Leakage Flow Characteristics in Blade Tip of Shaft Tubular Pump
Abstract
1. Introduction
2. Calculation Object and Test Device
2.1. Calculation Object
2.2. Test Device
3. Numerical Simulation and Experimental Verification
3.1. Turbulence Model and Calculation Boundary Conditions
3.2. Grid Division of the Computing Domain
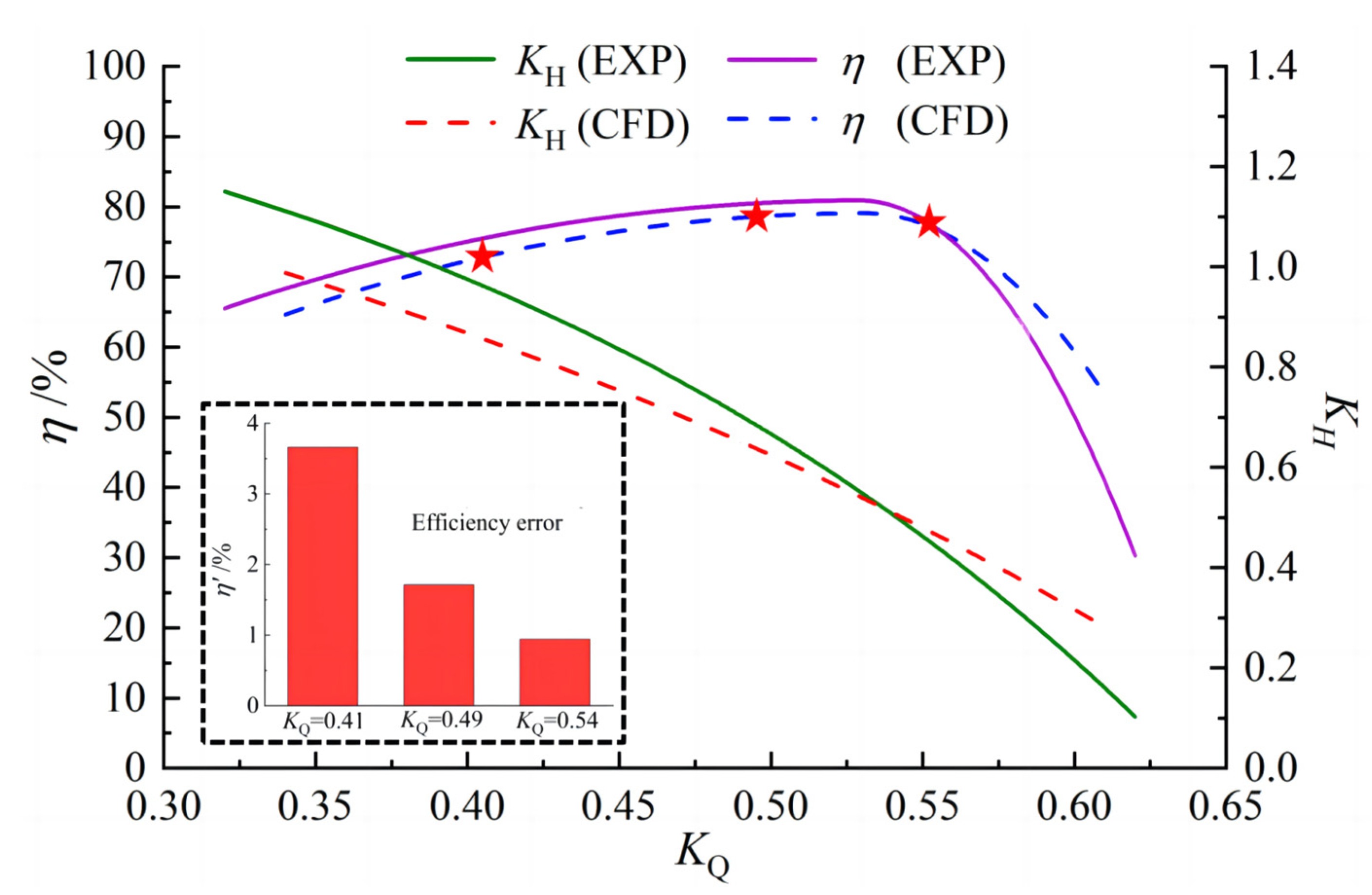
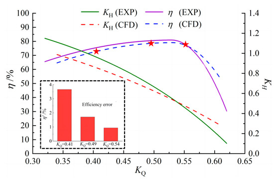
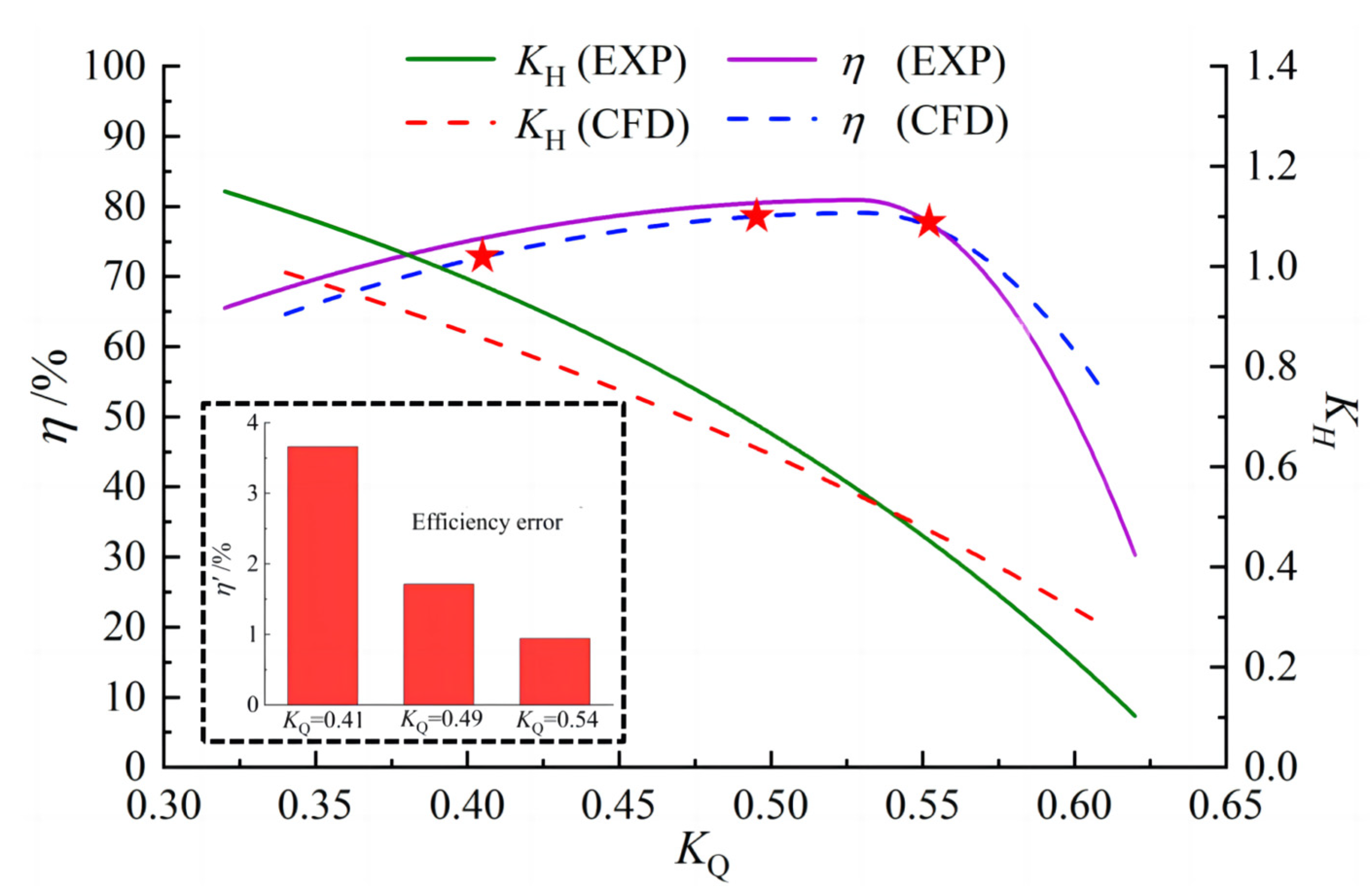
3.3. Experimental Verification
4. Results Analysis and Discussion
4.1. Analysis of the Tip Clearance Leakage Flow at Different Flow Rates
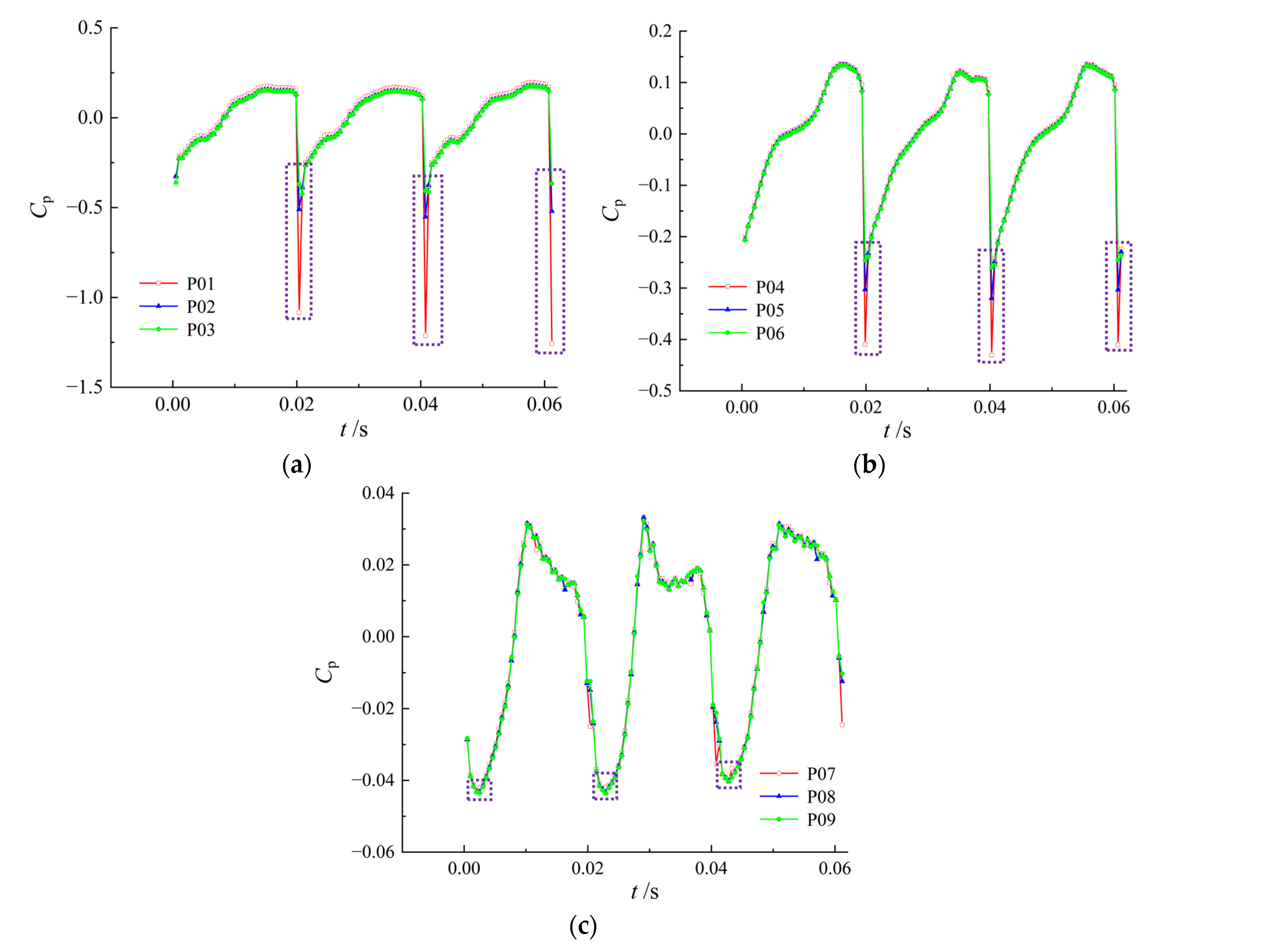
4.2. Analysis of the Vortex Shape Properties of the Tip Clearance under Different Flow Conditions
4.3. Analysis of the Tip Clearance Leakage Flow at Different Flow Rates
5. Conclusions
Author Contributions
Funding
Institutional Review Board Statement
Informed Consent Statement
Data Availability Statement
Conflicts of Interest
Nomenclature
| TCLF | tip clearance leakage flow |
| PS | pressure surface |
| SS | suction surface |
| TLV | tip leakage vortices |
| CFD | computational fluid dynamics |
| SST-CC | shear stress transport-curvature correction |
| D | impeller nominal diameter |
| ES | system uncertainty of the test bench |
| EQ, EH, EM, En | system errors of flow rate, head, torque and rotational speed |
| Pk | generating term of the transport equations |
| fr | correction factor |
| Co | Courant number |
| absolute value of the estimated average speed | |
| fs.max | maximum sampling frequency |
| fmax | maximum frequency in the signal |
| Δt | time step |
| d | tip clearance width |
| GCI | grid convergence index |
| KQ, KH | flow coefficient, head coefficient |
| Q | flow rate |
| H | head |
| g | acceleration of gravity |
| λ | blade chord length coefficient |
