The Study of the Failure Envelopes of Hollow Shaft Single-Plate Helical Piles in Clay
Abstract
1. Introduction
2. Numerical Modelling Aspects
2.1. Geometries of Hollow Shaft Helical Piles and Soil Properties
2.2. Finite Element Model
3. Results and Discussion
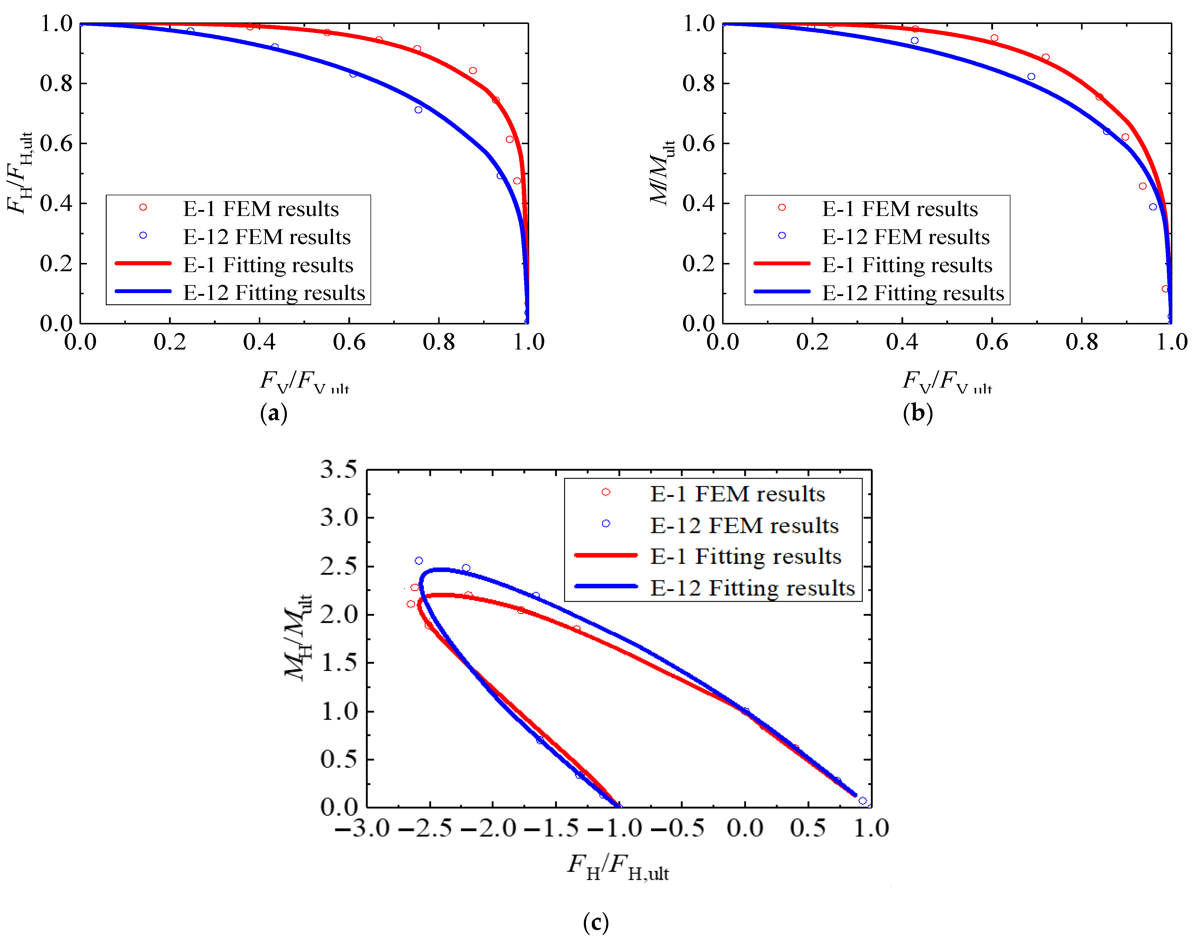
3.1. Model Validation
3.2. Uniaxial Ultimate Bearing Capacity
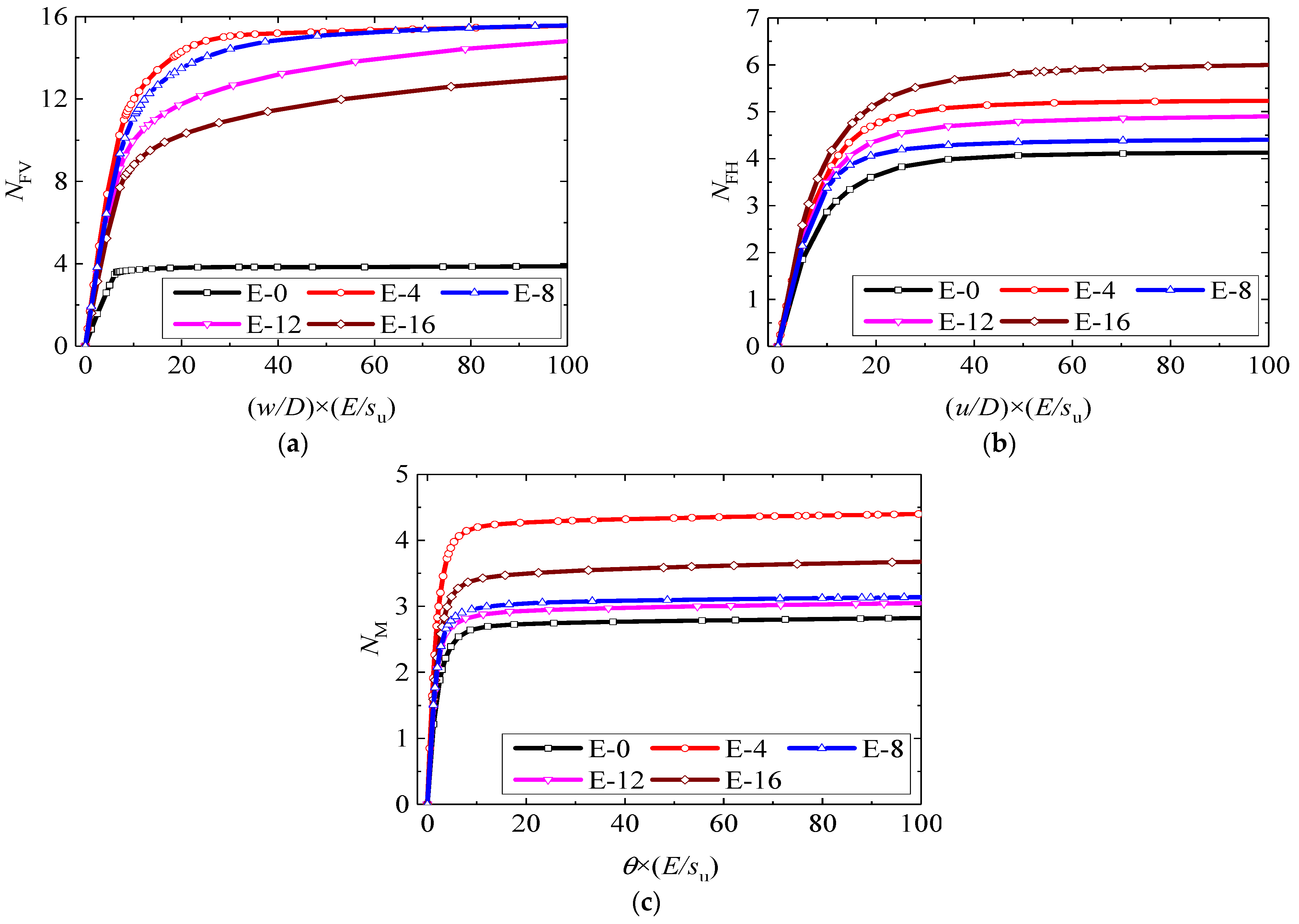
3.2.1. Failure Mechanisms under Uniaxial Load
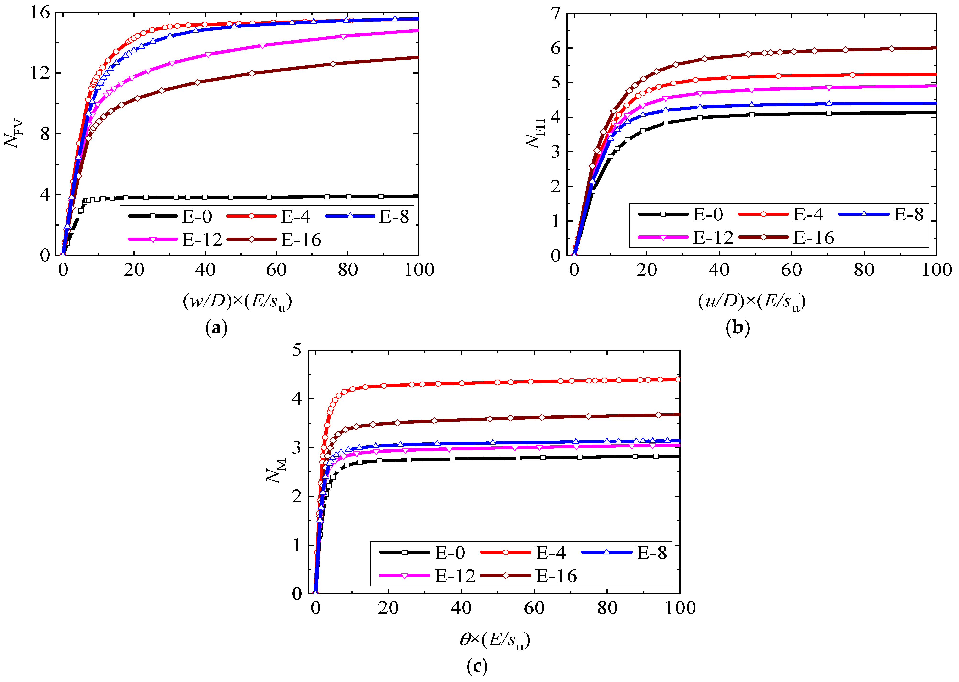
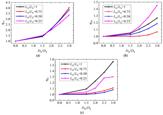
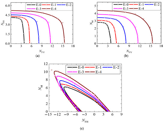
3.2.2. Effect of the Helix-to-Shaft Diameter Aspect Ratio on Uniaxial Ultimate Bearing Capacity
3.2.3. Effect of the Position of Helix on Uniaxial Ultimate Bearing Capacity
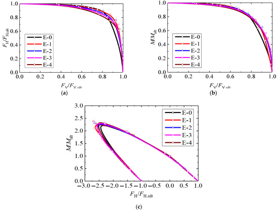
3.3. FV-FH-M Failure Envelopes
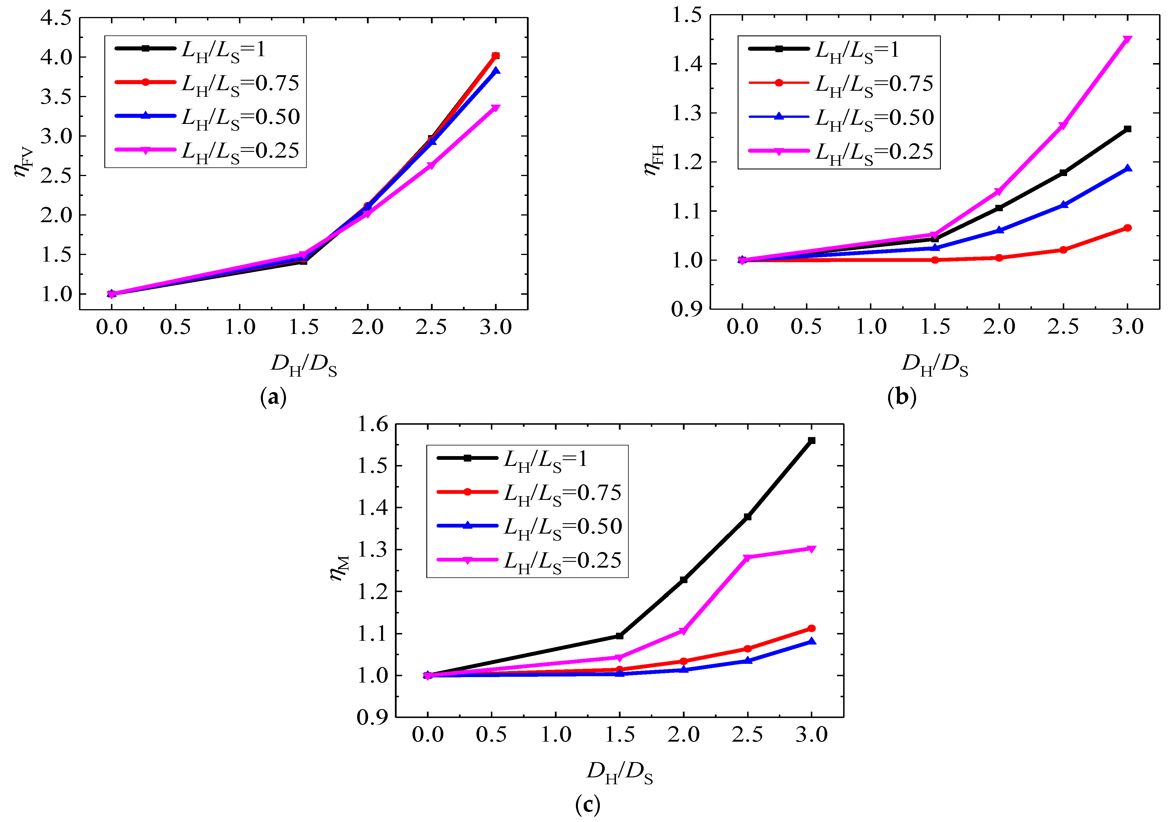
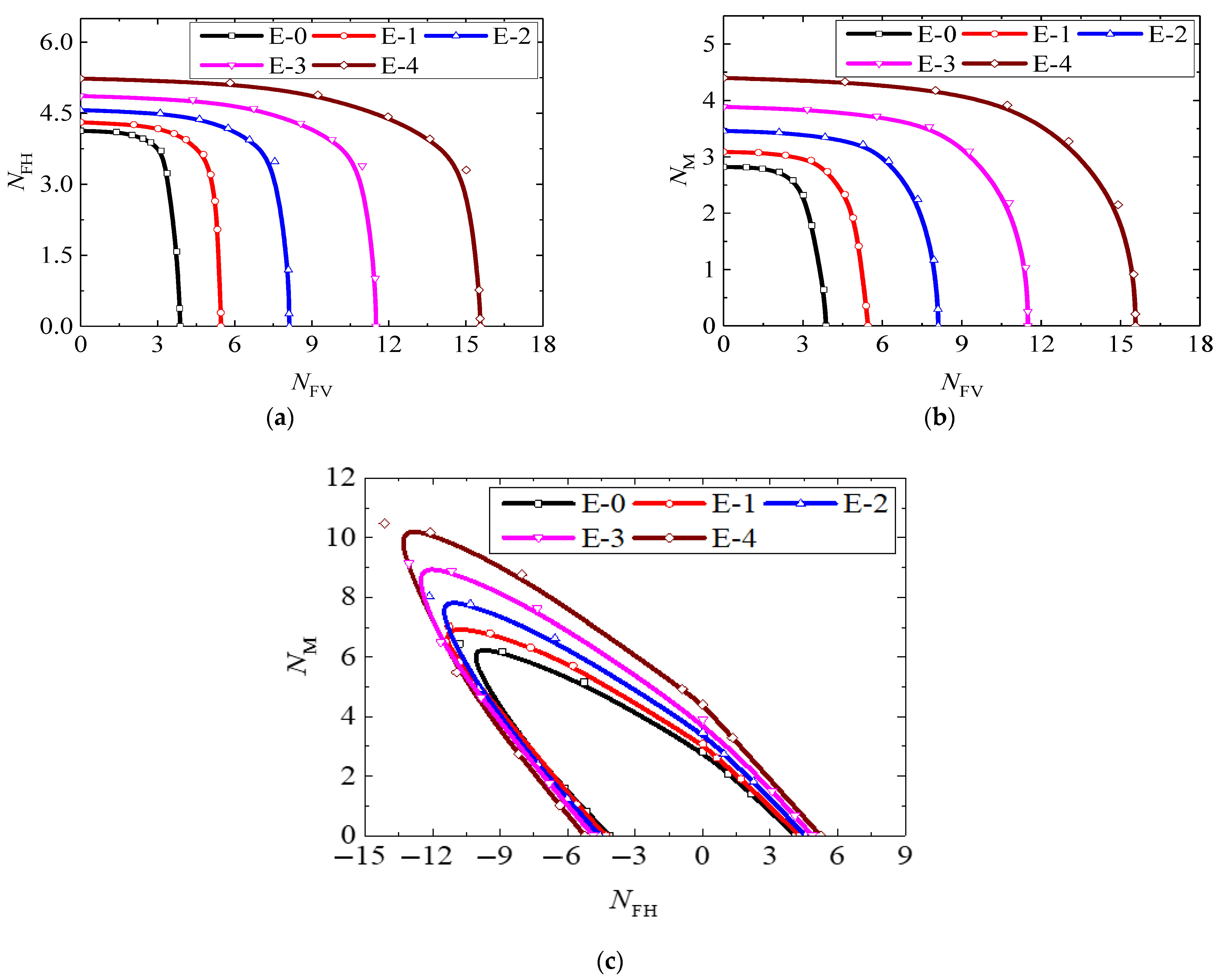
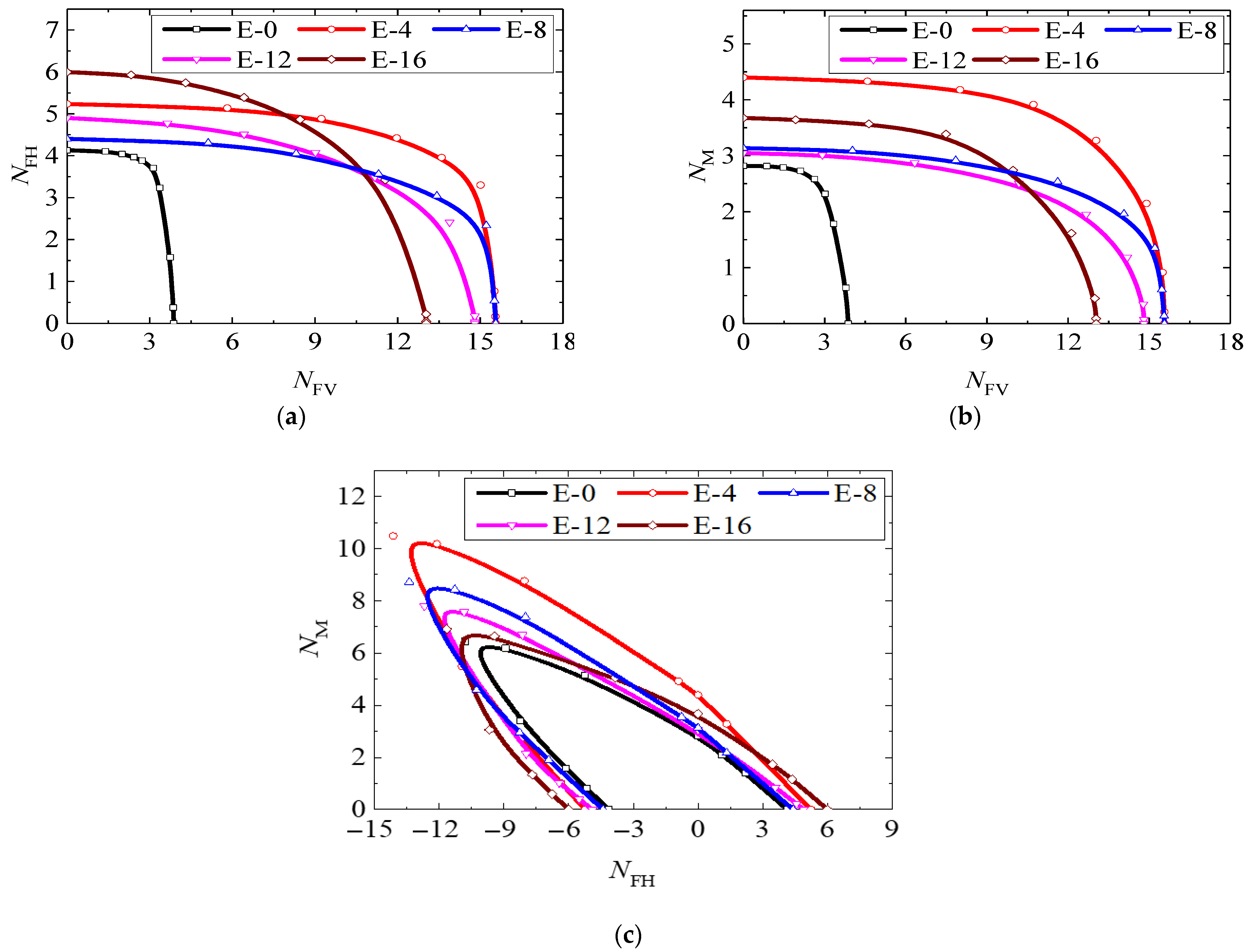
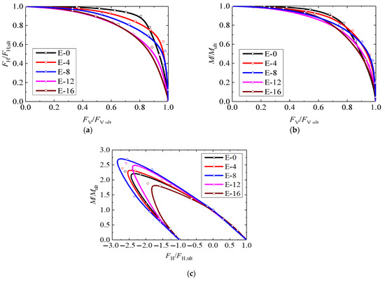
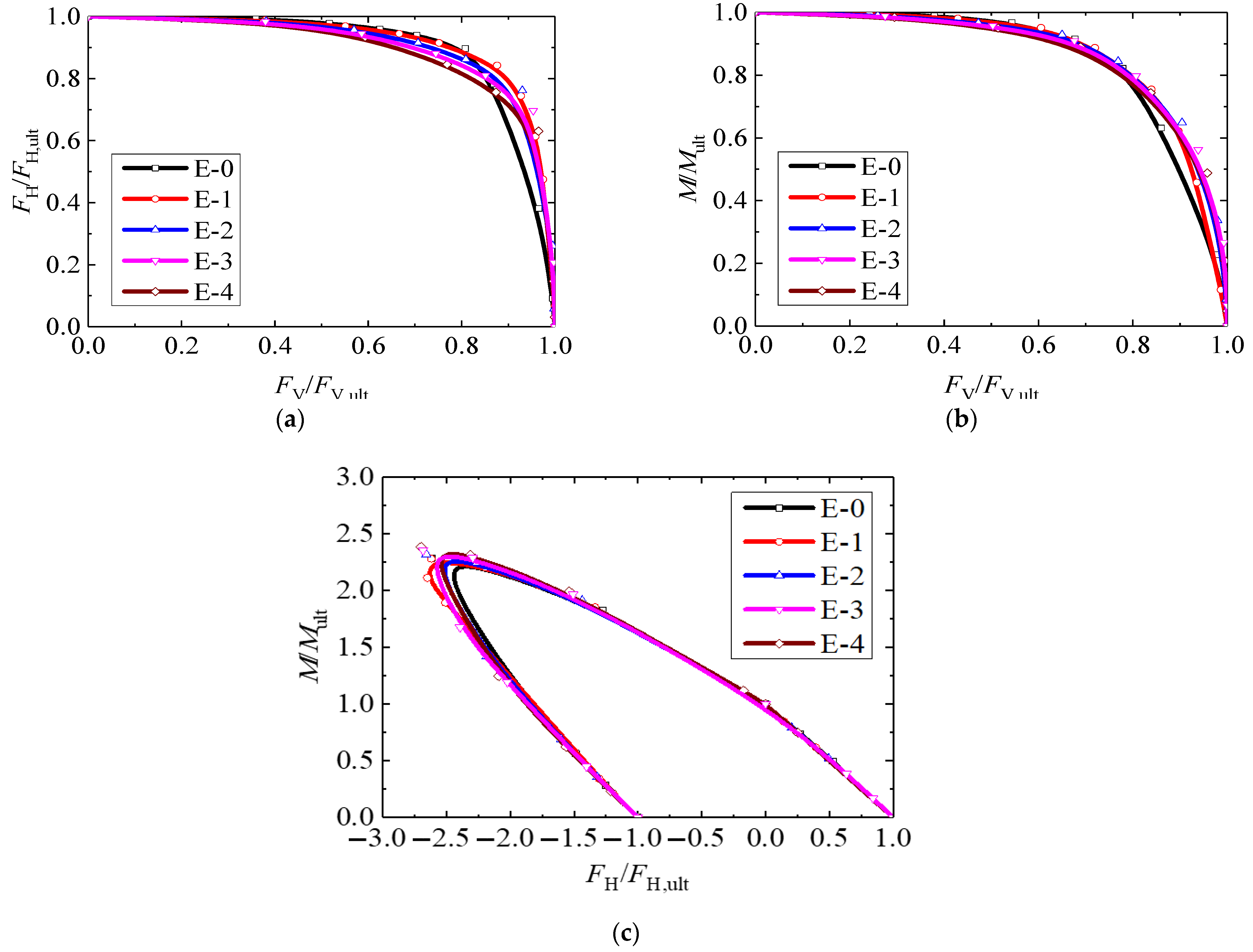
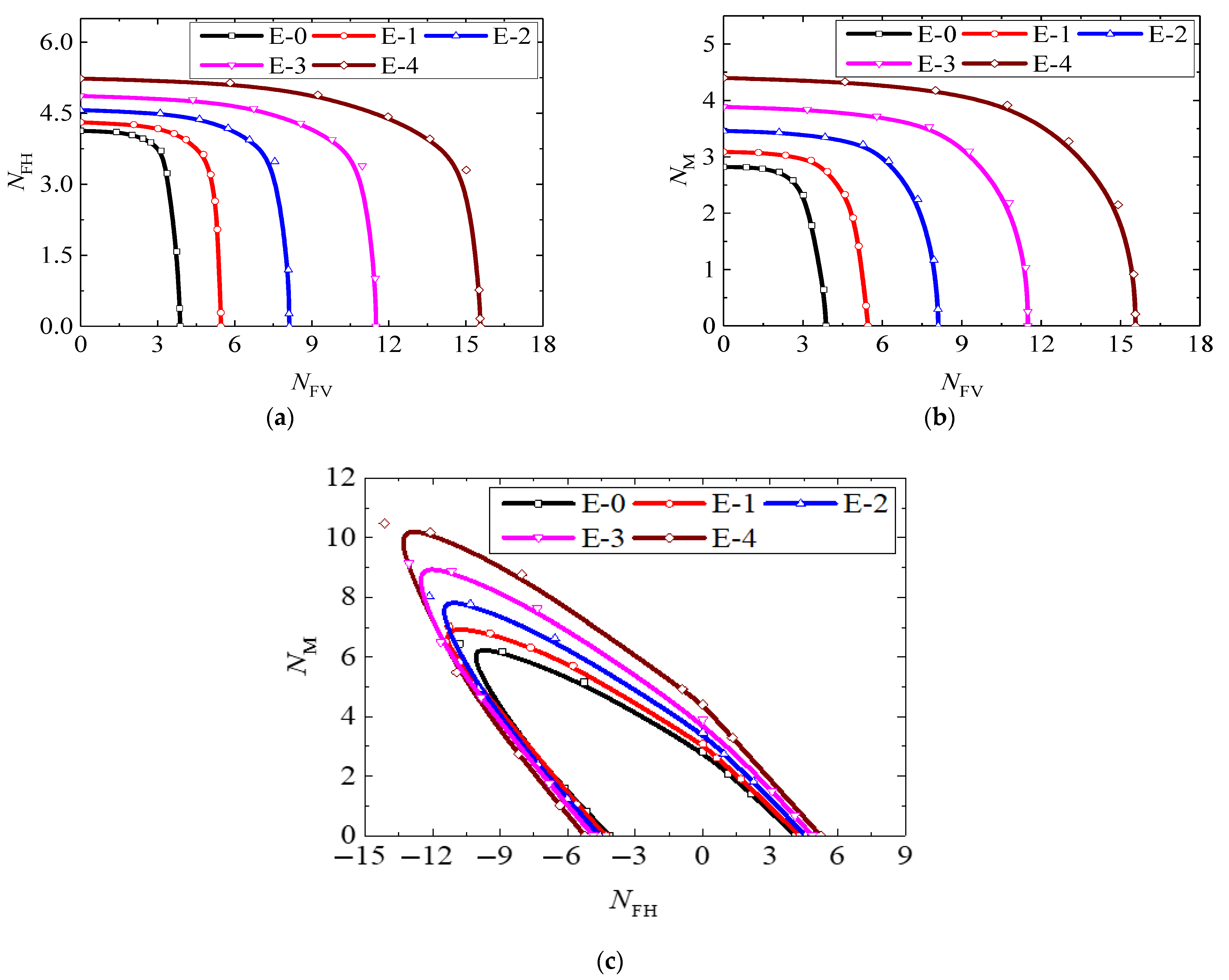
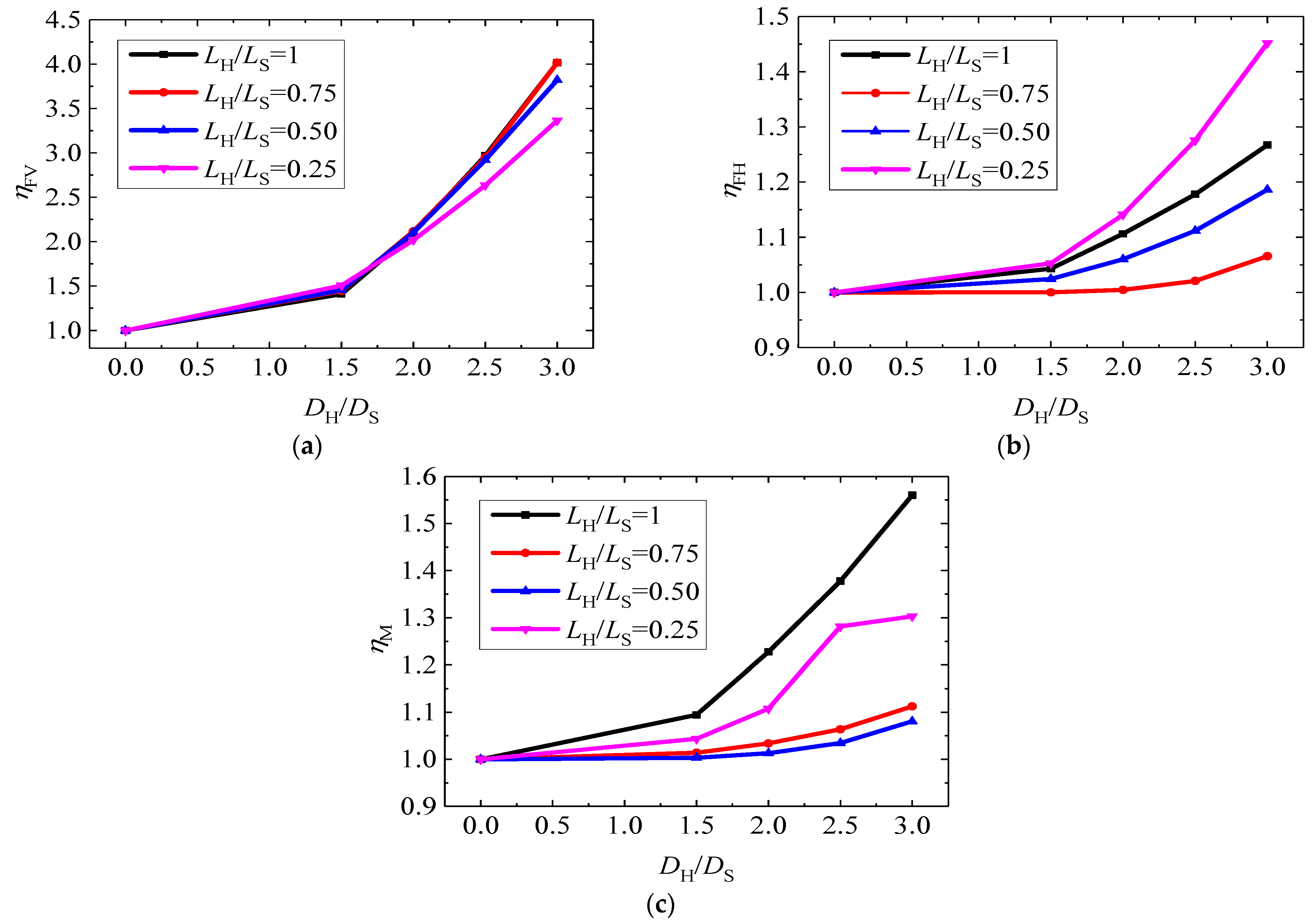
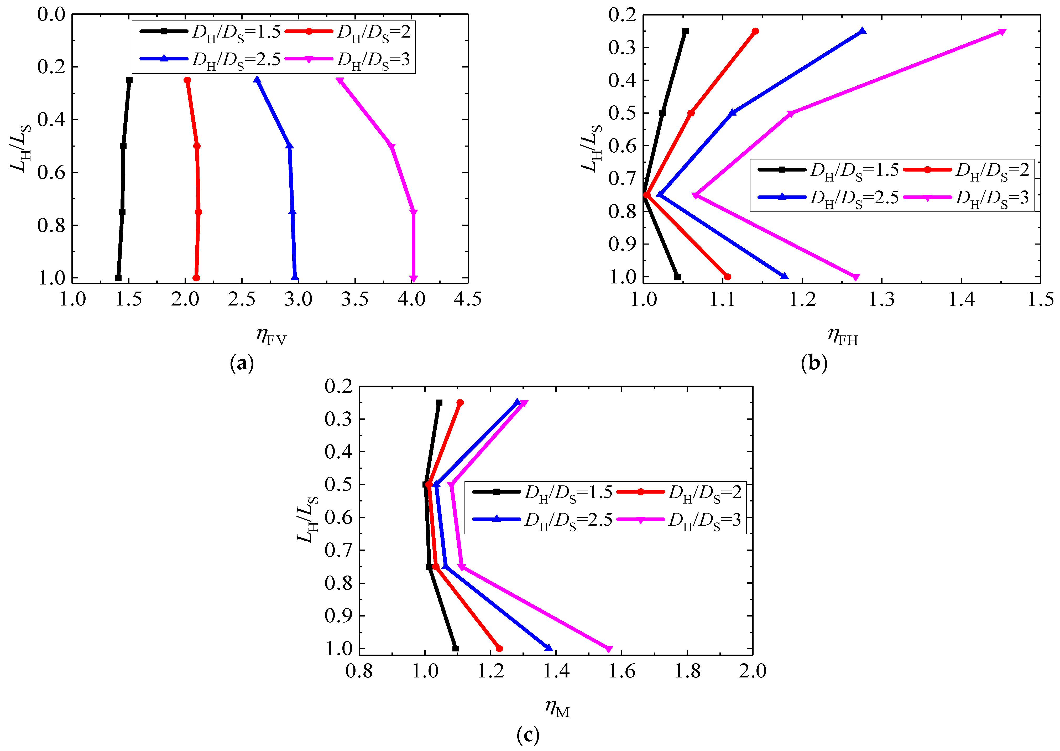
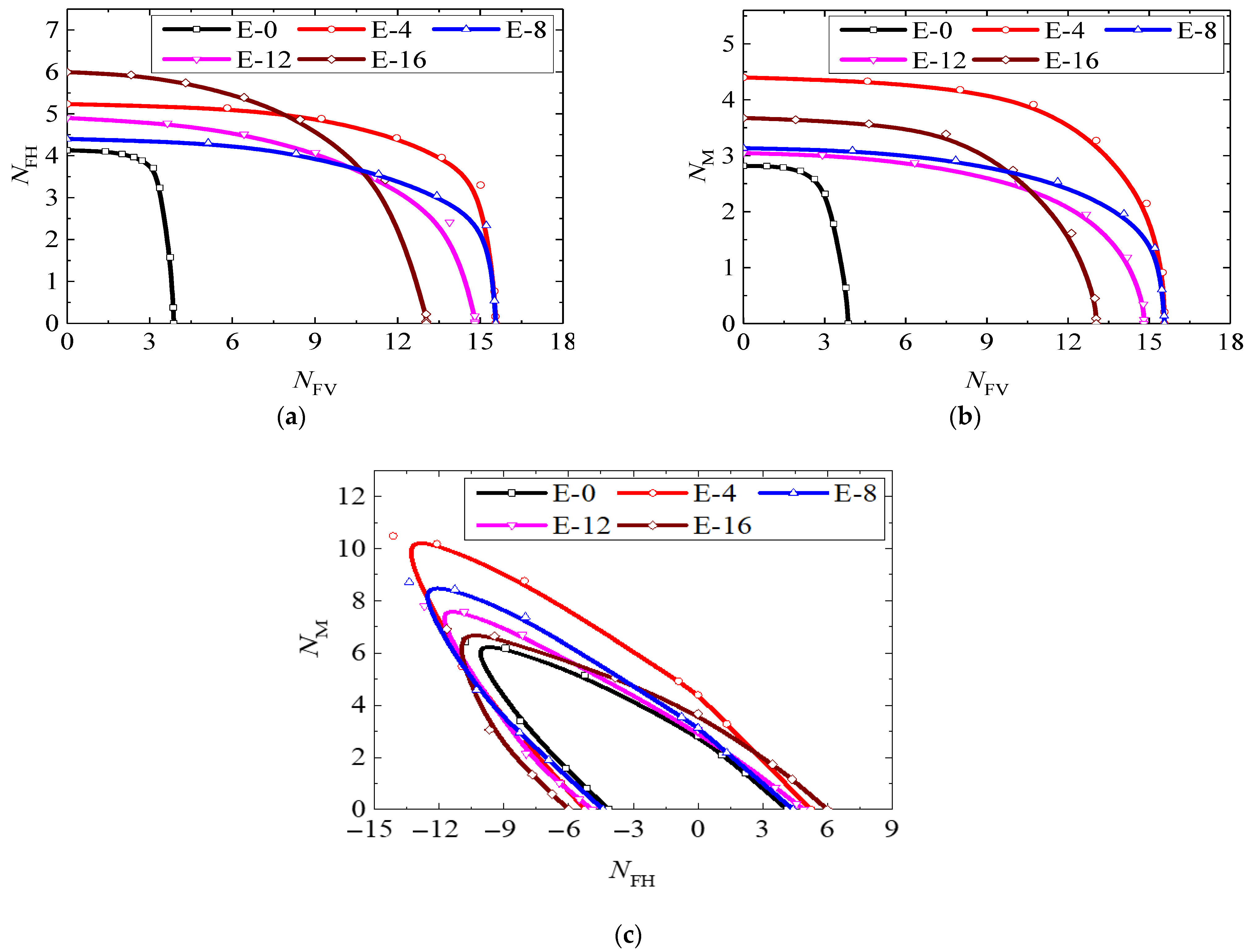
3.3.1. Effect of the Helix-to-Shaft Diameter Aspect Ratio on Failure Envelopes
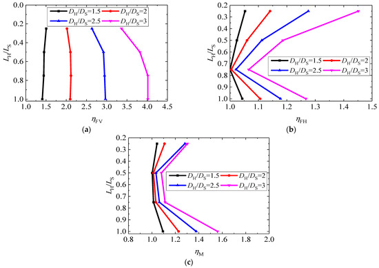
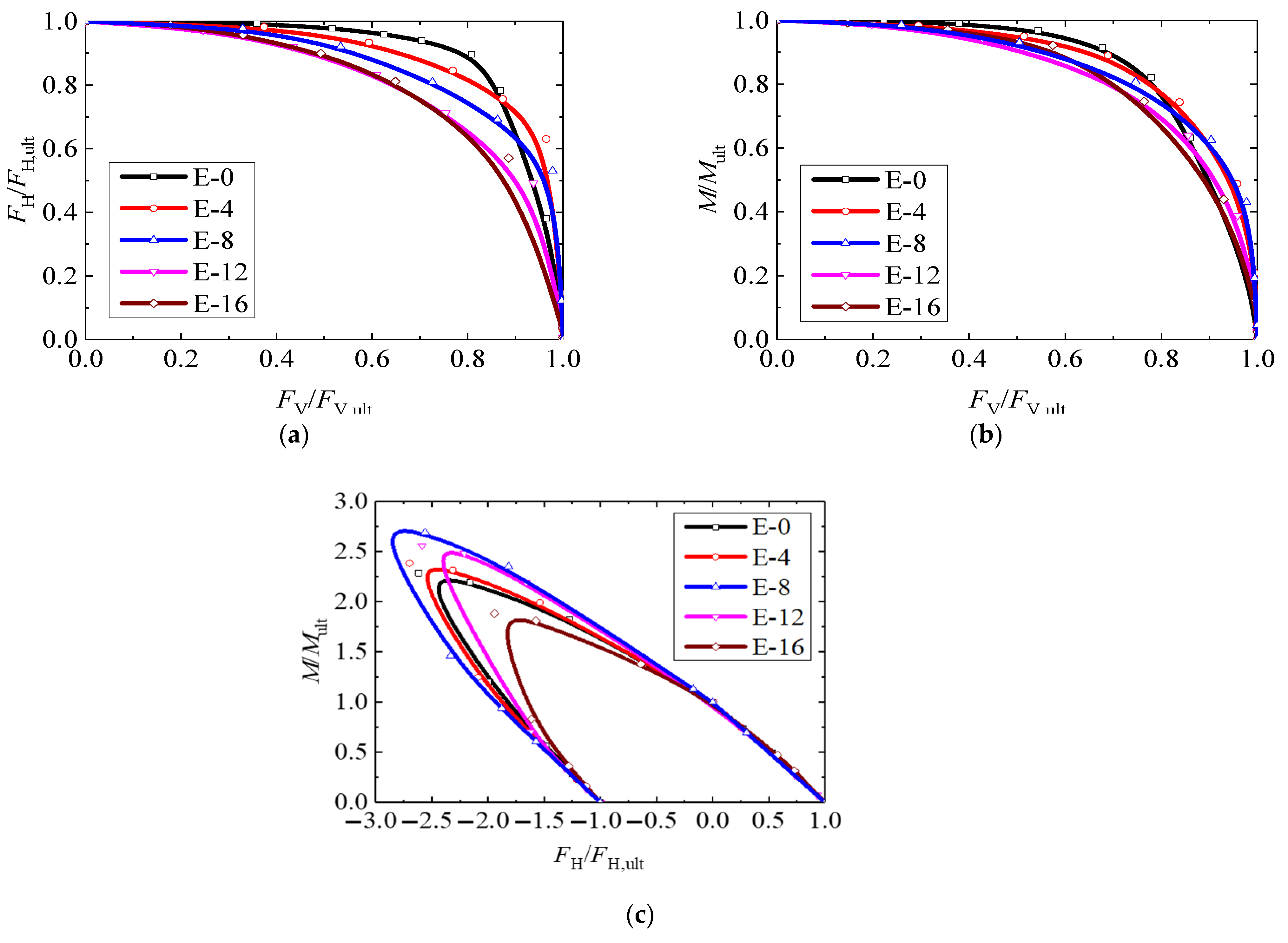
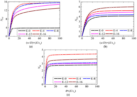
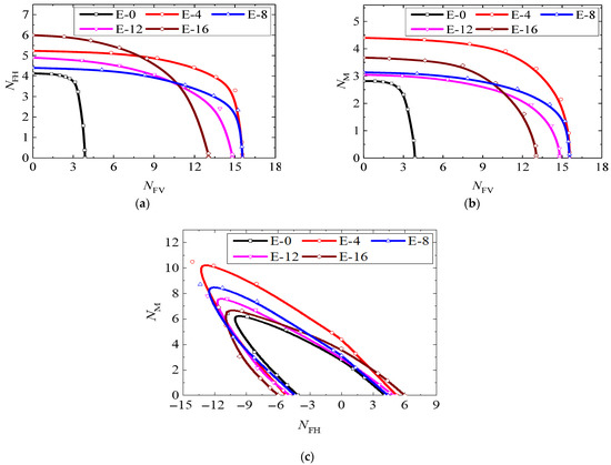
3.3.2. Effect of the Position of Helix on Failure Envelopes
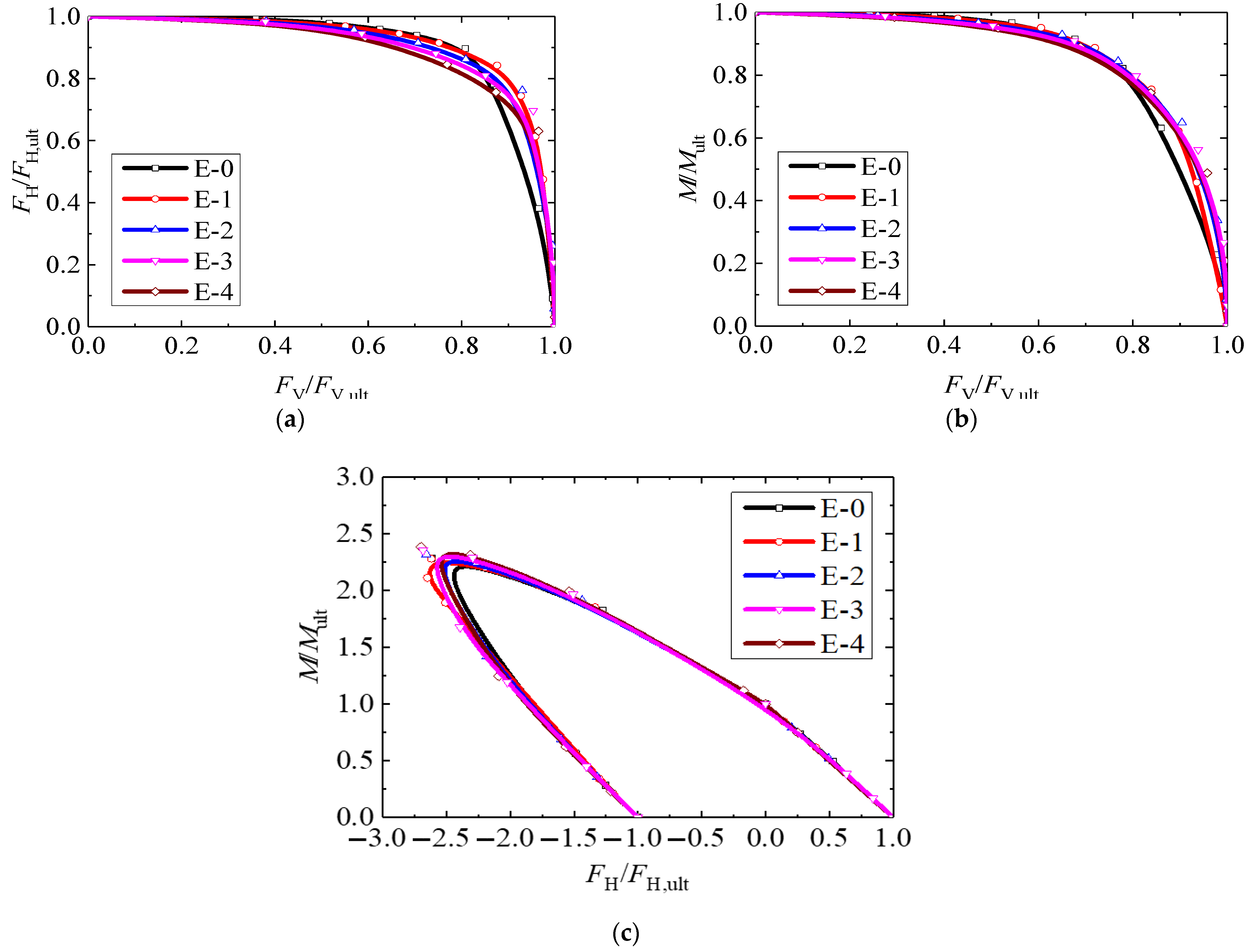
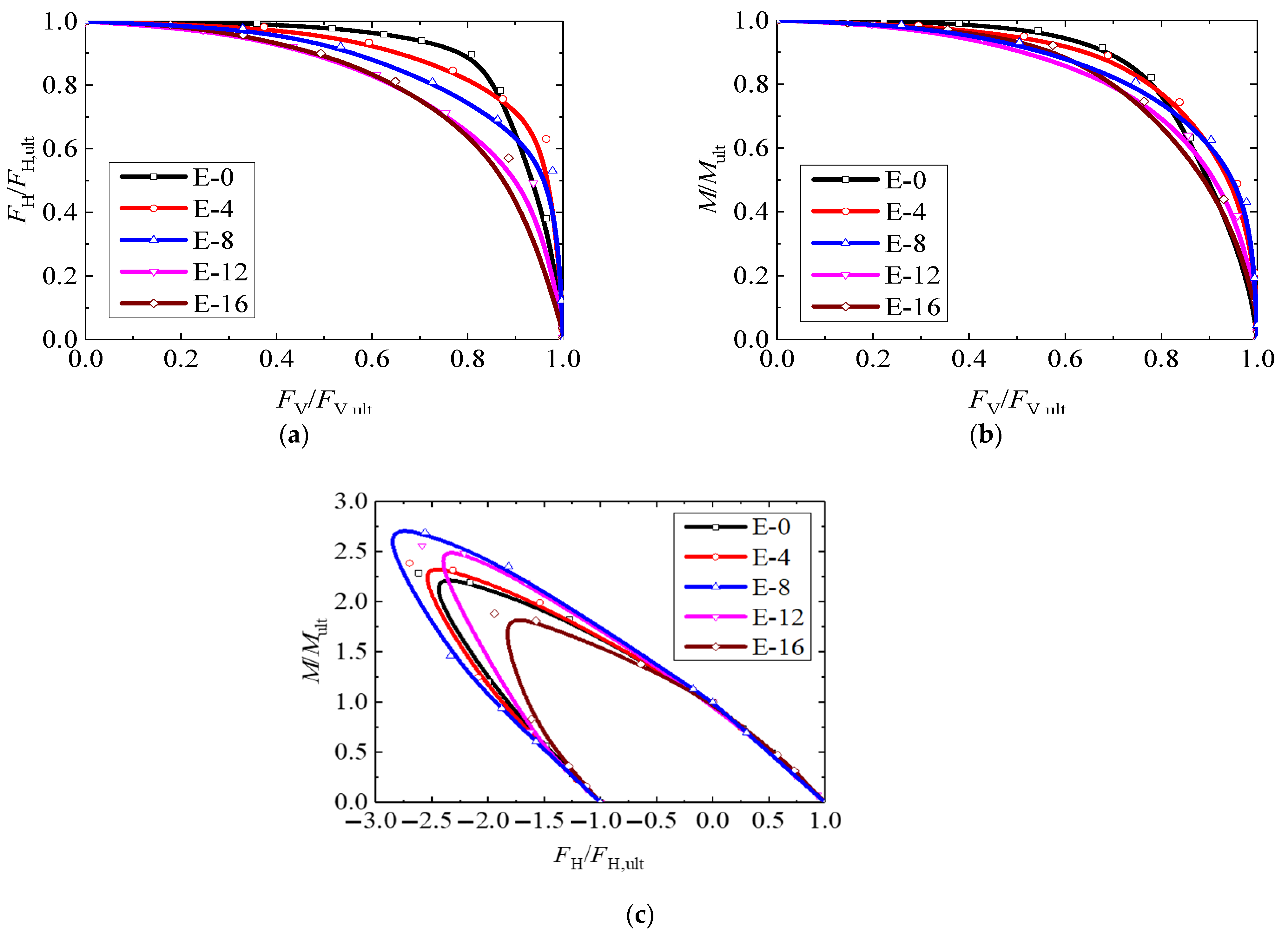
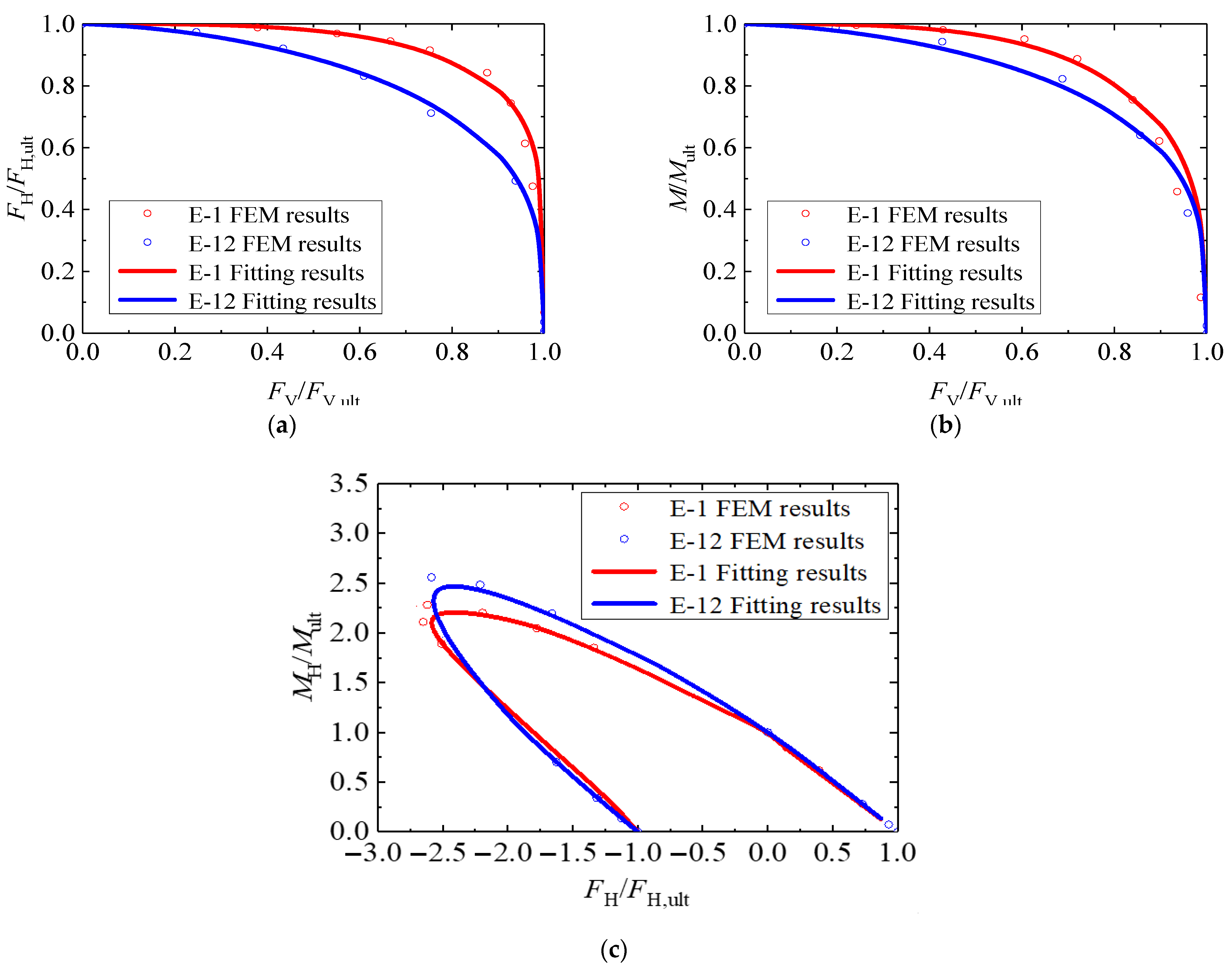
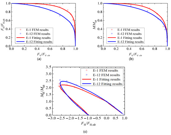
3.3.3. The Establishment of Failure Envelopes
4. Conclusions
Author Contributions
Funding
Institutional Review Board Statement
Informed Consent Statement
Data Availability Statement
Conflicts of Interest
Notation List
| DS | The outer diameter of hollow shaft |
| DM | The outer diameter of steel-pipe pile |
| DH | The outer diameter of helix or plate |
| LS | The distance from the bottom of shaft to soil surface |
| L | The length of steel-pipe pile |
| LH | The distance from the bottom of helix to soil surface |
