Influence of Excavation Pits on the Wave Hydrodynamics of Fringing Reefs under Regular Waves
Abstract
1. Introduction
2. Numerical Wave Solver
3. Model Calibration
4. Discussions on Research Findings
4.1. Complex Wave Hydrodynamics
4.2. Effects of Wave Height
4.3. Effects of Submergence Water Depth
4.4. Effects of Wave Period
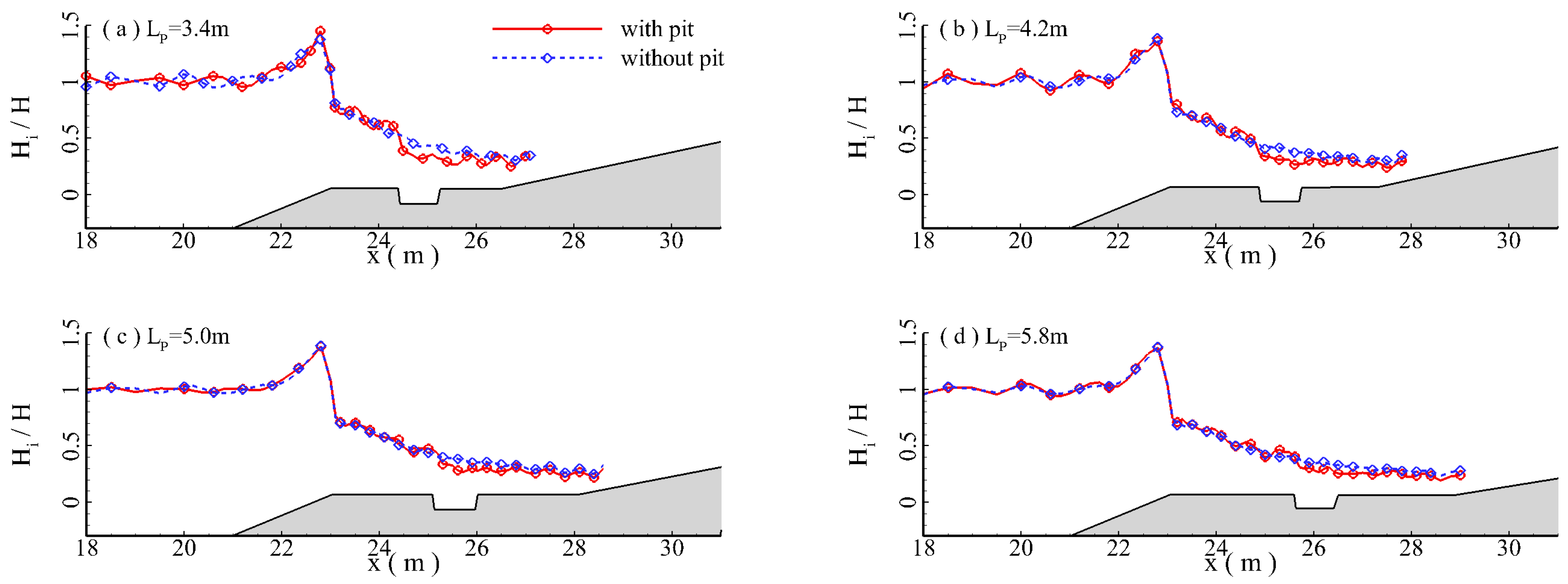
4.5. Effects of Reef-Flat Length
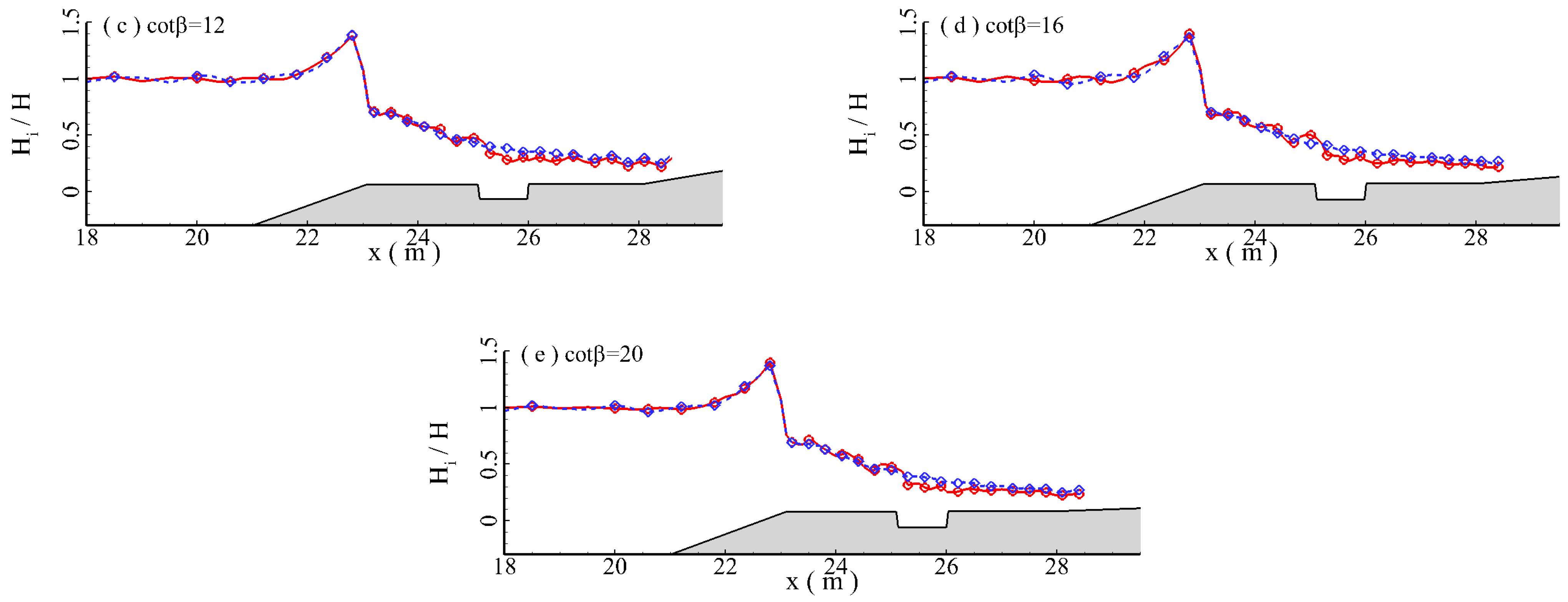
4.6. Effects of Forereef Slope and Backreef Slope
4.7. Effects of Pit Location
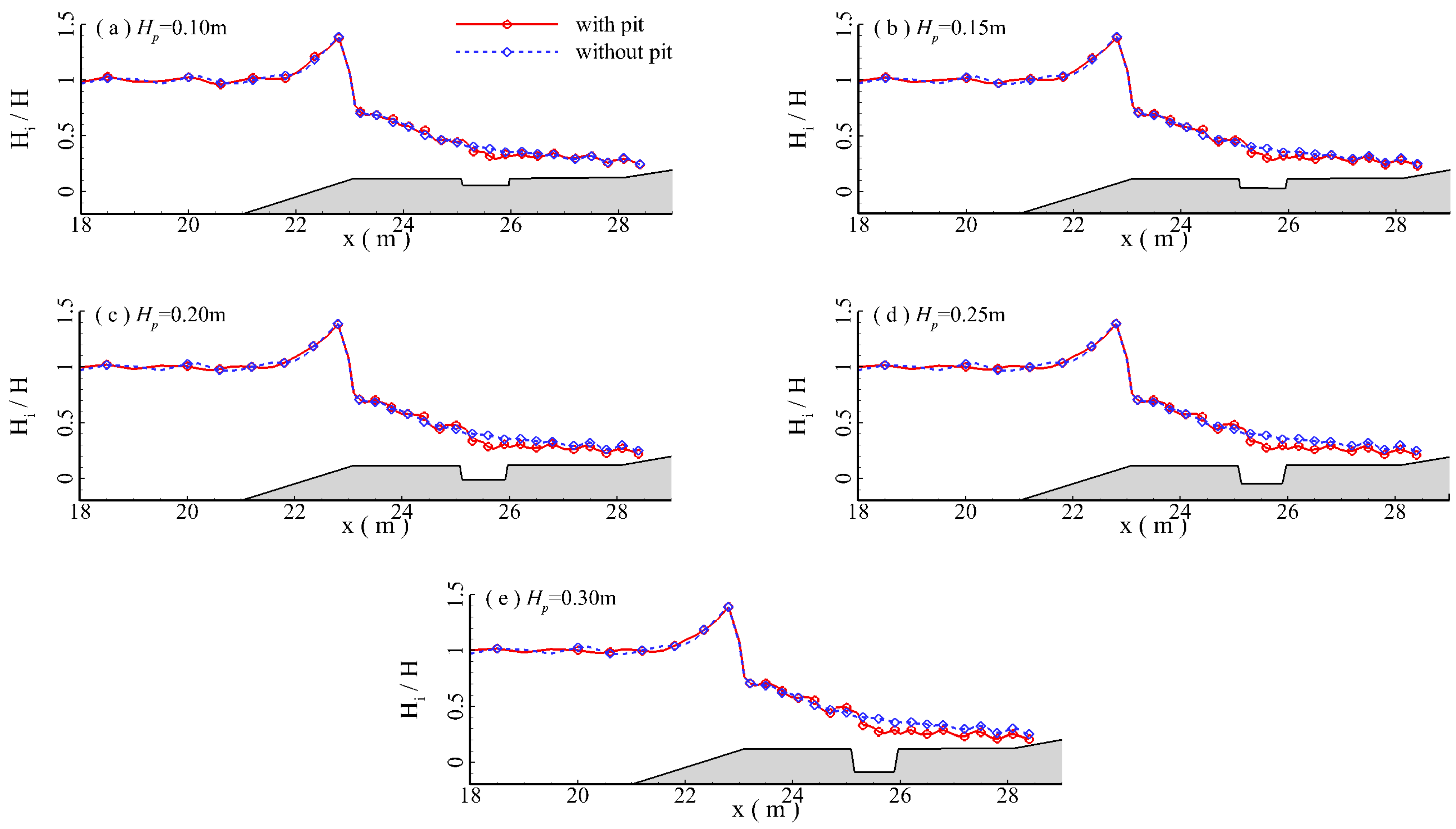
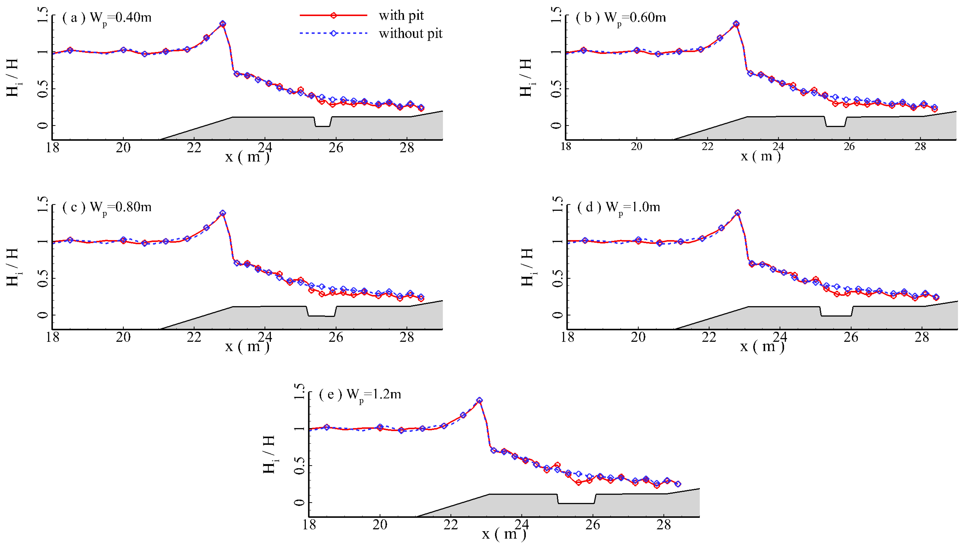
4.8. Effects of Artificial Pit Depth and Width
5. Concluding Remarks
- (1)
- The artificial pit can impose additional blocking impacts on the breaking surge waves, which results in an increase in the wave reflection coefficient. The time-mean maximum of the wave runup height of regular waves at fringing reefs with an artificial pit can be somewhat