Numerical Analysis on Water-Exit Process of Submersible Aerial Vehicle under Different Launch Conditions
Abstract
1. Introduction
2. Computational Model
3. Numerical Method
3.1. Free Surface Model
3.2. VOF Method
3.3. Six Degrees of Freedom Motion Model
3.4. Polynomial Response Surface Model
3.5. Boundary Conditions
4. Simulation Model Validation
5. Results and Discussion
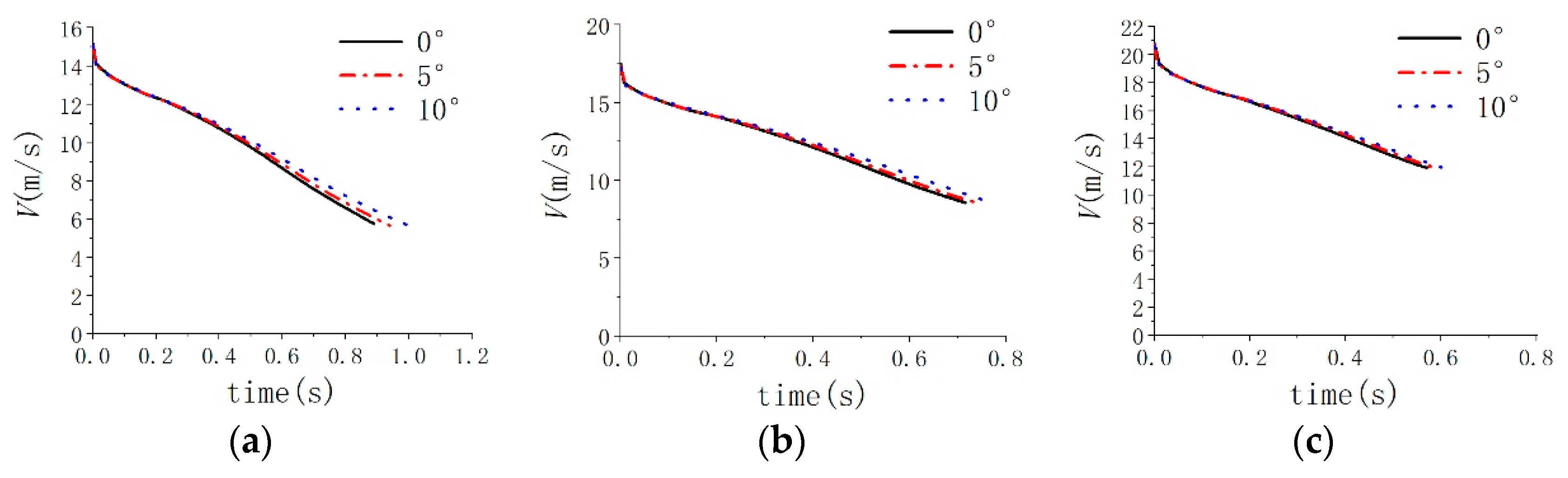
5.1. Influence of Initial Inclination Angle
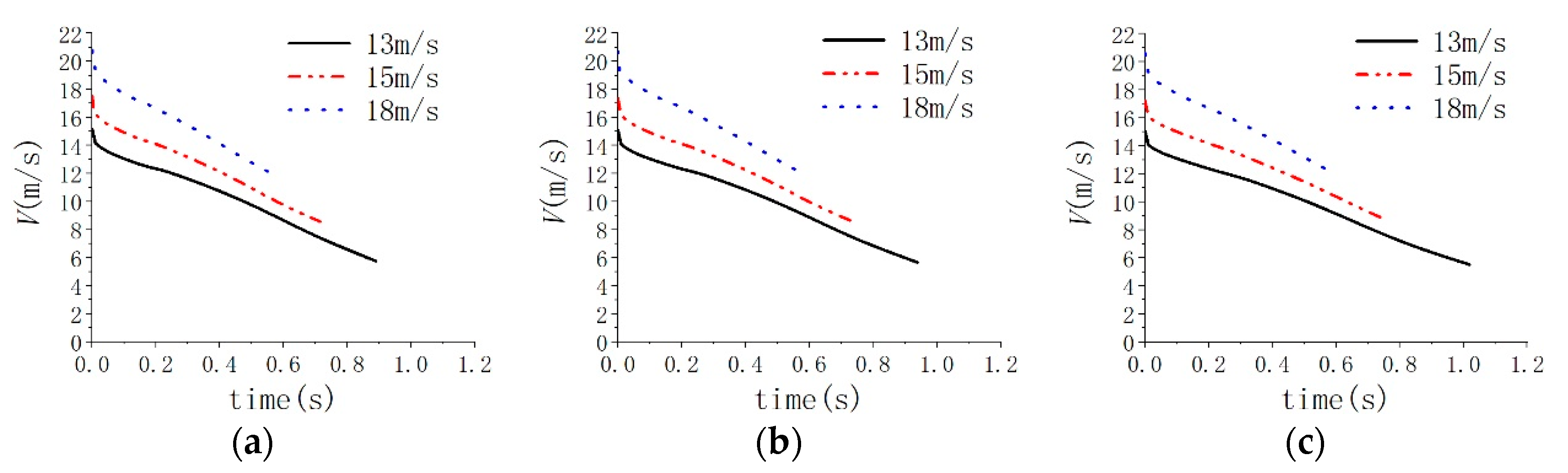
5.2. Influence of Water-Exit Velocity on Submersible Aerial Vehicle’s Trans-Medium Motion
5.3. Submersible Aerial Vehicle’s Trans-Medium Motion Stability Analysis
6. Conclusions
Author Contributions
Funding
Institutional Review Board Statement
Informed Consent Statement
Data Availability Statement
Conflicts of Interest
References
- Li, Y.G.; Wang, C.; Wu, Y.Y.; Cao, W.; Lu, J.X.; He, Q.K. On the motion characteristics of Cavity Wall in the High-speed Water Entry of Trans-media Vehicle. Acta Armamentari 2022, 43, 574–585. [Google Scholar]
- Truscott, T.T.; Epps, B.P.; Belden, J. Water Entry of Projectiles. Annu. Rev. Fluid Mech. 2014, 46, 355–378. [Google Scholar] [CrossRef]
- Lu, C.Y.; Wang, X.; Zhou, Z.T.; Liang, X.Y.; Le, G.G. Investigation on separating kinematic characteristics of submarine-launched missile near free surface. J. Astronaut. 2021, 42, 496–503. [Google Scholar]
- Lu, Y.L.; Hu, J.H.; Chen, G.M.; Liu, A.; Feng, J.F. Optimization of water-entry and water-exit maneuver trajectory for morphing unmanned aerial-underwater vehicle. Ocean Eng. 2022, 261, 112015. [Google Scholar] [CrossRef]
- Hu, K.; Ding, F.L. Simulated Research of Submarine Ballistic Missile Launching Movement Modeling and Manoeuvre Controll. Ship Sci. Technol. 2013, 35, 109–114. [Google Scholar]
- Bian, X.Y.; Zhao, X.P.; Zhu, C.B.; Li, X.L. Study on the influence of launch Parameters on the safety of vehicle trajectory. J. Ordnance Equip. Eng. 2017, 38, 40–45. [Google Scholar]
- Cao, J.Y.; Lu, C.J.; Chen, Y.; Chen, X.; Li, J. Research on the Base Cavity of a Sub-launched Projectile. J. Hydrodyn. 2012, 24, 244–249. [Google Scholar] [CrossRef]
- Shao, Z.W.; Han, P.W.; Ming, Y.; Lin, P.W.; Guang, W.W. Simulation on Three Dimensional Water-Exit Trajectory of Submersible Aerial Vehicle. Adv. Mater. Res. 2013, 2649, 791–793. [Google Scholar]