| tS | The wall thickness of hollow shaft |
| tM | The wall thickness of steel-pipe pile |
| tH | The thickness of helix |
| FV | The vertical load for piles |
| FH | The horizontal load for piles |
| M | The moment load for piles |
| w | The vertical displacement for piles |
| u | The horizontal displacement for piles |
| θ | The rotation angle for piles |
| FV,ult | The vertical ultimate bearing capacity for piles |
| FH,ult | The horizontal ultimate bearing capacity for piles |
| Mult | The moment ultimate bearing capacity for piles |
| NFV | The vertical bearing capacity factor |
| NFH | The horizontal bearing capacity factor |
| NM | The moment bearing capacity factor |
| ηFV | The normalized vertical bearing capacity factor |
| ηFH | The normalized horizontal bearing capacity factor |
| ηM | The normalized moment bearing capacity factor |
| su | The undrained shear strength of soil |
| E | The Young’s modulus of soil |
| γ’ | The submerged effective unit weight of soil |
References
- Perko, H. Helical piles. In A Practical Guide to Design and Installation, 1st ed.; John Wiley & Sons: Hoboken, NJ, USA, 2009. [Google Scholar]
- Lutenegger, A. Historical development of iron screw-pile foundations: 1836–1900. Int. J. Hist. Eng. Technol. 2011, 81, 108–128. [Google Scholar] [CrossRef]
- Schiavon, J. Comportamento de Ancoragens helicoidais Submetidas a Carregamentos Cíclicos. Ph.D. Thesis, University of São Paulo, São Paulo, Brazil, 2016. [Google Scholar]
- Komatsu, A. Development on battered pile with screw pile method (NS-ECO pile). In Advances in Deep Foundations; Kikuchi, Y., Otani, J., Kimura, M., Morikawa, Y., Eds.; Taylor & Francis: London, UK, 2007; pp. 253–257. [Google Scholar]
- Hernandez, C.; Shadman, M.; Maali, A.; Silva, C.; Estefen, S.F.; La Rovere, E. Environmental impacts of offshore wind installation, operation and maintenance, and decommissioning activities: A case study of Brazil. Renew. Sustain. Energy Rev. 2021, 144, 110994. [Google Scholar] [CrossRef]
- Hao, D.; Wang, D.; O’Loughlin, C.D.; Gaudin, C. Tensile monotonic capacity of helical anchors in sand: Interaction between helices. Can. Geotech. J. 2019, 56, 1534–1543. [Google Scholar] [CrossRef]
