Flow-Induced Motion and Energy Conversion of the Cir-T-Att Oscillator in a Flow Field with a High Reynolds Number
Abstract
1. Introduction
2. Experimental Setup
2.1. Test Apparatus and Method
2.2. Test Condition
2.3. Validation of Physical Model
3. Results and Discussion
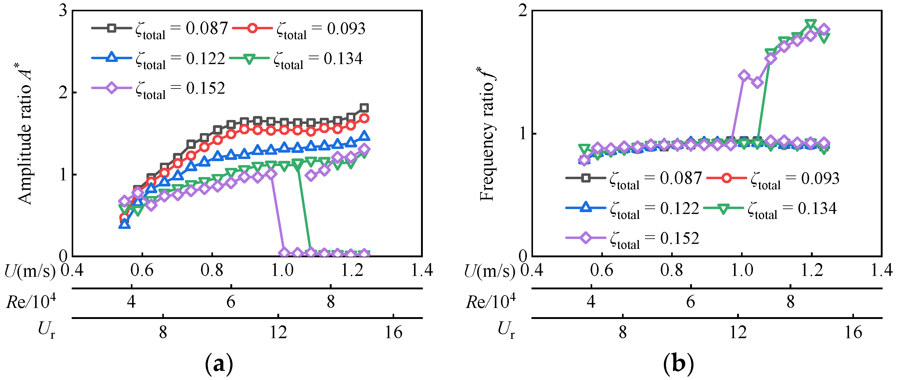
3.1. Influence of Re on Oscillation Response
3.2. Effect of Re on Fluid Force
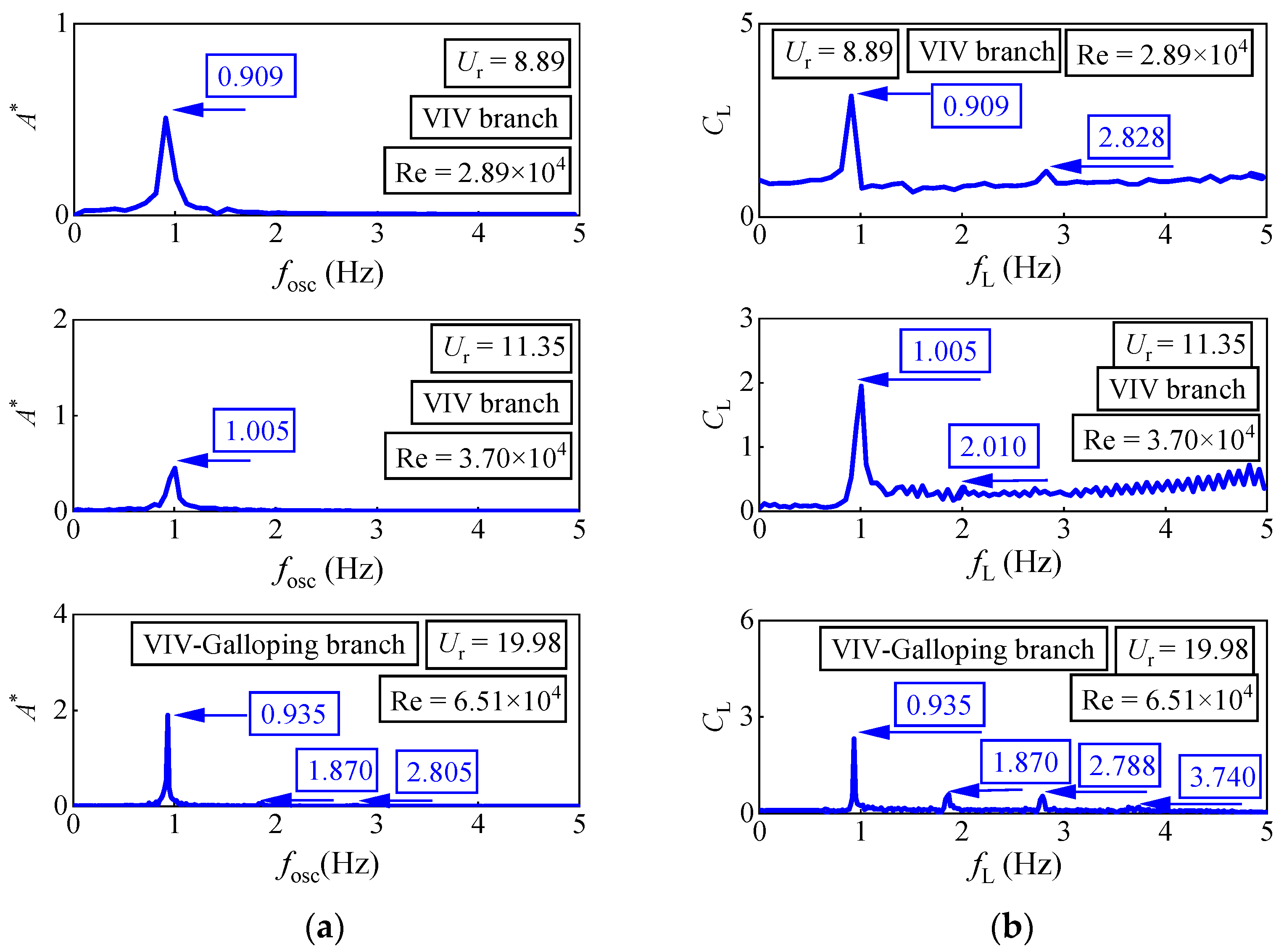
3.3. Spectral Content Dependence on Re
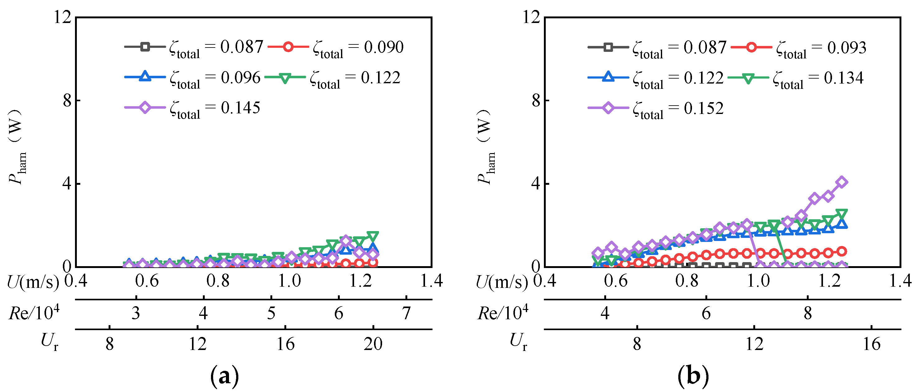
3.4. Energy Conversion Characteristicsr
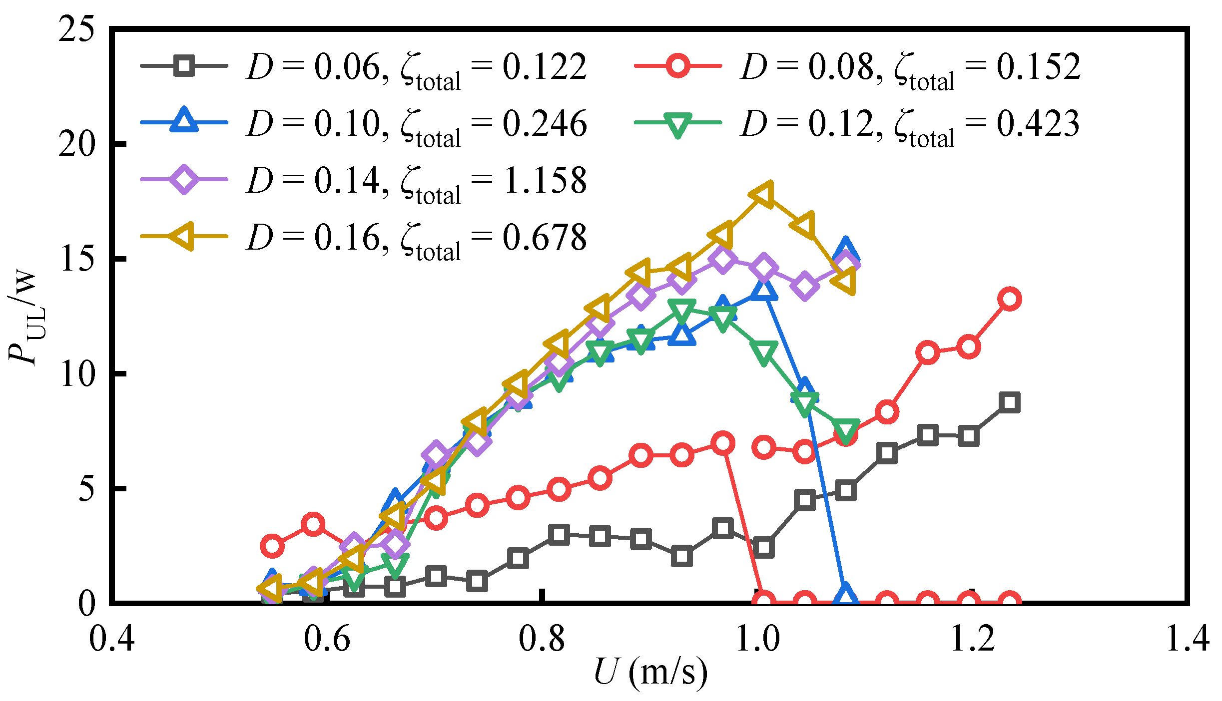
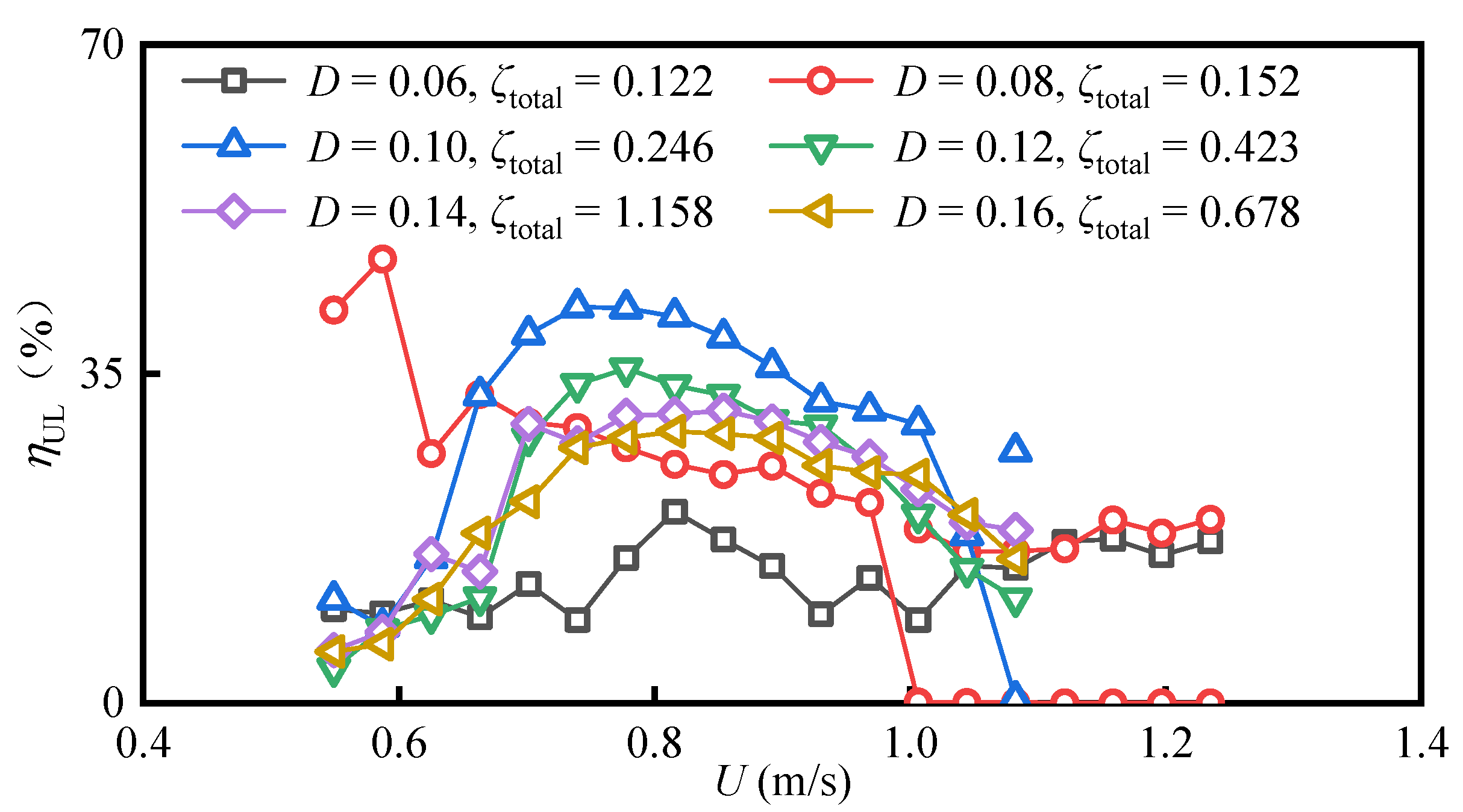
3.5. The Upper Limit of Power Output
4. Conclusions
- (1)
- As Re increases, the oscillation intensity strengthens, and the range of the upper branch widens. Additionally, the maximum system total damping ζtotal,max of different oscillators can overcome increases;
- (2)
- In our experiments, with the increase of Re, when the oscillation goes into VIV branches, CL shows an increasing trend, but as Re keeps on increasing, CL shows a decreasing trend when the oscillator enters into VIV-Galloping transition branches;
- (3)
- In our measurements, compared with the higher harmonic component in the force spectrum, that of the displacement spectrum has less influence;
- (4)
- Both the global oscillation response and the levels of energy conversion are affected by the Re, the maximum Pharn of Cir-T-Att reaches 10.43 W, appearing at D = 0.16 m with Re = 1.47 × 105(ζtotal = 0.468, Ur = 6.34, and U = 1.04 m/s);
- (5)
- As Re increases, the upper limit of harvested power PUL increases in the VIV upper branch, and the maximum PUL of Cir-T-Att reaches 17.80 W, appearing at D = 0.16 m with Re = 1.41 × 105 (ζtotal = 0.678, Ur = 6.11, and U = 1.01 m/s).
Author Contributions
Funding
Institutional Review Board Statement
Informed Consent Statement
Data Availability Statement
Acknowledgments