| ζ | thickness coefficient |
| r* | radial coefficient |
| LE | leading edge |
| TE | trailing edge |
| RQ | relative leakage |
| Qtip, Qtotal | flow rate of the TCLF, total flow rate of the impeller |
| TKE | turbulent kinetic energy |
| Cp, Cω, Cs, Ck | pressure coefficient, vorticity coefficient, swirling strength coefficient, TKE coefficient |
References
- Zhang, D.; Shi, W.; van Esch, B.; Shi, L.; Dubuisson, M. Numerical and experimental investigation of tip leakage vortex trajectory and dynamics in an axial flow pump. Comput. Fluids 2015, 112, 61–71. [Google Scholar] [CrossRef]
- Zhang, D.; Shi, L.; Shi, W.; Zhao, R.; Wang, H.; van Esch, B. Numerical analysis of unsteady tip leakage vortex cavitation cloud and unstable suction-side-perpendicular cavitating vortices in an axial flow pump. Int. J. Multiph. Flow 2015, 77, 244–259. [Google Scholar] [CrossRef]
- Zhang, H.; Zuo, F.; Zhang, D.; Shi, W. Formation and Evolution Mechanism of Tip Leakage Vortex in Axial Flow Pump and Vortex Cavitation Analysis. Nongye Jixie Xuebao/Trans. Chin. Soc. Agric. Mach. 2021, 52, 157–167. [Google Scholar]
- Ji, D.; Lu, W.; Xu, L.; Lu, L. Comparison of the Hydraulic Performance and Pressure Pulsation Characteristics of Shaft Tubu-lar Pump Device under Multiple Working Conditions. JMSE 2022, 10, 750. [Google Scholar] [CrossRef]
- Chen, J.; Mao, J.; Shi, H.; Wang, X. Experimental and Numerical Study on the Hydraulic Characteristics of an S-Type Bidi-rectional Shaft Tubular Pump. JMSE 2022, 10, 671. [Google Scholar] [CrossRef]
- Wang, C.-N.; Yang, F.-C.; Nguyen, V.T.T.; Vo, N.T.M. CFD Analysis and Optimum Design for a Centrifugal Pump Using an Effectively Artificial Intelligent Algorithm. Micromachines 2022, 13, 1208. [Google Scholar] [CrossRef]