- Hu, J.H.; Xu, B.W.; Feng, J.F.; Qi, D.; Yang, J. Research on Water-Exit and Take-off Process for Morphing Unmanned Submersible Aerial Vehicle. China Ocean Eng. 2017, 31, 202–209. [Google Scholar] [CrossRef]
- Yuan, X.L.; Zhang, Y.W.; Duan, C.Y.; Liu, L.H. Water-Exit Trajectory Modeling and Experimental Validation of Unpowered Sub Launched Missile Carrier. J. Proj. Rocket. Missiles Guid. 2003, 23, 187–189. [Google Scholar]
- Siddall, R.; Kovac, M. Launching the AquaMAV: Bioinspired design for aerial–aquatic robotic platforms. Bioinspiration Biomim. 2014, 9, 031001. [Google Scholar] [CrossRef]
- Moshari, S.; Nikseresht, A.H.; Mehryar, R. Numerical analysis of two and three dimensional buoyancy driven water-exit of a circular cylinder. Int. J. Nav. Archit. Ocean Eng. 2014, 6, 219–235. [Google Scholar] [CrossRef]
- Chu, X.S.; Yan, K.; Wang, Z.; Zhang, K.; Feng, G. Numerical simulation of water-exit of a cylinder with cavities. In Proceedings of the International Conference on Hydrodynamics, ICHD-2010, China Ship Scientific Research Center, Wuxi, China, 21–25 October 2022. [Google Scholar]
- Ni, B.S.; Wu, G.X. Numerical simulation of water exit of an initially fully submerged buoyant spheroid in an axisymmetric flow. Fluid Dyn. Res. 2017, 49, 045511. [Google Scholar] [CrossRef]
- Xiao, M.; Shi, Z.K. Attitude control and trajectory simulation in the process of a mine out of water. Acta Armamentarii 2010, 31, 1151–1156. [Google Scholar]
- Wu, Q.G.; Ni, B.Y.; Xue, Y.Z.; Zhang, A.M. Experimental and numerical study of free water exit and re-entry of a fully submerged buoyant spheroid. Appl. Ocean Res. 2018, 76, 110–124. [Google Scholar] [CrossRef]
- Zhang, H.S.; Zhang, Z.L.; He, F.; Liu, M.B. Numerical investigation on the water entry of a 3D circular cylinder based on a GPU-accelerated SPH method. Eur. J. Mech. B/Fluids 2022, 94, 1–16. [Google Scholar] [CrossRef]
- Bhalla, A.P.S.; Nangia, N.; Dafnakis, P.; Bracco, G.; Mattiazzo, G. Simulating water-entry/exit problems using Eulerian–Lagrangian and fully-Eulerian fictitious domain methods within the open-source IBAMR library. Appl. Ocean Res. 2020, 94, 101932. [Google Scholar] [CrossRef]
- Vinod, V. Nair; S.K. Bhattacharyya. Water entry and exit of axisymmetric bodies by CFD approach. J. Ocean Eng. Sci. 2018, 3, 156–174. [Google Scholar]