Conflicts of Interest
References
- Bianchi, F.R.; Bosio, B.; Conte, F.; Massucco, S.; Mosaico, G.; Natrella, G.; Saviozzi, M. Modelling and optimal management of renewable energy communities using reversible solid oxide cells. Appl. Energy 2023, 334, 120657. [Google Scholar] [CrossRef]
- Wang, J.; Geng, L.; Ding, L.; Zhu, H.; Yurchenko, D. The state-of-the-art review on energy harvesting from flow-induced vibrations. Appl. Energy 2020, 267, 114902. [Google Scholar] [CrossRef]
- Zhang, M.; Zhang, C.; Abdelkefi, A.; Yu, H.; Gaidai, O.; Qin, X.; Zhu, H.; Wang, J. Piezoelectric energy harvesting from vortex-induced vibration of a circular cylinder: Effect of Reynolds number. Ocean Eng. 2021, 235, 109378. [Google Scholar] [CrossRef]
- Wang, J.; Ran, J.; Zhang, Z. Energy Harvester Based on the Synchronization Phenomenon of a Circular Cylinder. Math. Probl. Eng. 2014, 2014, 1–9. [Google Scholar] [CrossRef]
- Wang, J.; Su, Z.; Li, H.; Ding, L.; Zhu, H.; Gaidai, O. Imposing a wake effect to improve clean marine energy harvesting by flow-induced vibrations. Ocean. Eng. 2020, 208, 107455. [Google Scholar] [CrossRef]
- Wang, J.; Li, G.; Zhang, M.; Zhao, G.; Jin, Z.; Xu, K.; Zhang, Z. Energy harvesting from flow-induced vibration: A lumped parameter model. Energy Sources Part A Recovery Util. Environ. Eff. 2018, 40, 2903–2913. [Google Scholar] [CrossRef]
- Dai, H.; Abdelkefi, A.; Yang, Y.; Wang, L. Orientation of bluff body for designing efficient energy harvesters from vortex-induced vibrations. Appl. Phys. Lett. 2016, 108, 053902. [Google Scholar] [CrossRef]
- Zhu, H.; Lin, P.; Yao, J. An experimental investigation of vortex-induced vibration of a curved flexible pipe in shear flows. Ocean Eng. 2016, 121, 62–75. [Google Scholar] [CrossRef]
- Wang, J.; Zhao, W.; Su, Z.; Zhang, G.; Li, P.; Yurchenko, D. Enhancing vortex-induced vibrations of a cylinder with rod attachments for hydrokinetic power generation. Mech. Syst. Signal Process. 2020, 145, 106912. [Google Scholar] [CrossRef]