increased. Meanwhile, the time-mean wave height around the artificial pit decreases. However, the artificial pit has negligible influences on the spatial distribution of the time-mean water level.
- (2)
- The decreasing range of time-mean wave height upstream of the artificial pit gradually grows with the wave height. Within the range of wave heights considered, the time-mean maximum of wave runup height at the fringing reef with the artificial pit is 13.3% lower on average than that at the reef without the pit. Only when the is relatively small can the artificial pit increase the wave setup to some extent. As the wave period gradually increases, the decreasing rate of the time-mean maximum of wave runup height at the fringing reef with the artificial pit increases as well, indicating that the artificial pit tends to have greater impact on the wave hydrodynamics of long waves.
- (3)
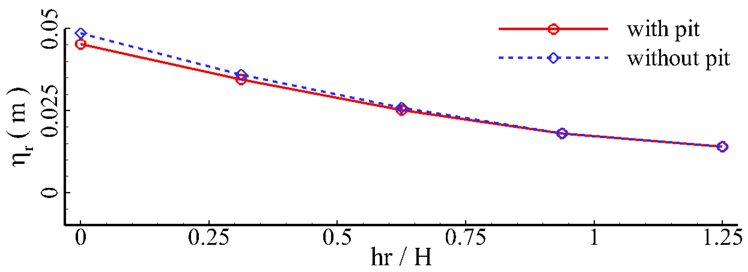
- The influences of the artificial pit on the wave setup under different forereef slopes and backreef slopes can be ignored. When the forereef slope and backreef slope are relatively mild, the influences of the artificial pit on the wave reflection can become more apparent. Within the range of the forereef slopes and backreef slopes considered, the time-mean maximum of the wave runup heights of regular waves at the fringing reef with the artificial pit can be decreased by 13.5% and 12.5%, respectively. The distribution of time-mean wave height and wave reflection can be significantly impacted by the artificial pit when it is located at the reef edge. When the artificial pit is located at the reef edge, the time-mean wave height can be reduced significantly, and the wave reflection coefficient can be significantly increased. Once the artificial pit is moved downstream a little bit, the impact of the artificial pit on the hydrodynamics of the fringing reef becomes negligible.
