution of Civil Engineers-Maritime Engineering; Thomas Telford Ltd.: London, UK, 2011; pp. 33–42. [Google Scholar]
- Etemad-Shahidi, A.; Rohani, M.; Parsa, J.; Lemckert, C. Effects of sea level rise on the salinity of Bahmanshir estuary. Int. J. Environ. Sci. Technol. 2015, 12, 3329–3340. [Google Scholar] [CrossRef]
- Khojasteh, D.; Lewis, M.; Tavakoli, S.; Farzadkhoo, M.; Felder, S.; Iglesias, G.; Glamore, W. Sea level rise will change estuarine tidal energy: A review. Renew. Sustain. Energy Rev. 2022, 156, 111855. [Google Scholar] [CrossRef]
- Pekel, J.-F.; Cottam, A.; Gorelick, N.; Belward, A.S. High-resolution mapping of global surface water and its long-term changes. Nature 2016, 540, 418–422. [Google Scholar] [CrossRef]
- Hakimdavar, R.; Hubbard, A.; Policelli, F.; Pickens, A.; Hansen, M.; Fatoyinbo, T.; Lagomasino, D.; Pahlevan, N.; Unninayar, S.; Kavvada, A. Monitoring water-related ecosystems with earth observation data in support of Sustainable Development Goal (SDG) 6 reporting. Remote Sens. 2020, 12, 1634. [Google Scholar] [CrossRef]
- Weatherall, P.; Marks, K.M.; Jakobsson, M.; Schmitt, T.; Tani, S.; Arndt, J.E.; Rovere, M.; Chayes, D.; Ferrini, V.; Wigley, R. A new digital bathymetric model of the world’s oceans. Earth Space Sci. 2015, 2, 331–345. [Google Scholar] [CrossRef]
- Huang, H.; Chen, C.; Blanton, J.O.; Andrade, F.A. A numerical study of tidal asymmetry in Okatee Creek, South Carolina. Estuar. Coast. Shelf Sci. 2008, 78, 190–202. [Google Scholar] [CrossRef]
- Alizad, K.; Hagen, S.C.; Medeiros, S.C.; Bilskie, M.V.; Morris, J.T.; Balthis, L.; Buckel, C.A. Dynamic responses and implications to coastal wetlands and the surrounding regions under sea level rise. PLoS ONE 2018, 13, e0205176. [Google Scholar] [CrossRef]
- PIANC, P. Approach channels a guide for design. Bulletin 1997, 95, 108. [Google Scholar]
- Colby, L.H.; Maycock, S.D.; Nelligan, F.A.; Pocock, H.J.; Walker, D.J. An investigation into the effect of dredging on tidal asymmetry at the river murray mouth. J. Coast. Res. 2010, 26, 843–850. [Google Scholar] [CrossRef]
- Rahman, M.; Ali, M.S. Morphological response of the Pussur River, Bangladesh to modern-day dredging: Implications for navigability. J. Asian Earth Sci. X 2022, 7, 100088. [Google Scholar] [CrossRef]










| Scenarios | Amplitude (ton/year) | Recovery Rate (kg/m3.h) | Graduality | TAI | Salinity Index (km) | Infill Rate (m/year) |
|---|---|---|---|---|---|---|
| Do Nothing | 215.233 | NaN | 1.000 | 0.341 | 21.154 | 0.088 |
| Dredging | 334.044 | 0.146 | 0.706 | 0.184 | 20.651 | 0.096 |
| Wetland | 168.330 | 0.120 | 0.891 | 0.310 | 22.321 | 0.065 |
| TB | 4.547 | 0.090 | 0.675 | 0.167 | 23.299 | 0.045 |
| Amplitude | Recovery Rate | Graduality | Infill Rate | Asymmetry | Salinity Index |
|---|---|---|---|---|---|
| 0.29 | 0.087 | 0.13 | 0.14 | 0.23 | 0.12 |
| Ranking | Conditions | Amplitude (ton/year) | Recovery Rate (kg/m3.h) | Graduality | Infill Rate (m/year) | TAI | Salinity Index (km) | TOPSIS Results |
|---|---|---|---|---|---|---|---|---|
| 1 | TB | 0.01 | 0.49 | 0.56 | 0.32 | 0.32 | 0.60 | 0.80 |
| 2 | Wetland | 0.39 | 0.66 | 0.74 | 0.46 | 0.59 | 0.57 | 0.48 |
| 3 | Do Nothing | 0.50 | 0.00 | 0.00 | 0.62 | 0.65 | 0.54 | 0.31 |
| 4 | Dredging | 0.77 | 0.80 | 0.59 | 0.68 | 0.35 | 0.53 | 0.28 |
Disclaimer/Publisher’s Note: The statements, opinions and data contained in all publications are solely those of the individual author(s) and contributor(s) and not of MDPI and/or the editor(s). MDPI and/or the editor(s) disclaim responsibility for any injury to people or property resulting from any ideas, methods, instructions or products referred to in the content. |
© 2023 by the authors. Licensee MDPI, Basel, Switzerland. This article is an open access article distributed under the terms and conditions of the Creative Commons Attribution (CC BY) license (https://creativecommons.org/licenses/by/4.0/).
Share and Cite
Zakipour, M.; Yazdandoost, F.; Alizad, K.; Izadi, A.; Farhangmehr, A. An Integrated Resilient Sediment Transport RIsk Management (IRSTRIM) Approach for Estuaries. J. Mar. Sci. Eng. 2023, 11, 1471. https://doi.org/10.3390/jmse11071471
Zakipour M, Yazdandoost F, Alizad K, Izadi A, Farhangmehr A. An Integrated Resilient Sediment Transport RIsk Management (IRSTRIM) Approach for Estuaries. Journal of Marine Science and Engineering. 2023; 11(7):1471. https://doi.org/10.3390/jmse11071471
Chicago/Turabian StyleZakipour, Mina, Farhad Yazdandoost, Karim Alizad, Ardalan Izadi, and Aref Farhangmehr. 2023. "An Integrated Resilient Sediment Transport RIsk Management (IRSTRIM) Approach for Estuaries" Journal of Marine Science and Engineering 11, no. 7: 1471. https://doi.org/10.3390/jmse11071471
APA StyleZakipour, M., Yazdandoost, F., Alizad, K., Izadi, A., & Farhangmehr, A. (2023). An Integrated Resilient Sediment Transport RIsk Management (IRSTRIM) Approach for Estuaries. Journal of Marine Science and Engineering, 11(7), 1471. https://doi.org/10.3390/jmse11071471