- Wu, G.X. Hydrodynamic force on a rigid body during impact with liquid. J. Fluids Struct. 1998, 12, 549–559. [Google Scholar] [CrossRef]
- Zhao, C.G.; Wang, C.; Wei, Y.J.; Zhang, X.S.; Sun, T.Z. Experimental study on oblique water entry of projectiles. Mod. Phys. Lett. B 2016, 30, 1650348. [Google Scholar] [CrossRef]
- Tassin, A.; Piro, D.J.; Korobkin, A.A.; Maki, K.J.; Cooker, M.J. Two-dimensional water entry and exit of a body whose shape varies in time. J. Fluids Struct. 2013, 40, 317–336. [Google Scholar] [CrossRef]
- Ma, Z.C.; Hu, J.H.; Feng, J.F.; Liu, A.; Chen, G.M. A longitudinal air-water trans-media dynamic model for slender vehicles under low-speed condition. Nonlinear Dyn. 2020, 99, 1195–1210. [Google Scholar] [CrossRef]
- Huang, L.; Tavakoli, S.; Li, M.; Dolatshah, A.; Pena, B.; Ding, B.; Dashtimanesh, A. CFD analyses on the water entry process of a freefall lifeboat. Ocean. Eng. 2021, 232, 109115. [Google Scholar] [CrossRef]
- Budiarso; Siswantara, A.I.; Darmawan, S.; Tanujaya, H. Inverse-Turbulent Prandtl Number Effects on Reynolds Numbers of RNG k-ε Turbulence Model on Cylindrical-Curved Pipe. Appl. Mech. Mater. 2015, 3918, 758. [Google Scholar]
- Issac, J.; Singh, D.; Kango, S. Experimental and numerical investigation of heat transfer characteristics of jet impingement on a flat plate. Heat Mass Transf. Wärme-Und Stoffübertragung 2020, 56, 531–546. [Google Scholar] [CrossRef]
- Hirt, C.W.; Nichols, B.D. Volume of fluid (VOF) method for the dynamics of free boundaries. J. Comput. Phys. 1981, 39, 201–225. [Google Scholar] [CrossRef]
- Song, W.C.; Wang, C.; Wei, Y.J.; Xu, H. Experiment of cavity and trajectory characteristics of oblique water entry of revolution bodies. J. Beijing Univ. Aeronaut. Astronaut. 2016, 42, 2386–2394. [Google Scholar]
- Liu, B.; Liu, K.; Xue, R.J.; Zhang, L.Y.; Le, G.G. Research on separation of submarine-launched missile with elastic adapter. J. Ordnance Equip. Eng. 2022, 43, 136–144. [Google Scholar]
- Du, X.X.; Song, B.W.; Hu, H.B.; Wang, P. Simulation of submarine-aerial missile carrier’s water- trajectory. Syst. Eng. Theory Pract. 2007, 10, 172–176. [Google Scholar]
























| Case | Initial Angle (°) | Water-Exit Velocity (m/s) |
|---|---|---|
| 1 | 0 | 13 |
| 2 | 5 | 13 |
| 3 | 10 | 13 |
| 4 | 0 | 15 |
| 5 | 5 | 15 |
| 6 | 10 | 15 |
| 7 | 0 | 18 |
| 8 | 5 | 18 |
| 9 | 10 | 18 |