- (4)
- The geometric dimensions of the artificial pit have some influence on the hydrodynamics of the fringing reef. When the artificial pit is shallow, the artificial pit has limited influence on the spatial distribution of the time-mean wave height. The time-mean wave height can be reduced only a little bit at the central region of the artificial pit. As artificial pit depth increases gradually, the influence degree of the artificial pit depth on the space distribution of the time-mean wave height also gradually increases, and the influence range gradually increases as well. The same findings can also be applied for artificial pit width. Variations in the artificial pit depth and artificial pit width have very limited impact on the wave reflection coefficient and wave setup. Although the time-mean maximum of wave runup will somewhat decrease with artificial pit depth, a change in artificial pit width has no apparent impact on the time-mean maximum of wave runup height.
Author Contributions
Funding
Institutional Review Board Statement
Informed Consent Statement
Data Availability Statement
Conflicts of Interest
References
- Gourlay, M.R. Wave set-up on coral reefs. 1. Set-up and wave-generated flow on an idealised two-dimensional reef. Coast. Eng. 1996, 27, 161–193. [Google Scholar] [CrossRef]
- Hardy, T.A.; Young, I.R. Field study of wave attenuation on an offshore coral reef. J. Geophys. Res. 1996, 101, 14311–14326. [Google Scholar] [CrossRef]
- Lowe, R.J.; Falter, J.L.; Bandet, M.D.; Pawlak, G.; Atkinson, M.J.; Monismith, S.G.; Koseff, J.R. Spectral wave dissipation over a barrier reef. J. Geophys. Res. Ocean. 2005, 110, C04001. [Google Scholar] [CrossRef]
- Fang, K.Z.; Xiao, L.; Liu, Z.B.; Sun, J.W.; Dong, P.; Wu, H. Experiment and RANS modeling of solitary wave impact on a vertical wall mounted on a reef-flat. Ocean Eng. 2022, 244, 110384. [Google Scholar] [CrossRef]
- Liu, Y.; Li, S.W.; Chen, S.G.; Hu, C.Y.; Fan, Z.F.; Jin, R.J. Random wave overtopping of vertical seawalls on coral reefs. Appl. Ocean. Res. 2020, 100, 102166. [Google Scholar] [CrossRef]
- Chen, S.G.; Yao, Y.; Guo, H.; Jia, M. Numerical investigation of monochromatic wave interaction with a vertical seawall located on a reef flat. Ocean Eng. 2020, 214, 107847. [Google Scholar] [CrossRef]
- Gao, Y.; Ren, L.; Wang, L. Experimental Investigation of Wave Propagation and Overtopping over Seawalls on a Reef Flat. J. Mar. Sci. Eng. 2023, 11, 836. [Google Scholar] [CrossRef]
- Ford, M.R.; Becker, J.M.; Merrifield, M.A. Reef-flat wave processes and excavation pits: Observations and implications for Majuro Atoll, Marshall Islands. J. Coast. Res. 2013, 29, 545–554. [Google Scholar] [CrossRef]
- Ford, M. Shoreline changes on an urban atoll in the central Pacific Ocean: Majuro Atoll, Marshall Islands. J. Coast. Res. 2012, 28, 11–22. [Google Scholar] [CrossRef]
- Liu, W.; Liu, Y.; Zhao, X. Numerical study of Bragg reflection of regular water waves over fringing reefs based on a Boussinesq model. Ocean Eng. 2019, 190, 106415. [Google Scholar] [CrossRef]
- Ning, Y.; Liu, W.; Zhao, X.; Zhang, Y.; Sun, Z. Study of irregular wave run-up over fringing reefs based on a shock-capturing Boussinesq model. Appl. Ocean Res. 2019, 84, 216–224. [Google Scholar] [CrossRef]