- Wang, J.; Zhou, S.; Zhang, Z.; Yurchenko, D. High-performance piezoelectric wind energy harvester with Y-shaped attachments. Energy Convers. Manag. 2019, 181, 645–652. [Google Scholar] [CrossRef]
- Zhu, H.; Gao, Y. Hydrokinetic energy harvesting from flow-induced vibration of a circular cylinder with two symmetrical fin-shaped strips. Energy 2018, 165, 1259–1281. [Google Scholar] [CrossRef]
- Zhang, B.; Song, B.; Mao, Z.; Li, B.; Gu, M. Hydrokinetic energy harnessing by spring-mounted oscillators in FIM with different cross sections: From triangle to circle. Energy 2019, 189, 116249. [Google Scholar] [CrossRef]
- Gu, Y.; Liu, W.; Zhao, C.; Wang, P. A goblet-like non-linear electromagnetic generator for planar multi-directional vibration energy harvesting. Appl. Energy 2020, 266, 114846. [Google Scholar] [CrossRef]
- Chen, Z.; Xia, Y.; He, J.; Xiong, Y.; Wang, G. Elastic-electro-mechanical modeling and analysis of piezoelectric metamaterial plate with a self-powered synchronized charge extraction circuit for vibration energy harvesting. Mech. Syst. Signal Process. 2020, 143, 106824. [Google Scholar] [CrossRef]
- Fan, K.; Cai, M.; Liu, H.; Zhang, Y. Capturing energy from ultra-low frequency vibrations and human motion through a monostable electromagnetic energy harvester. Energy 2019, 169, 356–368. [Google Scholar] [CrossRef]
- Zou, H.X.; Zhao, L.-C.; Gao, Q.-H.; Zuo, L.; Liu, F.R.; Tan, T.; Wei, K.-X.; Zhang, W.-M. Mechanical modulations for enhancing energy harvesting: Principles, methods and applications. Appl. Energy 2019, 255, 113871. [Google Scholar] [CrossRef]
- Williamson, C.H.K.; Govardhan, R. Vortex-induced vibrations. Annu. Rev. Fluid Mech. 2004, 36, 413–455. [Google Scholar] [CrossRef]
- Govardhan, R.N.; Williamson, C.H.K. Defining the ‘modified Griffin plot’ in vortex-induced vibration: Revealing the effect of Reynolds number using controlled damping. J. Fluid Mech. 2006, 561, 147–180. [Google Scholar] [CrossRef]