- Liu, Y.; Tan, L. Spatial–Temporal Evolution of Tip Leakage Vortex in a Mixed-Flow Pump With Tip Clearance. J. Fluids Eng. 2019, 141, 081302. [Google Scholar] [CrossRef]
- Kim, H.-H.; Rakibuzzaman, M.; Kim, K.; Suh, S.-H. Flow and Fast Fourier Transform Analyses for Tip Clearance Effect in an Operating Kaplan Turbine. Energies 2019, 12, 264. [Google Scholar] [CrossRef]
- Wang, L.; Lu, J.; Liao, W.; Wang, W.; Feng, J.; Luo, X. Study on tip leakage vortex structure properties of centrifugal pump. J. Hydraul. Eng. 2020, 51, 738–748. [Google Scholar]
- Yang, Y.; Zhou, L.; Bai, L.; Xu, H.; Lv, W.; Shi, W.; Wang, H. Numerical Investigation of Tip Clearance Effects on the Perfor-mance and Flow Pattern Within a Sewage Pump. J. Fluids Eng. 2022, 144, 081202. [Google Scholar] [CrossRef]
- Ji, L.; Li, W.; Shi, W.; Agarwal, R. Transient characteristics of internal flow fields of mixed-flow pump with different tip clearances under stall condition. Proc. Inst. Mech. Eng. Part A J. Power Energy 2021, 235, 700–717. [Google Scholar] [CrossRef]
- Yu, H.; Zhang, Z.; Hua, H. Numerical Investigation of Tip Clearance Effects on Propulsion Performance and Pressure Fluc-tuation of a Pump-Jet Propulsor. Ocean Eng. 2019, 192, 106500. [Google Scholar] [CrossRef]
- Shen, S.; Qian, Z.; Ji, B.; Agarwal, R. Numerical investigation of tip flow dynamics and main flow characteristics with varying tip clearance widths for an axial-flow pump. Proc. Inst. Mech. Eng. Part A J. Power Energy 2019, 233, 476–488. [Google Scholar] [CrossRef]
- Han, C.-Z.; Xu, S.; Cheng, H.-Y.; Ji, B.; Zhang, Z.-Y. LES method of the tip clearance vortex cavitation in a propelling pump with special emphasis on the cavitation-vortex interaction. J. Hydrodyn. 2020, 32, 1212–1216. [Google Scholar] [CrossRef]