- Chen, H.; Jiang, D.; Tang, X.; Mao, H. Evolution of irregular wave shape over a fringing reef flat. Ocean Eng. 2019, 192, 106544. [Google Scholar] [CrossRef]
- Gao, J.L.; Zhou, X.J.; Li, Z.; Zang, J.; Chen, H.Z. Numerical investigation on effects of fringing reefs on low-frequency oscillations within a harbor. Ocean Eng. 2019, 172, 86–95. [Google Scholar] [CrossRef]
- Ye, J.; He, K.; Ji, P.S. Experimental study on stability of revetment breakwater built on reclaimed coral reef islands in South China Sea under extreme wave impact. Blasting 2019, 36, 13–23. [Google Scholar]
- Qu, K.; Men, J.; Wang, X.; Li, X.H. Numerical Investigation on Hydrodynamic Processes of Extreme Wave Groups on Fringing Reef. J. Mar. Sci. Eng. 2023, 11, 63. [Google Scholar] [CrossRef]
- Gao, J.; Ma, X.; Dong, G.; Zang, J.; Ma, Y.; Zhou, L. Effects of offshore fringing reefs on the transient harbor resonance excited by solitary waves. Ocean Eng. 2019, 190, 106422. [Google Scholar] [CrossRef]
- Young, I.R. Wave transformation over coral reefs. J. Geophys. Res. Ocean. 1989, 94, 9779–9789. [Google Scholar] [CrossRef]
- Roberts, H.H.; Murray, S.P.; Suhayda, J.N. Physical processes in fringing reef system. J. Mar. Res. 1975, 33, 233–260. [Google Scholar]
- Jago, O.; Kench, P.; Brander, R. Field observations of wave-driven water-level gradients across a coral reef flat. J. Geophys. Res. Ocean. 2007, 112. [Google Scholar] [CrossRef]
- Brander, R.W.; Kench, P.S.; Hart, D. Spatial and temporal variations in wave characteristics across a reef platform, warraber island, torres strait, Australia. Mar. Geol. 2004, 207, 169–184. [Google Scholar] [CrossRef]
- Lugo-Fernandez, A.; Roberts, H.; Wiseman, W., Jr.; Carter, B. Water level and currents of tidal and infragravity periods at tague reef, st. Croix (usvi). Coral Reefs 1998, 17, 343–349. [Google Scholar] [CrossRef]
- Lowe, R.J.; Falter, J.L.; Monismith, S.G.; Atkinson, M.J. Wave-driven circulation of a coastal reef–lagoon system. J. Phys. Oceanogr. 2009, 39, 873–893. [Google Scholar] [CrossRef]
- Kench, P.S.; Brander, R.W.; Parnell, K.E.; O’Callaghan, J.M. Seasonal variations in wave characteristics around a coral reef island, South Maalhosmadulu atoll, Maldives. Mar. Geol. 2009, 262, 116–129. [Google Scholar] [CrossRef]
- Duce, S.; Vila-Concejo, A.; McCarroll, R.J.; Yiu, B.; Perris, L.A.; Webster, J.M. Field measurements show rough fore reefs with spurs and grooves can dissipate more wave energy than the reef crest. Geomorphology 2022, 413, 108365. [Google Scholar] [CrossRef]
- Longuet-Higgins, M.S.; Stewart, R.W. Radiation stress in water waves, a physical discussion with applications. Deep-Sea Res. 1964, 11, 529–562. [Google Scholar]
- Munk, W.H.; Sargent, M.C. Adjustment of Bikini Atoll to ocean waves. Eos Trans. Am. Geophys. Union 1948, 29, 855–860. [Google Scholar] [CrossRef]
- Tait, R.J. Wave set-up on coral reefs. J. Geophys. Res. 1972, 77, 2207–2211. [Google Scholar] [CrossRef]
- Symonds, G.; Black, K.P.; Young, I.R. Wave-driven flow over shallow reefs. J. Geophys. Res. Ocean. 1995, 100, 2639–2648. [Google Scholar] [CrossRef]
- Gourlay, M.R.; Colleter, G. Wave-generated flow on coral reefs: An analysis for two-dimensional horizontal reef-flats with steep faces. Coast. Eng. 2005, 52, 353–387. [Google Scholar] [CrossRef]