- Roshko, A. Experiments on the flow past a circular cylinder at very high Reynolds number. J. Fluid Mech. 1961, 10, 345–356. [Google Scholar] [CrossRef]
- Bernitsas, M.M.; Ben-Simon, Y.; Raghavan, K. The VIVACE converter: Model tests at high damping and Reynolds number around 105. J. Offshore Mech. Arct. Eng.-Trans. ASME 2009, 131, 011102. [Google Scholar] [CrossRef]
- Raghavan, K.; Bernitsas, M.M. Experimental investigation of Reynolds number effect on vortex induced vibration of rigid circular cylinder on elastic supports. Ocean Eng. 2011, 38, 719–731. [Google Scholar] [CrossRef]
- Prasath, S.G.; Sudharsan, M.; Kumar, V.V.; Diwakar, S.; Sundararajan, T.; Tiwari, S. Effects of aspect ratio and orientation on the wake characteristics of low Reynolds number flow over a triangular prism. J. Fluids Struct. 2014, 46, 59–76. [Google Scholar] [CrossRef]
- Tu, J.H.; Zhou, D.; Bao, Y.; Han, Z.; Li, R. Flow characteristics and flow-induced forces of a stationary and rotating triangular cylinder with different incidence angles at low Reynolds numbers. J. Fluids Struct. 2014, 45, 107–123. [Google Scholar] [CrossRef]
- Zdravkovich, M.M. Flow Around Circular Cylinders Volume 1: Fundamentals; Oxford Science Publications: Oxford, UK, 1997. [Google Scholar]
- Bearman, P.W. Circular cylinder wakes and vortex-induced vibrations. J. Fluids Struct. 2011, 27, 648–658. [Google Scholar] [CrossRef]
- Unal, M.F.; Rockwell, D. On vortex formation from a cylinder: Control by splitter-plate interference. J. Fluid Mech. 1988, 190, 513–529. [Google Scholar] [CrossRef]
- Wanderley, J.B.V.; Soares, L.F.N. Vortex-induced vibration on a two-dimensional circular cylinder with low Reynolds number and low mass-damping parameter. Ocean Eng. 2015, 97, 156–164. [Google Scholar] [CrossRef]