- Zhang, J.; Fan, H.; Zhang, W.; Xie, Z. Energy performance and flow characteristics of a multiphase pump with different tip clearance sizes. Adv. Mech. Eng. 2019, 11, 168781401882335. [Google Scholar] [CrossRef]
- Kan, N.; Liu, Z.; Shi, G.; Liu, X. Effect of Tip Clearance on Helico-Axial Flow Pump Performance at Off-Design Case. Process. 2021, 9, 1653. [Google Scholar] [CrossRef]
- Yang, F.; Liu, C.; Tang, F.; Zhou, J. Analysis of Shaft Line Evolution and Its Influence on Hydraulic Performance of Pump De-vice. J. Basic Sci. Eng. 2014, 22, 129–138. [Google Scholar]
- Xie, R.; Wu, Z.; He, Y.; Tang, F.; Xie, C.; Tu, L. Study on optimization of inlet and outlet passage of bidirectional shaft tubular pump. Trans. Chin. Soc. Agric. Mach. 2015, 46, 68–74. [Google Scholar]
- Xu, L.; Lv, F.; Li, F.; Ji, D.; Shi, W.; Lu, W.; Lu, L. Comparison of Energy Performance of Shaft Tubular Pump Device at Two Guide Vane Inlet Angles. Process. 2022, 10, 1054. [Google Scholar] [CrossRef]
- Meng, F.; Pei, J.; Li, Y.; Yuan, S.; Chen, J. Influence of guide vane position on hydraulic performance of bidirectional shaft tubular pump. Trans. Chin. Soc. Agric. Mach. 2017, 48, 135–140. [Google Scholar]
- Jiao, H.; Sun, C.; Chen, S. Analysis of the Influence of Inlet Guide Vanes on the Performance of Shaft Tubular Pumps. Shock Vib. 2021, 2021, 1–17. [Google Scholar] [CrossRef]
- Cheng, K.; Li, S.; Cheng, L.; Sun, T.; Zhang, B.; Jiao, W. Experiment on Influence of Blade Angle on Hydraulic Characteristics of the Shaft Tubular Pumping Device. Processes 2022, 10, 590. [Google Scholar] [CrossRef]
- Pei, J.; Meng, F.; Li, Y.; Yuan, S.; Chen, J. Effects of distance between impeller and guide vane on losses in a low head pump by entropy production analysis. Adv. Mech. Eng. 2016, 8, 168781401667956. [Google Scholar] [CrossRef]
- Wang, S.; Zhang, L.; Yin, G. Numerical Investigation of the FSI Characteristics in a Tubular Pump. Math. Probl. Eng. 2017, 2017, 1–9. [Google Scholar] [CrossRef]