- Astorga-Moar, A.; Baldock, T.E. Assessment and optimisation of runup formulae for beaches fronted by fringing reefs based on physical experiments. Coast. Eng. 2022, 176, 104163. [Google Scholar] [CrossRef]
- Seelig, W.N. Laboratory study of reef-lagoon system hydraulics. J. Waterw. Port Coast. Ocean Eng. 1983, 109, 380–391. [Google Scholar] [CrossRef]
- Betsy, R.; Seiffert, G.D.; Félicien, B. Simulation of breaking waves using the high-order spectral method with laboratory experiments: Wave-breaking onset. Ocean Model. 2017, 119, 1463–5003. [Google Scholar]
- Yao, Y.; He, W.R.; Du, R.C.; Jiang, C.B. Study on wave-induced setup over fringing reefs in the presence of a reef crest. Appl. Ocean Res. 2017, 66, 164–177. [Google Scholar] [CrossRef]
- Yao, Y.; Huang, Z.H.; He, W.R.; Monismith, S.G. Wave-induced setup and wave-driven current over quasi-2DH reef-lagoon-channel systems. Coast. Eng. 2018, 138, 113–125. [Google Scholar] [CrossRef]
- Yao, Y.; Lo, E.Y.; Huang, Z.H.; Monismith, S.G. An experimental study of wave-induced set-up over a horizontal reef with an idealized ridge. In Proceedings of the International Conference on Offshore Mechanics and Arctic Engineering, Honolulu, HI, USA, 31 May–5 June 2009; Volume 43468, pp. 383–389. [Google Scholar]
- Yao, Y.; Chen, X.J.; Xu, C.H.; Jia, M.J.; Jiang, C.B. Modeling solitary wave transformation and run-up over fringing reefs with large bottom roughness. Ocean Eng. 2020, 218, 108208. [Google Scholar] [CrossRef]
- Hwung, H.H.; Lin, Y.H.; Hsiao, S.C. The experimental study on infra-gravity wave. Ocean Eng. 2007, 34, 1481–1495. [Google Scholar] [CrossRef]
- Yao, Y.; Huang, Z.H.; Monismith, S.G.; Lo, E.Y. 1DH Boussinesq modeling of wave transformation over fringing reefs. Ocean Eng. 2012, 47, 30–42. [Google Scholar] [CrossRef]
- Buckley, M.L.; Lowe, R.J.; Hansen, J.E.; Van Dongeren, A.R. Wave setup over a fringing reef with large bottom roughness. J. Phys. Oceanogr. 2016, 46, 2317–2333. [Google Scholar] [CrossRef]
- Jiang, C.B.; Yang, Y.; Deng, B. Study on the nearshore evolution of regular waves under steady wind. Water 2020, 12, 686. [Google Scholar] [CrossRef]
- Torres-Freyermuth, A.; Mariño-Tapia, I.; Coronado, C.; Salles, P.; Medellín, G.; Pedrozo-Acuña, A.; Silva, R.; Candela, J.; Iglesias-Prieto, R. Wave-induced extreme water levels in the Puerto Morelos fringing reef lagoon. Nat. Hazards Earth Sys. 2012, 12, 3765–3773. [Google Scholar] [CrossRef]
- Rijnsdorp, D.P.; Buckley, M.L.; da Silva, R.F.; Cuttler, M.V.; Hansen, J.E.; Lowe, R.J.; Green, R.H.; Storlazzi, C.D. A numerical study of wave-driven mean flows and setup dynamics at a coral reef-lagoon system. J. Geophys. Res. Ocean. 2021, 126, e2020JC016811. [Google Scholar] [CrossRef]
- Wang, W.; Pákozdi, C.; Kamath, A.; Fouques, S.; Bihs, H. A flexible fully nonlinear potential flow model for wave propagation over the complex topography of the Norwegian coast. Appl. Ocean Res. 2022, 122, 103103. [Google Scholar] [CrossRef]
- Ma, G.F.; Shi, F.Y.; Kirby, J.T. Shock-capturing non-hydrostatic model for fully dispersive surface wave processes. Ocean Model. 2012, 43, 22–35. [Google Scholar] [CrossRef]
- Qu, K.; Lie, Y.C.; Wang, X.; Li, X.H. Numerical Analysis on Influences of Emergent Vegetation Patch on Runup Processes of Focused Wave Groups. J. Mar. Sci. Eng. 2022, 11, 8. [Google Scholar] [CrossRef]