- Chang, C.C.; Kumar, R.A.; Bernitsas, M.M. VIV and galloping of single circular cylinder with surface roughness at 3.0 × 104 ≤ Re ≤ 1.2 × 105. Ocean Eng. 2011, 38, 1713–1732. [Google Scholar] [CrossRef]
- Park, H.; Kumar, R.A.; Bernitsas, M.M. Enhancement of flow-induced motion of rigid circular cylinder on springs by localized surface roughness at 3.0 × 104 ≤ Re ≤ 1.2 × 105. Ocean Eng. 2013, 72, 403–415. [Google Scholar] [CrossRef]
- Lian, J.; Ran, D.; Yan, X.; Liu, F.; Shao, N.; Wang, X.; Yang, X. Hydrokinetic energy harvesting from flow-induced motion of oscillators with different combined sections. Energy 2023, 269, 126814. [Google Scholar] [CrossRef]
- Skop, R.A.; Griffin, O.M. On a theory for the vortex-excited oscillations of flexible cylindrical structures. J. Sound Vib. 1975, 41, 263–274. [Google Scholar] [CrossRef]
- Ding, J.; Balasubramanian, S.; Lokken, R.; Yung, T. Lift and damping characteristics of bare and staked cylinders at riser scale Reynolds numbers. In Proceedings of the Offshore Technology Conference, Houston, TX, USA, 3–6 May 2004. Paper No. 16341. [Google Scholar]
- Yan, X.; Lian, J.; Liu, F.; Wang, X.; Shao, N. Hydrokinetic energy conversion of Flow-induced motion for triangular prism by varying magnetic flux density of generator. Energy Convers. Manag. 2021, 227, 113553. [Google Scholar] [CrossRef]
- Ding, L.; Zhang, L.; Wu, C.M.; Mao, X.; Jiang, D. Flow induced motion and energy harvesting of bluff bodies with different cross sections. Energy Convers. Manag. 2015, 91, 416–426. [Google Scholar] [CrossRef]
- Zhang, J.; Xu, G.B.; Liu, F.; Lian, J.; Yan, X. Experimental investigation on the flow-induced vibration of an equilateral triangle prism in water. Appl. Ocean Res. 2016, 61, 92–100. [Google Scholar] [CrossRef]
























| Reference | Cylinders | Re | Working Fluid | Experiment/ Numeric | Results |
|---|---|---|---|---|---|
| [19] | stationary | 106–107 | wind | experiment | St = 0.27 |
