Short-Crested Wave–Current Forces on a Concentric System with an ARC Exterior Porous Wall
Abstract
1. Introduction
2. Formulation
3. Model Validation
- (1)
- When the opening angle is at , the present structure can be regarded as a solid cylinder. We considered the concentric structure with parameter values m, , m, , and m/s. Figure 2 shows the non-dimensional wave run-up around the solid cylinder between the present results and the analytical results of Jian et al. [29], from which an excellent agreement can be observed.
- (2)
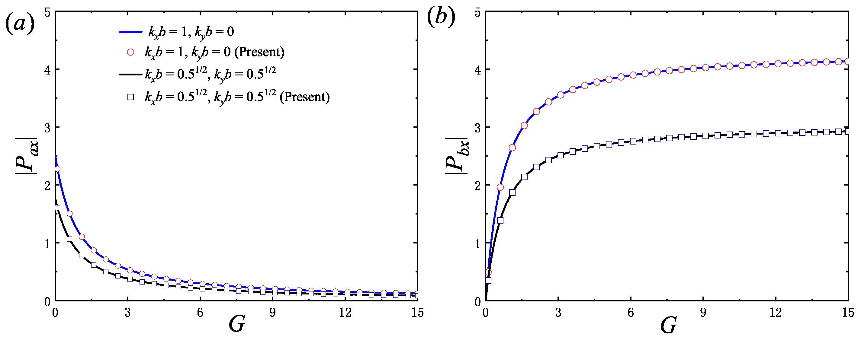
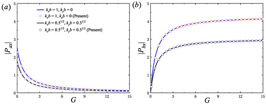
- When the opening angle is at , the present structure can be regarded as a concentric dual-cylinder structure, and the uniform current speed is set to , that is, the entire flow field can be considered as no uniform current. We considered the concentric structure with parameter values m, m, , , , , and . Figure 3 demonstrates an optimal agreement of the non-dimensional force on the two cylinders for the present results and the analytical results of Song and Tao [1].
- (3)
- When the uniform current velocity is set to , the whole flow field has no uniform current. We considered the concentric structure with parameter values m, m, , , , , and . Figure 4 illustrates that the non-dimensional wave surface around the concentric structure agrees well with the numerical results of Liu et al. [26]. Hence, this validates that our model is accurate and reliable.
4. Numerical Results and Discussions
4.1. Effects of the Current Velocity
4.2. Influence of Radius Ratio b/a
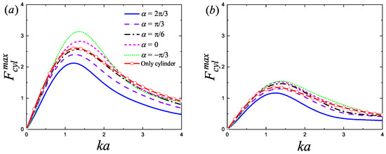
4.3. Influence of Opening Angle
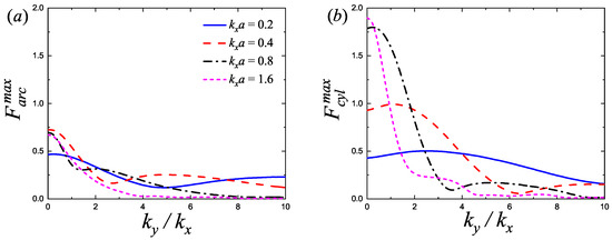
4.4. Influence of Wave Parameters
4.5. Influence of Location of the Outer Wall
5. Conclusions
- (1)
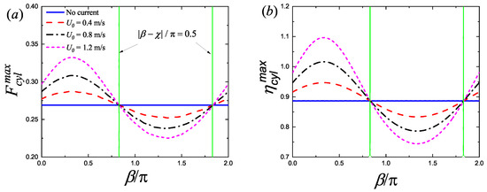
- The wave incidence direction and the uniform inflow incidence direction have a significant effect on the wave force and run-up acting on the structure, that is, when the directions of them are the same (), the wave force and wave run-up acting on the cylinder and arc increases significantly, decreases significantly in the opposite condition (), and has almost no effect when orthogonal ().
- (2)
- Under the condition of , , and , a resonance phenomenon may occur when the short-crested wave–structure interaction occurs; the resonance phenomenon may be more pronounced owing to the presence of a uniform current accompanied with the wave–current in the same incident direction, which may significantly increase the risk of structural overturning.
- (3)
- Considering that the short-crested wave is a special superposition state waveform, it is highly feasible to employ the present concentric structure as a replacement for the concentric dual-cylinder system in the corresponding waters, which can exert a sufficient protection effect, in addition to reducing the project cost.
- (4)
- By studying the position of the arc wall, the semi-enclosed structure has certain limitations in engineering applications, (i.e., it is very sensitive to the wave incidence direction), which implies that the semi-enclosed structure has certain requirements for sea conditions. Future experimental studies can be conducted to verify the accuracy of the current analytical model and provide references for practical engineering applications.