- Qu, K.; Huang, J.X.; Yao, Y.; Guo, L.; Wang, X.; Li, X.H.; Jiang, C.B. Numerical investigation of effects of artificial excavation pit on transformation and runup processes of tsunami-like wave over fringing reef. Ocean Eng. 2023, 270, 113553. [Google Scholar] [CrossRef]
- Wen, H.J.; Ren, B.; Dong, P.; Zhu, G.C. Numerical analysis of wave-induced current within the inhomogeneous coral reef using a refined SPH model. Coast. Eng. 2020, 156, 103616. [Google Scholar] [CrossRef]
- Qu, K.; Zhang, L.B.; Yao, Y.; Jiang, C.B. Numerical evaluation of influences of onshore wind on overtopping characteristics of coastal seawall under solitary wave. Ocean Eng. 2022, 266, 112860. [Google Scholar] [CrossRef]
- Qu, K.; Liu, T.W.; Chen, L.; Yao, Y.; Kraatz, S.; Huang, J.X. Study on transformation and runup processes of tsunami-like wave over permeable fringing reef using a nonhydrostatic numerical wave model. Ocean Eng. 2022, 243, 110228. [Google Scholar] [CrossRef]
- Chen, S.G.; Zhang, H.Q.; Chen, H.B.; Zheng, J.H. Experimental study on the propagation of irregular waves on a coral reef on a dike in a large water tank. Mar. Bull. 2018, 37, 576–582. [Google Scholar]
- Yao, Y.; Becker, J.M.; Ford, M.R.; Merrifield, M.A. Modeling wave processes over fringing reefs with an excavation pit. Coast. Eng. 2016, 109, 9–19. [Google Scholar] [CrossRef]
- Yao, Y.; Jia, M.J.; Jiang, C.B.; Zhang, Q.M.; Tang, Z.J. Laboratory study of wave processes over fringing reefs with a reef-flat excavation pit. Coast. Eng. 2020, 158, 103700. [Google Scholar] [CrossRef]
- Klaver, S.; Nederhoff, C.M.; Giardino, A.; Tissier, M.F.S.; Van Dongeren, A.R.; van der Spek, A.J.F. Impact of coral reef mining pits on nearshore hydrodynamics and wave runup during extreme wave events. J. Geophys. Res. Ocean. 2019, 124, 2824–2841. [Google Scholar] [CrossRef]
- Rodi, W. Examples of calculation methods for flow and mixing in stratified fluids. J. Geophys. Res. Ocean. 1987, 92, 5305–5328. [Google Scholar] [CrossRef]
- Ma, G.F.; Kirby, J.T.; Shi, F.Y. Numerical simulation of tsunami waves generated by deformable submarine landslides. Ocean Model. 2013, 69, 146–165. [Google Scholar] [CrossRef]
- Jonathan, D.N.; Matthew, H.A.; Eric, K. Estimating Internal Wave Energy Fluxes in the Ocean. J. Atmos. Ocean. Technol. 2005, 22, 1551–1570. [Google Scholar]
- Willmott, C.J. On the validation of models. Phys. Geogr. 1981, 2, 184–194. [Google Scholar] [CrossRef]

























































| Run | |||
|---|---|---|---|
| 1 | 0.101 | 0.00 | 1.0 |
| 2 | 0.095 | 0.10 | 1.25 |
| Case | G1 | G2 | G3 | G4 | G5 | G6 | G7 | G8 | G9 | G10 | G11 | G12 |
|---|---|---|---|---|---|---|---|---|---|---|---|---|
| 1 | −4.35 | −4.1 | 0.95 | 2.00 | 2.35 | 2.65 | 2.95 | 3.25 | 3.65 | 5.25 | 6.95 | 8.75 |
| 2 | −4.35 | −4.1 | 0.65 | 1.25 | 2.00 | 2.35 | 2.75 | 3.15 | 3.65 | 5.25 | 6.95 | 8.75 |
| Run | |||||||||
|---|---|---|---|---|---|---|---|---|---|
| 1 | 0.04 | 0.05 | 1.5 | 5 | 6 | 12 | 2.5 | 0.2 | 0.8 |
| 2 | 0.06 | 0.05 | 1.5 | 5 | 6 | 12 | 2.5 | 0.2 | 0.8 |
| 3 | 0.08 | 0.05 | 1.5 | 5 | 6 | 12 | 2.5 | 0.2 | 0.8 |
| 4 | 0.10 | 0.05 | 1.5 | 5 | 6 | 12 | 2.5 | 0.2 | 0.8 |
| 5 | 0.12 | 0.05 | 1.5 | 5 | 6 | 12 | 2.5 | 0.2 | 0.8 |
| 6 | 0.08 | 0 | 1.5 | 5 | 6 | 12 | 2.5 | 0.2 | 0.8 |
| 7 | 0.08 | 0.025 | 1.5 | 5 | 6 | 12 | 2.5 | 0.2 | 0.8 |
| 8 | 0.08 | 0.075 | 1.5 | 5 | 6 | 12 | 2.5 | 0.2 | 0.8 |
