Evaluation of Cua Lo Estuary’s Morpho-Dynamic Evolution and Its Impact on Port Planning
Abstract
1. Introduction
2. Materials and Methods
2.1. Materials
2.1.1. Satellite Images
2.1.2. Topography and Bathymetry Data
2.1.3. Wave and Water Level Data
2.1.4. Sediment Data and Beach Characteristics
2.2. Methodologies
2.2.1. Development of Hydrodynamic and Sediment Transport Model for the Area of Quang Nam Coast and Cua Lo Estuary
- Delft3D model setup
- Delft3D calibration and validation
- Model scenarios
2.2.2. Development of One-Line Shoreline Model for Quang Nam Coast
- GenCade model setup
- Selection of the most suitable values of K1 and K2
3. Hydrodynamic and Morphological Changes in the Area of Cua Lo Estuary under the Natural Condition
3.1. Hydrodynamic and Morphological Changes under the Impacts of Monsoons
3.2. Hydrodynamic Changes under the Impact of Storm
3.3. Hydrodynamic and Mophorlogical Changes under the Impact of River Flood
4. Impact Assessment of the Port Planning and Regulation Work Construction
4.1. Assessment the Impact of Jetty Construction on Hydrodynamic Regime and Sediment Transport
4.1.1. Impact Assessment of Jetty Construction during the Monsoon Season
4.1.2. Impact Assessment of Jetty Construction during Typhoon Molave
4.1.3. Impact Assessment of Jetty Construction during the Flood Event
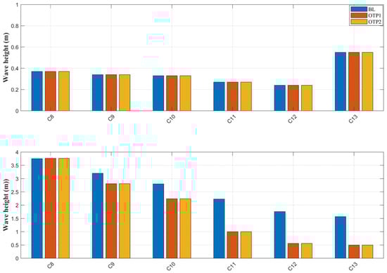
- Evaluation of wave reduction effectiveness
- Evaluation of flood discharge effectiveness
- Effectiveness of reducing sedimentation in the new Cua Lo channel
4.2. Assessment the Impact of Jetty Construction on Shoreline Evolutionary Trend along Quang Nam Coast
5. Conclusions
Author Contributions
Funding
Institutional Review Board Statement
Informed Consent Statement
Data Availability Statement
Conflicts of Interest
References
- Hassan, M.; Rahmat, N. The Effect of Coastline Changes to Local Community’s Social-Economic. ISPRS-Int. Arch. Photogramm. Remote Sens. Spat. Inf. Sci. 2016, XLII-4/W1, 25–36. [Google Scholar] [CrossRef]
- Anh, N.Q.D.; Tanaka, H.; Tinh, N.X.; Viet, N.T. Sand Spit Morphological Evolution at Tidal Inlets by Using Satellite Images Analysis: Two Case Studies in Vietnam. J. Sci. Technol. Civ. Eng. (STCE)-NUCE 2020, 14, 17–27. [Google Scholar] [CrossRef]
- Liang, T.-Y.; Chang, C.-H.; Hsiao, S.-C.; Huang, W.-P.; Chang, T.-Y.; Guo, W.-D.; Liu, C.-H.; Ho, J.-Y.; Chen, W.-B. On-Site Investigations of Coastal Erosion and Accretion for the Northeast of Taiwan. J. Mar. Sci. Eng. 2022, 10, 282. [Google Scholar] [CrossRef]
- Doong, D.-J.; Hsu, T.-W.; Wu, L.-C.; Kao, C.C. Sea Level Rise at East Asia Coasts Based on Tide Gauge Analysis. In Proceedings of the International Offshore and Polar Engineering Conference, Osaka, Japan, 21–26 July 2009; pp. 513–517. [Google Scholar]