- Cerfontaine, B.; Knappett, J.; Brown, M.J.; Davidson, C.; Al-Baghdadi, T.; Sharif, Y.; Brennan, A.; Augarde, C.E.; Coombs, W.M.; Wang, L.; et al. A finite element approach for determining the full load-displacement relationship of axially-loaded screw anchors, incorporating installation effects. Can. Geotech. J. 2021, 58, 565–582. [Google Scholar] [CrossRef]
- Wang, L.; Zhang, P.; Ding, H.; Tian, Y.; Qi, X. The uplift capacity of single-plate helical pile in shallow dense sand including the influence of installation. Mar. Struct. 2020, 71, 102697. [Google Scholar] [CrossRef]
- Byrne, B.; Houlsby, G.T. Helical piles: An innovative foundation design option for offshore wind turbines. Philos. Trans. Royal Soc. A Math. Phys. Eng. Sci. 2015, 373, 20140081. [Google Scholar] [CrossRef]
- Spagnoli, G.; De Hollanda, C.; Tsuha, C. A review on the behavior of helical piles as a potential offshore foundation system. Mar. Georesources Geotechnol. 2020, 38, 1013–1036. [Google Scholar] [CrossRef]
- Ullah, S.; Hu, Y. Discussion: A review on the behaviour of helical piles as a potential offshore foundation system. Mar. Georesources Geotechnol. 2020, 38, 1121–1127. [Google Scholar] [CrossRef]
- DNVGL-ST-0126; Support Structures for Wind Turbines. DNVGL: Bærum, Norway, 2018.
- O’Loughlin, C.D.; Neubecker, S.R.; Gaudin, C. Anchoring systems: Anchor types, installation and design. In Encyclopaedia of Marine and Offshore Engineering; Wiley: Hoboken, NJ, USA, 2018. [Google Scholar]
- Liu, Z.; Zhao, Y.; Colin, C.; Stattegger, K.; Wiesner, M.G.; Huh, C.-A.; Zhang, Y.; Li, X.; Sompongchaiyakul, P.; You, C.F.; et al. Source-to-sink transport processes of fluvial sediments in the South China Sea. Earth-Sci. Rev. 2016, 153, 238–273. [Google Scholar] [CrossRef]
- Li, W.; Deng, L.; Chalaturnyk, R. Centrifuge modeling of the behaviour of helical piles in cohesive soils from installation and axial loading. Soils Found. 2022, 62, 101141. [Google Scholar] [CrossRef]
- Wang, D.; Merifield, R.S.; Gaudin, C. Uplift behaviour of helical anchors in clay. Can. Geotech. J. 2013, 50, 575–584. [Google Scholar] [CrossRef]