- Yang, F.; Liu, C. Numerical and Experimental Investigations of Vortex Flows and Vortex Suppression Schemes in the Intake Passage of Pumping System. Adv. Mech. Eng. 2015, 7, 547086. [Google Scholar] [CrossRef]
- Menter, F.R. Two-equation eddy-viscosity turbulence models for engineering applications. AIAA J. 1994, 32, 1598–1605. [Google Scholar] [CrossRef]
- Smirnov, P.E.; Menter, F.R. Sensitization of the SST Turbulence Model to Rotation and Curvature by Applying the Spalart–Shur Correction Term. J. Turbomach. 2009, 131, 041010. [Google Scholar] [CrossRef]
- Al-Obaidi, A.R. Effects of Different Turbulence Models on Three-Dimensional Unsteady Cavitating Flows in the Centrifugal Pump and Performance Prediction. Int. J. Nonlinear Sci. Numer. Simul. 2019, 20, 487–509. [Google Scholar] [CrossRef]
- Yang, F.; Zhang, Y.; Yuan, Y.; Liu, C.; Li, Z.; Nasr, A. Numerical and Experimental Analysis of Flow and Pulsation in Hump Section of Siphon Outlet Conduit of Axial Flow Pump Device. Appl. Sci. 2021, 11, 4941. [Google Scholar] [CrossRef]
- Yang, F.; Li, Z.; Yuan, Y.; Liu, C.; Zhang, Y.; Jin, Y. Numerical and Experimental Investigation of Internal Flow Characteristics and Pressure Fluctuation in Inlet Passage of Axial Flow Pump under Deflection Flow Conditions. Energies 2021, 14, 5245. [Google Scholar] [CrossRef]
- Wang, F. Flow Analysis Method of Pump and Pump Station, 1st ed.; China Water & Power Press: Beijing, China, 2020. [Google Scholar]
- Yang, F.; Li, Z.; Hu, W.; Liu, C.; Jiang, D.; Liu, D.; Nasr, A. Analysis of flow loss characteristics of slanted axial-flow pump device based on entropy production theory. R. Soc. Open Sci. 2022, 9, 211208. [Google Scholar] [CrossRef] [PubMed]