- Luu, C.; Von Meding, J. A Flood Risk Assessment of Quang Nam, Vietnam Using Spatial Multicriteria Decision Analysis. Water 2018, 10, 461. [Google Scholar] [CrossRef]
- Quang, D.N.; Linh, N.K.; Tam, H.S.; Viet, N.T. Remote Sensing Applications for Reservoir Water Level Monitoring, Sustainable Water Surface Management, and Environmental Risks in Quang Nam Province, Vietnam. J. Water Clim. Chang. 2021, 12, 3045–3063. [Google Scholar] [CrossRef]
- Quang, D.N.; Ngan, V.H.; Tam, H.S.; Viet, N.T.; Tinh, N.X.; Tanaka, H. Long-Term Shoreline Evolution Using DSAS Technique: A Case Study of Quang Nam Province, Vietnam. J. Mar. Sci. Eng. 2021, 9, 1124. [Google Scholar] [CrossRef]
- Hieu, T.T. Status and Change Tendency of River Mouths and Lagoons in the Mid-Central and Southern Central Viet Nam. Collect. Mar. Res. Work. 2002, 7, 83–90. [Google Scholar]
- Anh, N.Q.D.; Hiep, N.; Tam, H.S.; Viet, N.T. Study on Hydrodynamic and Sediment transport at Cua Lo inlet, Quang Nam province. J. Water Resour. Environ. Eng. 2021, 74, 46–54. [Google Scholar]
- Tam, H.S.; Quang, D.N. Investigation of Countermeasures to the Overall Stabilization the Truong Giang River, Nui Thanh District in Order to Satisfy the Requirement the Economics of Sustainable Developments in the Study Area and Neighbored. Synth. Rep. 2021, 234, 1. [Google Scholar]
- Weatherall, P.; Marks, K.M.; Jakobsson, M.; Schmitt, T.; Tani, S.; Arndt, J.E.; Rovere, M.; Chayes, D.; Ferrini, V.; Wigley, R. A New Digital Bathymetric Model of the World’s Oceans. Earth Space Sci. 2015, 2, 331–345. [Google Scholar] [CrossRef]
- Dien, D.C.; Manh, D.V.; Viet, N.T.; The, N.N.; Dinh, N. Calculation of Wave Characteristics in the South China Sea by SWAN Model Using NCEP Re-Analyzed Wind Field. In Proceedings of the Vietnam Conference of Fluid Mechanics 2017, Cantho, Vietnam, 27–29 July 2017; pp. 199–206. [Google Scholar]
- Anh, N.Q.D. Comprehensive Study on the Sand Spit Elongation at Tidal Inlets in Vietnam. Doctoral Thesis, Tohoku University, Miyagi, Japan, 2022. [Google Scholar]
- Duy, D.; Tanaka, H.; Mitobe, Y.; Anh, N.; Viet, N. Sand Spit Elongation and Sediment Balance at Cua Lo Inlet in Central Vietnam. J. Coast. Res. 2018, 81, 32–39. [Google Scholar] [CrossRef]
- Mau, L.D. Research on Scientific Basis for Coastal and Estuary Protection for Sustainable Management and Development in Quang Nam Coastal Area. Synth. Rep. 2014, 215, 1. [Google Scholar]
- Lesser, G.R.; Roelvink, J.A.; van Kester, J.A.T.M.; Stelling, G.S. Development and Validation of a Three-Dimensional Morphological Model. Coast. Eng. 2004, 51, 883–915. [Google Scholar] [CrossRef]
- Deltares Delft3D-WAVE: Simulation of Short-Crested Waves with SWAN–User Manual; Deltares: Delft, The Netherlands, 2014.