- Rao, S.; Prasad, Y.; Shetty, M. The behaviour of model screw piles in cohesive soils. Soils Found. 1991, 31, 35–50. [Google Scholar] [CrossRef] [PubMed]
- Rao, S.; Prasad, Y.; Veeresh, C. Behaviour of embedded model screw anchors in soft clays. Geotechnique 1993, 43, 605–614. [Google Scholar] [CrossRef]
- Sakr, M. Relationship between Installation Torque and Axial Capacities of Helical Piles in Cohesive Soils. DFI J. J. Deep Found. Inst. 2013, 7, 44–58. [Google Scholar] [CrossRef]
- Lanyi-Bennett, S.; Deng, L. Axial load testing of helical pile groups in glaciolacustrine clay. Can. Geotech. J. 2019, 56, 187–197. [Google Scholar] [CrossRef]
- Lanyi-Bennett, S.; Deng, L. Effects of inter-helix spacing and short-term soil setup on the behaviour of axially loaded helical piles in cohesive soil. Soils Found. 2019, 59, 337–350. [Google Scholar] [CrossRef]
- Merifield, R. Ultimate Uplift Capacity of Multiplate Helical Type Anchors in Clay. J. Geotech. Geoenvironmental Eng. 2011, 137, 704–716. [Google Scholar] [CrossRef]
- Zhou, H.; Hu, Q.; Yu, X.; Zheng, G.; Liu, X.; Xu, H.; Yang, S.; Liu, J.; Tian, K. Quantitative bearing capacity assessment of strip footings adjacent to two-layered slopes considering spatial soil variability. Acta Geotechnica 2023. [Google Scholar] [CrossRef]
- Roscoe, K.; Schofield, A.N. The stability of short pier foundations in sand. Br. Weld. J. 1956, 3, 343–354. [Google Scholar]
- Suryasentana, S.; Dunne, H.; Martin, C.; Burd, H.; Byrne, B.; Shonberg, A. Assessment of numerical procedures for determining shallow foundation failure envelopes. Géotechnique 2019, 70, 60–70. [Google Scholar] [CrossRef]
- Zhao, X.; Zhang, P.; Lv, Y.; Ding, H. Scour effects on bearing capacity of composite bucket foundation for offshore wind turbines. Mar. Georesources Geotechnol. 2020, 38, 223–237. [Google Scholar] [CrossRef]
- Jing, Y.; Wang, Y.; Huang, Q.; Wang, W.; Luo, L. Failure envelopes of composite bucket foundation for offshore wind turbines under combined loading with considering different scour depths. Shock Vib. 2021, 2021, 7922572. [Google Scholar] [CrossRef]
- Bransby, M.; Randolph, M.F. Combined loading of skirted foundations. Géotechnique 1998, 48, 637–655. [Google Scholar] [CrossRef]