- Feng, H.; Wan, Y.; Fan, Z. Numerical investigation of turbulent cavitating flow in an axial flow pump using a new transport-based model. J. Mech. Sci. Technol. 2020, 34, 745–756. [Google Scholar] [CrossRef]
- Qiaorui, S.; Ali, A.; Biaobiao, W.; Wang, P.; Bois, G.; Jianping, Y.; Kubar, A.A. Numerical Study on Gas-Liquid Two Phase Flow Characteristic of Multistage Electrical Submersible Pump by Using a Novel Multiple-Size Group (MUSIG) Model. Phys. Fluids 2022, 34, 063311. [Google Scholar] [CrossRef]
- Yang, F.; Li, Z.; Fu, J.; Lv, Y.; Ji, Q.; Jian, H. Numerical and Experimental Analysis of Transient Flow Field and Pressure Pul-sations of an Axial-Flow Pump Considering the Pump–Pipeline Interaction. JMSE 2022, 10, 258. [Google Scholar] [CrossRef]
- Kan, K.; Zhao, F.; Xu, H.; Feng, J.; Chen, H.; Liu, W. Energy Performance Evaluation of an Axial-Flow Pump as Turbine under Conventional and Reverse Operating Modes Based on an Energy Loss Intensity Model. Phys. Fluids 2023, 35, 015125. [Google Scholar] [CrossRef]
- Wang, Y.; Gui, N. The Third Generation Vortex Identification Method and Its Application. Chin. J. Hydrodyn. 2019, 34, 413–429. [Google Scholar]



























| Term | Sensor | Type | System Error |
|---|---|---|---|
| Flow rate | Electromagnetic flowmeter | E-mag DN400 | ±0.18% |
| Head | Differential pressure transmitter | EJA110A | ±0.015% |
| Torque | Speed torque sensor | ZJ500Nm | ±0.24% |
| Rotational speed | Speed torque sensor | ZJ500Nm | ±0.05% |
| Type | Boundary Type |
|---|---|
| inlet boundary condition | pressure, one standard atmospheric pressure |
| outlet boundary condition | mass flow |
| solid wall surface | non-slip boundary condition |
| dynamic-static interface on both sides of impeller | stage |
| static-static interface | none |
| convergence accuracy | 1.0 × 10−5 |