- Duc Anh, N.Q.; Tanaka, H.; Tam, H.S.; Tinh, N.X.; Tung, T.T.; Viet, N.T. Comprehensive Study of the Sand Spit Evolution at Tidal Inlets in the Central Coast of Vietnam. J. Mar. Sci. Eng. 2020, 8, 722. [Google Scholar] [CrossRef]
- Booij, N.; Holthuijsen, L.H.; Ris, R.C. The “Swan” Wave Model for Shallow Water. Coast. Eng. 1996, 668–676. [Google Scholar] [CrossRef]
- Ris, R.C. Spectral Modelling of Wind Waves in Coastal Areas; Delft University Press: Delft, The Netherlands, 1997. [Google Scholar]
- Jiao, J. Morphodynamics of Ameland Inlet: Medium-Term Delft3D Modelling. Master’s Thesis, Delft University of Technology, Delft, The Netherlands, 2014. [Google Scholar]
- Moerman, E. Long-Term Morphological Modelling of the Mouth of the Columbia River. Master’s Thesis, Delft University of Technology, Delft, The Netherlands, 2011. [Google Scholar]
- Elias, E.; Gelfenbaum, G. Modeling Processes Controlling Sediment Transport at the Mouth of the Columbia River. In Proceedings of the Coastal Dynamics 2009, Tokyo, Japan, 7–11 September 2009; pp. 1–14. [Google Scholar]
- Boudet, L. Modelling of Sediment Transport Pattern in the Mouth of the Rhone Delta: Role of Storm and Flood Events. Estuar. Coast. Shelf Sci. 2017, 198, 568–582. [Google Scholar] [CrossRef]
- Fernández-Fernández, S.; Ferreira, C.C.; Silva, P.A.; Baptista, P.; Romão, S.; Fontán-Bouzas, Á.; Abreu, T.; Bertin, X. Assessment of Dredging Scenarios for a Tidal Inlet in a High-Energy Coast. J. Mar. Sci. Eng. 2019, 7, 395. [Google Scholar] [CrossRef]
- Nguyen, X.T.; Tran, M.T.; Tanaka, H.; Nguyen, T.V.; Mitobe, Y.; Duong, C.D. Numerical Investigation of the Effect of Seasonal Variations of Depth-of-Closure on Shoreline Evolution. Int. J. Sediment Res. 2021, 36, 1–16. [Google Scholar] [CrossRef]
- Dabees, M.; Kamphuis, J.W. Oneline, A Numerical Model for Shoreline Change. In Proceedings of the 26th International Conference on Coastal Engineering, Sydney, Australia, 31 January 2015; pp. 2668–2681. [Google Scholar] [CrossRef]
- Anastasiou, S.; Sylaios, G. Assessment of Shoreline Changes and Evaluation of Coastal Protection Methods to Mitigate Erosion. Coast. Eng. J. 2016, 58, 1650006-1–1650006-24. [Google Scholar] [CrossRef]
- Ding, Y.; Kim, S.-C.; Permenter, R.L.; Styles, R.; Gebert, J.A. Simulations of Shoreline Changes along the Delaware Coast; Coastal and Hydraulics Laboratory (U.S.): Vicksburg, MS, USA, 2021. [Google Scholar]
- Kim, S.-C.; Styles, R.; Rosati, J.D.; Ding, Y.; Permenter, R.L. A Comparison of GenCade, Pelnard-Considere, and LITPACK; Coastal and Hydraulics Laboratory (U.S.): Vicksburg, MS, USA, 2020. [Google Scholar]
- Townsend, K.E.; Thomas, R.C. Frey Shoreline Change Modeling Using One-Line Models: Application and Comparison of GenCade, Unibest, and Litpack–Technical Reports–USACE Digital Library. Available online: https://usace.contentdm.oclc.org/digital/collection/p266001coll1/id/4005/ (accessed on 29 December 2022).
- Egbert, G.D.; Erofeeva, S.Y. Efficient Inverse Modeling of Barotropic Ocean Tides. J. Atmos. Ocean. Technol. 2002, 19, 183–204. [Google Scholar] [CrossRef]
- Quang, D.N.; Dat, N.T.; Tam, H.S.; Tinh, N.X. Investigation of Hydrodynamic Regime and Analysis of Causes and Mechanisms of Sedimentation in Truong Giang River, Quang Nam Province. J. Water Resour. Environ. Eng. 2021, 133–140. Available online: https://vjol.info.vn/index.php/DHTL/article/view/64460 (accessed on 26 February 2023).