- Gourvenec, S.; Barnett, S. Undrained failure envelope for skirted foundations under general loading. Géotechnique 2011, 61, 263–270. [Google Scholar] [CrossRef]
- Karapiperis, K.; Gerolymos, N. Combined loading of caisson foundations in cohesive soil: Finite element versus Winkler modeling. Comput. Geotech. 2014, 56, 100–120. [Google Scholar] [CrossRef]
- Zhang, Y.; Bienen, B.; Cassidy, M.J.; Gourvenec, S. The undrained bearing capacity of a spudcan foundation under combined loading in soft clay. Mar. Struct. 2011, 24, 459–477. [Google Scholar] [CrossRef]
- Guo, X.; Liu, J.; Feng, X.; Han, C. Effects of local scour on failure envelopes of offshore monopiles and caissons. Appl. Ocean Eng. 2022, 118, 103007. [Google Scholar] [CrossRef]
- Feng, X.; Randolph, M.; Gourvenec, S.; Wallerand, R. Design approach for rectangular mudmats under fully three-dimensional loading. Géotechnique 2014, 64, 51–63. [Google Scholar] [CrossRef]
- Dunne, H.; Martin, C. Capacity of rectangular mudmat foundations on clay under combined loading. Géotechnique 2017, 67, 168–180. [Google Scholar] [CrossRef]
- Negro, V.; López-Gutiérrez, J.; Esteban, M.D.; Alberdi, P.; Imaz, M.; Serraclara, J.M. Monopiles in offshore wind: Preliminary estimate of main dimensions. Ocean Eng. 2017, 133, 253–261. [Google Scholar] [CrossRef]
- Lombardi, D.; Bhattacharya, S.; Wood, D.M. Dynamic soil-structure interaction of monopile supported wind turbines in cohesive soil. Soil Dyn. Earthq. Eng. 2013, 49, 165–180. [Google Scholar] [CrossRef]
- Cui, C.; Zhang, S.; David, C.; Kun, M. Dynamic impedance of a floating pile embedded in poro-visco-elastic soils subjected to vertical harmonic loads. Geomechanics and Engineering. 2018, 15, 793–803. [Google Scholar]
- Tseng, W.; Kuo, Y.; Chen, J. An investigation into the effect of scour on the loading and deformation responses of monopile foundations. Energies 2017, 10, 1190. [Google Scholar] [CrossRef]
- Dassault Systèmes. Abaqus Analysis User’s Manual; Simulia: Providence, RI, USA, 2016. [Google Scholar]
- Deb, P.; Pal, S. Numerical analysis of piled raft foundation under combined vertical and lateral loading. Ocean Eng. 2019, 190, 106431.1–104431.13. [Google Scholar] [CrossRef]