| Grid Scheme | Number of Grid | Number of Impeller Grid (×104) |
|---|---|---|
| scheme 1 | 2,069,545 | 53 |
| scheme 2 | 2,693,916 | 72 |
| scheme 3 | 3,528,292 | 114 |
| scheme 4 | 4,825,944 | 151 |
| scheme 5 | 5,191,716 | 171 |
| scheme 6 | 5,761,914 | 213 |
| scheme 7 | 6,483,977 | 247 |
Disclaimer/Publisher’s Note: The statements, opinions and data contained in all publications are solely those of the individual author(s) and contributor(s) and not of MDPI and/or the editor(s). MDPI and/or the editor(s) disclaim responsibility for any injury to people or property resulting from any ideas, methods, instructions or products referred to in the content. |
© 2023 by the authors. Licensee MDPI, Basel, Switzerland. This article is an open access article distributed under the terms and conditions of the Creative Commons Attribution (CC BY) license (https://creativecommons.org/licenses/by/4.0/).
Share and Cite
Lin, Z.; Yang, F.; Guo, J.; Jian, H.; Sun, S.; Jin, X. Leakage Flow Characteristics in Blade Tip of Shaft Tubular Pump. J. Mar. Sci. Eng. 2023, 11, 1139. https://doi.org/10.3390/jmse11061139
Lin Z, Yang F, Guo J, Jian H, Sun S, Jin X. Leakage Flow Characteristics in Blade Tip of Shaft Tubular Pump. Journal of Marine Science and Engineering. 2023; 11(6):1139. https://doi.org/10.3390/jmse11061139
Chicago/Turabian StyleLin, Zhikang, Fan Yang, Jun Guo, Hongfu Jian, Shengjie Sun, and Xiaoyu Jin. 2023. "Leakage Flow Characteristics in Blade Tip of Shaft Tubular Pump" Journal of Marine Science and Engineering 11, no. 6: 1139. https://doi.org/10.3390/jmse11061139
APA StyleLin, Z., Yang, F., Guo, J., Jian, H., Sun, S., & Jin, X. (2023). Leakage Flow Characteristics in Blade Tip of Shaft Tubular Pump. Journal of Marine Science and Engineering, 11(6), 1139. https://doi.org/10.3390/jmse11061139