| [31] | flexible | 190 | wind | theory | A* = 0.5 |
| [20] | elastic supports | 4.4 × 104–13.4 × 105 | water | experiment | ηPeak = 0.308 |
| [32] | flexible | 8 × 104–1 × 106 | water | numeric | A* = 0.9 |
| [3] | elastic supports | 96–118 | water | experiment | A* = 0.325 |
| D/m | L/m | H/m | K/(N/m) | RL/Ω | U/(m/s) | Re | Regime |
|---|---|---|---|---|---|---|---|
| 0.06 | 0.9 | 0.06 | 1860 | 26 | 0.55~1.24 | 28.9 k~65.1 k | TrSL2, TrSL3 |
| 0.08 | 0.9 | 0.08 | 1860 | 26 | 0.55~1.24 | 38.6 k~86.7 k | TrSL2, TrSL3 |
| 0.10 | 0.9 | 0.10 | 1860 | 26 | 0.55~1.08 | 48.2 k~95.0 k | TrSL3 |
| 0.12 | 0.9 | 0.12 | 1860 | 26 | 0.55~1.08 | 57.9 k~114.1 k | TrSL3, TrBL0 |
| 0.14 | 0.9 | 0.14 | 1860 | 26 | 0.55~1.08 | 67.5 k~133.1 k | TrSL3, TrBL0 |
| 0.16 | 0.9 | 0.16 | 1860 | 26 | 0.55~1.08 | 77.1 k~152.1 k | TrSL3, TrBL0 |
| VB/V | fn,a/Hz | mosc/kg | ζtotal | ctotal(N·s·m−1) |
|---|---|---|---|---|
| 0.00 | 1.03 | 44.53 | 0.082 | 47.068 |
| 3.00 | 1.03 | 43.97 | 0.087 | 49.483 |
| 9.00 | 1.03 | 44.53 | 0.090 | 51.644 |
| 15.00 | 1.03 | 43.97 | 0.093 | 52.861 |
| 18.00 | 1.03 | 43.64 | 0.096 | 54.303 |
| 21.00 | 1.03 | 43.97 | 0.112 | 64.129 |
| 27.00 | 1.03 | 44.55 | 0.122 | 70.363 |
| 36.00 | 1.03 | 43.64 | 0.134 | 76.008 |
| 42.00 | 1.03 | 43.63 | 0.152 | 86.46 |
| 45.00 | 1.05 | 42.29 | 0.172 | 96.244 |
| 51.00 | 1.06 | 41.75 | 0.197 | 109.649 |
| 57.00 | 1.05 | 42.28 | 0.217 | 121.498 |
| 63.00 | 1.04 | 43.44 | 0.246 | 139.327 |
| 69.00 | 1.03 | 43.99 | 0.242 | 137.663 |
| 75.00 | 1.03 | 43.64 | 0.304 | 172.674 |
| 81.00 | 1.03 | 43.64 | 0.341 | 193.575 |
| 87.00 | 1.03 | 43.64 | 0.381 | 216.084 |
| 93.00 | 1.03 | 43.64 | 0.423 | 240.200 |
| 99.00 | 1.03 | 43.64 | 0.468 | 265.924 |
| 105.00 | 1.03 | 43.64 | 0.516 | 293.256 |
| 111.00 | 1.02 | 43.64 | 0.567 | 322.196 |
| 117.00 | 1.05 | 43.64 | 0.621 | 352.743 |
| 123.00 | 1.03 | 43.64 | 0.678 | 384.90 |
| 129 | 1.03 | 43.64 | 0.737 | 418.66 |
| 165 | 1.03 | 43.64 | 1.153 | 655.00 |