| 9 | 0.08 | 0.10 | 1.5 | 5 | 6 | 12 | 2.5 | 0.2 | 0.8 |
| 10 | 0.08 | 0.05 | 1.0 | 5 | 6 | 12 | 2.5 | 0.2 | 0.8 |
| 11 | 0.08 | 0.05 | 1.25 | 5 | 6 | 12 | 2.5 | 0.2 | 0.8 |
| 12 | 0.08 | 0.05 | 1.75 | 5 | 6 | 12 | 2.5 | 0.2 | 0.8 |
| 13 | 0.08 | 0.05 | 2.0 | 5 | 6 | 12 | 2.5 | 0.2 | 0.8 |
| 14 | 0.08 | 0.05 | 1.5 | 3.4 | 6 | 12 | 1.7 | 0.2 | 0.8 |
| 15 | 0.08 | 0.05 | 1.5 | 4.2 | 6 | 12 | 2.1 | 0.2 | 0.8 |
| 16 | 0.08 | 0.05 | 1.5 | 5.8 | 6 | 12 | 2.9 | 0.2 | 0.8 |
| 17 | 0.08 | 0.05 | 1.5 | 6.6 | 6 | 12 | 3.3 | 0.2 | 0.8 |
| 18 | 0.08 | 0.05 | 1.5 | 5 | 2 | 12 | 2.5 | 0.2 | 0.8 |
| 19 | 0.08 | 0.05 | 1.5 | 5 | 4 | 12 | 2.5 | 0.2 | 0.8 |
| 20 | 0.08 | 0.05 | 1.5 | 5 | 8 | 12 | 2.5 | 0.2 | 0.8 |
| 21 | 0.08 | 0.05 | 1.5 | 5 | 10 | 12 | 2.5 | 0.2 | 0.8 |
| 22 | 0.08 | 0.05 | 1.5 | 5 | 6 | 4 | 2.5 | 0.2 | 0.8 |
| 23 | 0.08 | 0.05 | 1.5 | 5 | 6 | 8 | 2.5 | 0.2 | 0.8 |
| 24 | 0.08 | 0.05 | 1.5 | 5 | 6 | 16 | 2.5 | 0.2 | 0.8 |
| 25 | 0.08 | 0.05 | 1.5 | 5 | 6 | 20 | 2.5 | 0.2 | 0.8 |
| 26 | 0.08 | 0.05 | 1.5 | 5 | 6 | 12 | 0.4 | 0.2 | 0.8 |
| 27 | 0.08 | 0.05 | 1.5 | 5 | 6 | 12 | 1.45 | 0.2 | 0.8 |
| 28 | 0.08 | 0.05 | 1.5 | 5 | 6 | 12 | 3.55 | 0.2 | 0.8 |
| 29 | 0.08 | 0.05 | 1.5 | 5 | 6 | 12 | 4.6 | 0.2 | 0.8 |
| 30 | 0.08 | 0.05 | 1.5 | 5 | 6 | 12 | 2.5 | 0.1 | 0.8 |
| 31 | 0.08 | 0.05 | 1.5 | 5 | 6 | 12 | 2.5 | 0.15 | 0.8 |
| 32 | 0.08 | 0.05 | 1.5 | 5 | 6 | 12 | 2.5 | 0.25 | 0.8 |
| 33 | 0.08 | 0.05 | 1.5 | 5 | 6 | 12 | 2.5 | 0.3 | 0.8 |
| 34 | 0.08 | 0.05 | 1.5 | 5 | 6 | 12 | 2.5 | 0.2 | 0.4 |
| 35 | 0.08 | 0.05 | 1.5 | 5 | 6 | 12 | 2.5 | 0.2 | 0.6 |
| 36 | 0.08 | 0.05 | 1.5 | 5 | 6 | 12 | 2.5 | 0.2 | 1.0 |
| 37 | 0.08 | 0.05 | 1.5 | 5 | 6 | 12 | 2.5 | 0.2 | 1.2 |
Disclaimer/Publisher’s Note: The statements, opinions and data contained in all publications are solely those of the individual author(s) and contributor(s) and not of MDPI and/or the editor(s). MDPI and/or the editor(s) disclaim responsibility for any injury to people or property resulting from any ideas, methods, instructions or products referred to in the content. |
© 2023 by the authors. Licensee MDPI, Basel, Switzerland. This article is an open access article distributed under the terms and conditions of the Creative Commons Attribution (CC BY) license (https://creativecommons.org/licenses/by/4.0/).
Share and Cite
Wang, X.; Qu, K.; Men, J.; Zhang, L.; Li, J.; Gao, R. Influence of Excavation Pits on the Wave Hydrodynamics of Fringing Reefs under Regular Waves. J. Mar. Sci. Eng. 2023, 11, 1464. https://doi.org/10.3390/jmse11071464
Wang X, Qu K, Men J, Zhang L, Li J, Gao R. Influence of Excavation Pits on the Wave Hydrodynamics of Fringing Reefs under Regular Waves. Journal of Marine Science and Engineering. 2023; 11(7):1464. https://doi.org/10.3390/jmse11071464
Chicago/Turabian StyleWang, Xu, Ke Qu, Jia Men, Liangbin Zhang, Junjie Li, and Rongze Gao. 2023. "Influence of Excavation Pits on the Wave Hydrodynamics of Fringing Reefs under Regular Waves" Journal of Marine Science and Engineering 11, no. 7: 1464. https://doi.org/10.3390/jmse11071464
APA StyleWang, X., Qu, K., Men, J., Zhang, L., Li, J., & Gao, R. (2023). Influence of Excavation Pits on the Wave Hydrodynamics of Fringing Reefs under Regular Waves. Journal of Marine Science and Engineering, 11(7), 1464. https://doi.org/10.3390/jmse11071464