- Kong, D.; Liu, Y.; Deng, M.; Zhao, X. Analysis of influencing factors of lateral soil resistance distribution characteristics around monopile foundation for offshore wind power. Appl. Ocean Res. 2020, 97, 102106. [Google Scholar] [CrossRef]
- Tan, M. Bearing Capacity of Rectangular Plate Anchor/Foundations in Normally Consolidated Clay. Ph.D. Thesis, Dalian University of Technology, Dalian, China, 2018. [Google Scholar]
- API (American Petroleum Institute). Geotechnical and Foundation Design Considerations API RP 2GEO; American Petroleum Institute: Washington, DC, USA, 2011. [Google Scholar]
- Randolph, M.; Neill, M.; Stewart, D.; Erbrich, C. Performance of suction anchors in fine-grained calcareous soils. Geology 1998, OTC8831, 521–529. [Google Scholar]
- Aubeny, C.; Han, S.; Murff, J. Inclined load capacity of suction caissons. Int. J. Numer. Anal. Methods Geomech. 2003, 27, 1235–1254. [Google Scholar] [CrossRef]
- Murff, J.; Hamilton, J. P-ultimate for undrained analysis of laterally loaded piles. J. Geotech. Eng. 1993, 119, 91–107. [Google Scholar] [CrossRef]
- Hu, Y.; Randolph, M.F. Bearing capacity of caisson foundations on normally consolidated clay. Soils Found. 2002, 42, 71–77. [Google Scholar] [CrossRef]
- Cassidy, M.; Uzielli, M.; Tian, Y. Probabilistic combined loading failure envelopes of a strip footing on spatially variable soil. Comput. Geotech. 2012, 49, 191–205. [Google Scholar] [CrossRef]












| Category | Parameter | Value |
|---|---|---|
| Steel-pipe pile | The outer diameter of monopile DM, (m) | 1.0 |
| The length of monopile L, (m) | 6.0 | |
| The embedment ratio L/DM | 6.0 | |
| The wall thickness of the monopile tM, (m) | 0.05 | |
| Helical pile | The outer diameter of hollow shaft DS, (m) | 1.0 |
| The diameter of plate DH, (m) | 1.5, 2.0, 2.5, 3.0 | |
| The distance from the bottom of shaft to soil surface LS, (m) | 6.0 | |
| The distance from the bottom of helix to soil surface LH, (m) | 6.0, 4.5, 3.0, 1.5 | |
| The wall thickness of shaft tS, (m) | 0.05 | |
| Soil | Soil strength su, (kPa) | 10 |
| Young’s modulus E, (kPa) | 5000 | |
| The Poisson’s ratio of soil ν | 0.49 | |