- Ashley, E.F.; Robert, C.T.; Kenneth, J.C.; Hans, H.; Magnus, L.; Sophie, M.; Alan, Z. GenCade Version 1 Model Theory and User’s Guide–Technical Reports ERDC/CHL TR-12-25; U.S. Army Engineer Research and Development Center, Coastal and Hydraulics Laboratory: Vicksburg, MS, USA, 2012. [Google Scholar]
- Hanson, H.; Kraus, N.C. GENESIS: Generalized Model for Simulating Shoreline Change—Technical Report CERC-89-19; US Army Corps of Engineers: Washington, DC, USA, 1989. [Google Scholar]
- Larson, M.; Kraus, N.C.; Hanson, H. Simulation of Regional Longshore Sediment Transport and Coastal Evolution–The “Cascade” Model; American Society of Civil Engineers (ASCE): Reston, WV, USA, 2002; pp. 2624–22612. [Google Scholar]




























| No | Date | Satellite | Path/Row |
|---|---|---|---|
| 1 | 10 March 2005 | Landsat 5 | 124/049 |
| 2 | 24 March 2010 | Landsat 5 | 124/049 |
| 3 | 6 March 2015 | Landsat 8 | 124/049 |
| Scenarios | Current Situation (BL) | Jetties Construction (OPT1, OPT2) |
|---|---|---|
| Northeast monsoon period | x | x |
| Southeast monsoon period | x | |
| Typical storm | x | x |
| Typical flood | x | x |
| TT | Zone | Description |
|---|---|---|
| 1 | R1 | The North bank zone of the navigation channel |
| 2 | R2 | The South bank zone of the navigation channel |
| 3 | R3–R9 | The zones within the navigation channel |
| 4 | R10 | The zone at the junction of Truong Giang river and navigation channel |
| 5 | R11 | The area of the port where ships turn around |
| 6 | R12 | The area within An Hoa lagoon |
| Location | Southern of Cua Dai | Middle Shoreline | Northern of Cua Lo |
|---|---|---|---|
| After 1 year | Max = +40.85 | Max = −0.29 | Max = +35.49 |
| Min = −20.77 | Min = −2.05 | Min = −23.80 | |
| After 4 years | Max = +45.30 | Max = −0.13 | Max = +77.07 |
| Min = −7.58 | Min = −7.91 | Min = −17.95 | |
| After 8 years | Max = +53.63 | Max = +0.94 | Max = +98.13 |
| Min = 0.00 | Min = −15.17 | Min = −6.58 | |
| After 12 years | Max = +65.00 | Max = +4.30 | Max = +98.48 |
| Min = 0.00 | Min = −21.25 | Min = −5.84 | |
| After 16 years | Max = +75.00 | Max = +8.57 | Max = +155.11 |
| Min = 0.00 | Min = −32.17 | Min = −4.09 | |
| After 20 years | Max = +76.00 | Max = +9.42 | Max = +252.17 |
| Min = 0.00 | Min = −67.32 | Min = +6.1 | |
| After 50 years | Max = +100.30 | Max = +12.56 | Max = +449.17 |
| Min = 0.00 | Min = −83.81 | Min = +6.10 |
Disclaimer/Publisher’s Note: The statements, opinions and data contained in all publications are solely those of the individual author(s) and contributor(s) and not of MDPI and/or the editor(s). MDPI and/or the editor(s) disclaim responsibility for any injury to people or property resulting from any ideas, methods, instructions or products referred to in the content. |
© 2023 by the authors. Licensee MDPI, Basel, Switzerland. This article is an open access article distributed under the terms and conditions of the Creative Commons Attribution (CC BY) license (https://creativecommons.org/licenses/by/4.0/).
Share and Cite
Quang, D.N.; Anh, N.Q.D.; Tam, H.S.; Tinh, N.X.; Tanaka, H.; Viet, N.T. Evaluation of Cua Lo Estuary’s Morpho-Dynamic Evolution and Its Impact on Port Planning. J. Mar. Sci. Eng. 2023, 11, 611. https://doi.org/10.3390/jmse11030611
Quang DN, Anh NQD, Tam HS, Tinh NX, Tanaka H, Viet NT. Evaluation of Cua Lo Estuary’s Morpho-Dynamic Evolution and Its Impact on Port Planning. Journal of Marine Science and Engineering. 2023; 11(3):611. https://doi.org/10.3390/jmse11030611
Chicago/Turabian StyleQuang, Dinh Nhat, Nguyen Quang Duc Anh, Ho Sy Tam, Nguyen Xuan Tinh, Hitoshi Tanaka, and Nguyen Trung Viet. 2023. "Evaluation of Cua Lo Estuary’s Morpho-Dynamic Evolution and Its Impact on Port Planning" Journal of Marine Science and Engineering 11, no. 3: 611. https://doi.org/10.3390/jmse11030611
APA StyleQuang, D. N., Anh, N. Q. D., Tam, H. S., Tinh, N. X., Tanaka, H., & Viet, N. T. (2023). Evaluation of Cua Lo Estuary’s Morpho-Dynamic Evolution and Its Impact on Port Planning. Journal of Marine Science and Engineering, 11(3), 611. https://doi.org/10.3390/jmse11030611