| Case | Initial Angle (°) | Initial Velocity (m/s) | x (m) | y (m) | z (m) |
|---|---|---|---|---|---|
| 1 | 0 | 13 | 1.808 | 9.1 × | 11.707 |
| 2 | 5 | 13 | 3.446 | 2.656 × | 11.693 |
| 3 | 10 | 13 | 5.174 | −4.5 × | 11.654 |
| 4 | 0 | 15 | 1.501 | −1.139 × | 11.686 |
| 5 | 5 | 15 | 2.924 | −6.462 × | 11.691 |
| 6 | 10 | 15 | 4.148 | 1.66 × | 11.651 |
| 7 | 0 | 18 | 1.241 | −1.47 × | 11.711 |
| 8 | 5 | 18 | 2.522 | −1.31 × | 11.688 |
| 9 | 10 | 18 | 3.731 | 8.58 × | 11.655 |
| Case | Initial Angle (°) | Initial Velocity (m/s) | Pitch Angle (°) |
|---|---|---|---|
| 1 | 0 | 13 | 18.551 |
| 2 | 5 | 13 | 27.394 |
| 3 | 10 | 13 | 35.709 |
| 4 | 0 | 15 | 14.439 |
| 5 | 5 | 15 | 21.767 |
| 6 | 10 | 15 | 23.401 |
| 7 | 0 | 18 | 11.118 |
| 8 | 5 | 18 | 17.344 |
| 9 | 10 | 18 | 22.052 |
Disclaimer/Publisher’s Note: The statements, opinions and data contained in all publications are solely those of the individual author(s) and contributor(s) and not of MDPI and/or the editor(s). MDPI and/or the editor(s) disclaim responsibility for any injury to people or property resulting from any ideas, methods, instructions or products referred to in the content. |
© 2023 by the authors. Licensee MDPI, Basel, Switzerland. This article is an open access article distributed under the terms and conditions of the Creative Commons Attribution (CC BY) license (https://creativecommons.org/licenses/by/4.0/).
Share and Cite
Liu, B.; Chen, X.; Li, E.; Le, G. Numerical Analysis on Water-Exit Process of Submersible Aerial Vehicle under Different Launch Conditions. J. Mar. Sci. Eng. 2023, 11, 839. https://doi.org/10.3390/jmse11040839
Liu B, Chen X, Li E, Le G. Numerical Analysis on Water-Exit Process of Submersible Aerial Vehicle under Different Launch Conditions. Journal of Marine Science and Engineering. 2023; 11(4):839. https://doi.org/10.3390/jmse11040839
Chicago/Turabian StyleLiu, Bing, Xiaohan Chen, Enyi Li, and Guigao Le. 2023. "Numerical Analysis on Water-Exit Process of Submersible Aerial Vehicle under Different Launch Conditions" Journal of Marine Science and Engineering 11, no. 4: 839. https://doi.org/10.3390/jmse11040839
APA StyleLiu, B., Chen, X., Li, E., & Le, G. (2023). Numerical Analysis on Water-Exit Process of Submersible Aerial Vehicle under Different Launch Conditions. Journal of Marine Science and Engineering, 11(4), 839. https://doi.org/10.3390/jmse11040839