| The submerged effective unit weight of soil γ′ (kN/m3) | 6 |
| The Current Results | Existing Results | Deviation (%) | |||||
|---|---|---|---|---|---|---|---|
| NFV | 3.90 | 4.06 (a) | 4.26 (b) | 3.82 (c) | −3.94 | −8.45 | 2.09 |
| NFH | 4.10 | 4.20 (a) | 4.23 (d) | 4.37 (e) | −2.38 | −3.07 | −6.18 |
| No. | Case Identifier | DH/DS | LH/LS | NFV | NFH | NM |
|---|---|---|---|---|---|---|
| 1 | E-0 | 0 | 0 | 3.9 | 4.1 | 2.8 |
| 2 | E-1 | 1.5 | 1 | 5.5 | 4.3 | 3.1 |
| 3 | E-2 | 2.0 | 1 | 8.1 | 4.6 | 3.5 |
| 4 | E-3 | 2.5 | 1 | 11.5 | 4.9 | 3.9 |
| 5 | E-4 | 3.0 | 1 | 15.6 | 5.2 | 4.4 |
| 6 | E-5 | 1.5 | 0.75 | 5.6 | 4.1 | 2.9 |
| 7 | E-6 | 2.0 | 0.75 | 8.2 | 4.1 | 2.9 |
| 8 | E-7 | 2.5 | 0.75 | 11.4 | 4.2 | 3.0 |
| 9 | E-8 | 3.0 | 0.75 | 15.6 | 4.4 | 3.1 |
| 10 | E-9 | 1.5 | 0.5 | 5.6 | 4.2 | 2.8 |
| 11 | E-10 | 2.0 | 0.5 | 8.1 | 4.4 | 2.9 |
| 12 | E-11 | 2.5 | 0.5 | 11.3 | 4.6 | 2.9 |
| 13 | E-12 | 3.0 | 0.5 | 14.8 | 4.9 | 3.0 |
| 14 | E-13 | 1.5 | 0.25 | 5.8 | 4.3 | 2.9 |
| 15 | E-14 | 2.0 | 0.25 | 7.8 | 4.7 | 3.1 |
| 16 | E-15 | 2.5 | 0.25 | 10.2 | 5.3 | 3.6 |
| 17 | E-16 | 3.0 | 0.25 | 13.0 | 6.0 | 3.7 |
| Analysis Batch | Analysis Case | FV-FH-M | DH/DS | LH/LS | w/u | w/θ | u/θ | Number of Cases |
|---|---|---|---|---|---|---|---|---|
| 1 | 1–17 | Pure FV | 0, 1.5, 2.0, 2.5,3.0 | 0, 0.25, 0.5, 0.75, 1 | +∞, 100, 10, 2, 1, 0.5, 0.33, 0.2, 0.1, 0 | +∞, 100, 10, 2, 1, 0.5, 0.33, 0.2, 0.1, 0 | +∞, 5.5, 5, 4.5, 4, 3.5, 2, 1, 0.1, 0 | 17 |
| 18–34 | Pure FH | 17 | ||||||
| 35–51 | Pure M | 17 | ||||||
| 2 | 52–221 | Varying FV-FH | 170 | |||||
| 222–391 | Varying FV-M | 170 | ||||||
| 392–561 | Varying FH-M | 170 |
| Case Identifier | DH/DS | LH/LS | αV | αH | αM | αHM | e |
|---|---|---|---|---|---|---|---|
| E-0 | 0 | 0 | 3.75 | 3.91 | 2.24 | 1.14 | 3.48 |
| E-1 | 1.5 | 1 | 3.35 | 3.57 | 2.19 | 1.41 | −2.70 |
| E-2 | 2.0 | 1 | 2.61 | 2.79 | 2.08 | 2.11 | −6.62 |
| E-3 | 2.5 | 1 | 2.52 | 1.49 | 1.18 | 3.56 | −0.71 |
| E-4 | 3.0 | 1 | 2.53 | 1.17 | 0.97 | 3.86 | −13.28 |
| E-5 | 1.5 | 0.75 | 3.94 | 0.66 | 0.72 | 2.66 | −4.14 |
| E-6 | 2.0 | 0.75 | 2.89 | 1.72 | 1.21 | 2.01 | −4.33 |
| E-7 | 2.5 | 0.75 | 2.07 | 6.08 | 5.54 | 0.66 | −5.26 |