| D/m | 0.06 | 0.08 | 0.10 | 0.12 | 0.14 | 0.16 |
| fn,w/Hz | 0.96 | 0.95 | 0.92 | 0.89 | 0.84 | 0.79 |
| (ma + mosc)/kg | 50.35 | 52.27 | 55.41 | 58.97 | 66.77 | 74.34 |
Disclaimer/Publisher’s Note: The statements, opinions and data contained in all publications are solely those of the individual author(s) and contributor(s) and not of MDPI and/or the editor(s). MDPI and/or the editor(s) disclaim responsibility for any injury to people or property resulting from any ideas, methods, instructions or products referred to in the content. |
© 2023 by the authors. Licensee MDPI, Basel, Switzerland. This article is an open access article distributed under the terms and conditions of the Creative Commons Attribution (CC BY) license (https://creativecommons.org/licenses/by/4.0/).
Share and Cite
Ran, D.; Lian, J.; Yan, X.; Liu, F.; Shao, N.; Yang, X.; Li, L. Flow-Induced Motion and Energy Conversion of the Cir-T-Att Oscillator in a Flow Field with a High Reynolds Number. J. Mar. Sci. Eng. 2023, 11, 795. https://doi.org/10.3390/jmse11040795
Ran D, Lian J, Yan X, Liu F, Shao N, Yang X, Li L. Flow-Induced Motion and Energy Conversion of the Cir-T-Att Oscillator in a Flow Field with a High Reynolds Number. Journal of Marine Science and Engineering. 2023; 11(4):795. https://doi.org/10.3390/jmse11040795
Chicago/Turabian StyleRan, Danjie, Jijian Lian, Xiang Yan, Fang Liu, Nan Shao, Xu Yang, and Lingfan Li. 2023. "Flow-Induced Motion and Energy Conversion of the Cir-T-Att Oscillator in a Flow Field with a High Reynolds Number" Journal of Marine Science and Engineering 11, no. 4: 795. https://doi.org/10.3390/jmse11040795
APA StyleRan, D., Lian, J., Yan, X., Liu, F., Shao, N., Yang, X., & Li, L. (2023). Flow-Induced Motion and Energy Conversion of the Cir-T-Att Oscillator in a Flow Field with a High Reynolds Number. Journal of Marine Science and Engineering, 11(4), 795. https://doi.org/10.3390/jmse11040795