| E-8 | 3.0 | 0.75 | 2.83 | 1.25 | 1.63 | 1.14 | −0.99 |
| E-9 | 1.5 | 0.5 | 2.70 | 9.64 | 9.32 | 0.36 | −7.70 |
| E-10 | 2.0 | 0.5 | 2.24 | 1.97 | 1.71 | 1.61 | −1.82 |
| E-11 | 2.5 | 0.5 | 2.01 | 2.63 | 2.89 | 1.02 | −3.60 |
| E-12 | 3.0 | 0.5 | 1.63 | 1.95 | 2.03 | 1.73 | −1.81 |
| E-13 | 1.5 | 0.25 | 2.75 | 3.58 | 2.84 | 0.74 | −6.57 |
| E-14 | 2.0 | 0.25 | 2.31 | 1.62 | 1.65 | 1.54 | −1.30 |
| E-15 | 2.5 | 0.25 | 2.16 | 1.24 | 1.74 | 1.78 | −0.89 |
| E-16 | 3.0 | 0.25 | 2.18 | 1.28 | 1.81 | 1.83 | −0.92 |
Disclaimer/Publisher’s Note: The statements, opinions and data contained in all publications are solely those of the individual author(s) and contributor(s) and not of MDPI and/or the editor(s). MDPI and/or the editor(s) disclaim responsibility for any injury to people or property resulting from any ideas, methods, instructions or products referred to in the content. |
© 2023 by the authors. Licensee MDPI, Basel, Switzerland. This article is an open access article distributed under the terms and conditions of the Creative Commons Attribution (CC BY) license (https://creativecommons.org/licenses/by/4.0/).
Share and Cite
Wang, L.; Zhao, X.; Zhang, P.; Ding, H.; Guo, Y.; Tian, Y.; Liu, M. The Study of the Failure Envelopes of Hollow Shaft Single-Plate Helical Piles in Clay. J. Mar. Sci. Eng. 2023, 11, 1323. https://doi.org/10.3390/jmse11071323
Wang L, Zhao X, Zhang P, Ding H, Guo Y, Tian Y, Liu M. The Study of the Failure Envelopes of Hollow Shaft Single-Plate Helical Piles in Clay. Journal of Marine Science and Engineering. 2023; 11(7):1323. https://doi.org/10.3390/jmse11071323
Chicago/Turabian StyleWang, Le, Xing Zhao, Puyang Zhang, Hongyan Ding, Yaohua Guo, Yinghui Tian, and Mengmeng Liu. 2023. "The Study of the Failure Envelopes of Hollow Shaft Single-Plate Helical Piles in Clay" Journal of Marine Science and Engineering 11, no. 7: 1323. https://doi.org/10.3390/jmse11071323
APA StyleWang, L., Zhao, X., Zhang, P., Ding, H., Guo, Y., Tian, Y., & Liu, M. (2023). The Study of the Failure Envelopes of Hollow Shaft Single-Plate Helical Piles in Clay. Journal of Marine Science and Engineering, 11(7), 1323. https://doi.org/10.3390/jmse11071323