Author Contributions
Funding
Institutional Review Board Statement
Informed Consent Statement
Data Availability Statement
Conflicts of Interest
References
- Song, H.; Tao, L.B. Short-crested wave interaction with a concentric porous cylindrical structure. Appl. Ocean Res. 2007, 29, 199–209. [Google Scholar] [CrossRef]
- Chwang, A.T. A porous-wavemaker theory. J. Fluid Mech. 1983, 132, 395–406. [Google Scholar] [CrossRef]
- Chwang, A.T.; Li, W. A piston-type porous wavemaker theory. J. Eng. Math. 1983, 17, 301–313. [Google Scholar] [CrossRef]
- Wang, K.H.; Ren, X.G. Wave interaction with a concentric porous cylinder system. Ocean Eng. 1994, 21, 343–360. [Google Scholar] [CrossRef]
- Li, Y.C.; Sun, L.; Teng, B. Wave interaction with arrays of combined cylinders with and solid interior column and a porous exterior column. Acta Mech. Sin. 2005, 37, 141–147. [Google Scholar]
- Teng, B.; Han, L.; Li, Y. Ware diffraction from a vertical cylinder with two uniform columns and porous outer wall. China Ocean Eng. 2000, 14, 297–306. [Google Scholar]
- Vijayalakshmi, K.; Neelamani, S.; Sundaravadivelu, R.; Murali, K. Wave runup on a concentric twin perforated circular cylinder. Ocean Eng. 2007, 34, 327–336. [Google Scholar] [CrossRef]
- Vijayalakshmi, K.; Sundaravadivelu, R.; Murali, K.; Neelamani, S. Hydrodynamics of a concentric twin perforated circular cylinder system. J. Waterw. Port Coast. Ocean Eng. 2008, 134, 166–177. [Google Scholar] [CrossRef]
- Zhu, S.; Chwang, A.T. Investigations on the reflection behaviour of a slotted seawall. Coast. Eng. 2001, 43, 93–104. [Google Scholar] [CrossRef]
- Tao, L.; Song, H.; Chakrabarti, S. Scaled boundary fem model for interaction of short-crested waves with a concentric porous cylindrical structure. J. Waterw. Port Coast. Ocean Eng. 2009, 135, 200–212. [Google Scholar] [CrossRef]
- Zhai, Z.; Zhao, W.; Wan, D.; Liu, D. Interaction of solitary wave with a concentric structure with multiple porous outer walls. Ocean Eng. 2022, 260, 111887. [Google Scholar] [CrossRef]
- Zhong, Z.; Wang, K.H. Solitary wave interaction with a concentric porous cylinder system. Ocean Eng. 2006, 33, 927–949. [Google Scholar] [CrossRef]
- Sankarbabu, K.; Sannasiraj, S.A.; Sundar, V. Interaction of regular waves with a group of dual porous circular cylinders. Appl. Ocean Res. 2007, 29, 180–190. [Google Scholar] [CrossRef]
- Zhao, Y.; Liu, Y.; Li, H. Wave interaction with a partially reflecting vertical wall protected by a submerged porous bar. J. Ocean. Univ. China 2016, 15, 619–626. [Google Scholar] [CrossRef]
- Zhai, Z.; Li, H.; Zhang, A.; Song, A.; Wang, K. Analytical modelling of water wave diffraction by a bottom-mounted surface-piercing concentric dual-arc porous thin wall. Ocean Eng. 2021, 236, 109485. [Google Scholar] [CrossRef]
- Zhai, Z.; Shao, Y.; Wang, K.; Huang, H.; Li, H. Semi-analytical solution of cnoidal wave diffraction around a double-layer arc-shaped vertical porous breakwater. J. Fluids Struct. 2021, 103, 103261. [Google Scholar] [CrossRef]
- Zhai, Z.; Hu, Q.; Yang, L.; Huang, H. Diffraction of Solitary Waves by a Concentric Porous Dual-Arc Thin Wall. J. Waterw. Port Coast. Ocean Eng. 2022, 148, 04022001. [Google Scholar] [CrossRef]
- Liu, J.; Guo, A.; Nandasena, N.; Melville, B.W.; Li, H. Theoretical and experimental investigation on wave interaction with a concentric porous cylinder form of breakwater. Ocean Eng. 2018, 160, 156–167. [Google Scholar] [CrossRef]
- Sarkar, A.; Bora, S.N. Hydrodynamic forces and moments due to interaction of linear water waves with truncated partial-porous cylinders in finite depth. J. Fluids Struct. 2020, 194, 102898. [Google Scholar] [CrossRef]
- Zheng, S.; Meylan, M.H.; Zhu, G.; Greaves, D.; Iglesias, G. Hydroelastic interaction between water waves and an array of circular floating porous elastic plates. J. Fluid Mech. 2020, 900, A20. [Google Scholar] [CrossRef]
- Zheng, S.; Meylan, M.H.; Greaves, D.; Iglesias, G. Water-wave interaction with submerged porous elastic disks. Phys. Fluids 2020, 32, 047106. [Google Scholar]
- Zheng, S.; Meylan, M.H.; Fan, L.; Greaves, D.; Iglesias, G. Wave scattering by a floating porous elastic plate of arbitrary shape: A semi-analytical study. J. Fluids Struct. 2020, 92, 102827. [Google Scholar] [CrossRef]
- Cuong, D.Q.; Tuan, T.Q. Wave Hydrodynamics across Steep Platform Reefs: A Laboratory Study. Civ. Eng. J. 2022, 8, 1739–1751. [Google Scholar] [CrossRef]
- Kamil, E.A.; Takaijudin, H.; Hashim, A.M. Mangroves as coastal bio-shield: A review of mangroves performance in wave attenuation. Civ. Eng. J. 2021, 7, 1964–1981. [Google Scholar] [CrossRef]
- Zhu, S. Diffraction of short-crested waves around a circular cylinder. Ocean Eng. 1993, 20, 389–407. [Google Scholar] [CrossRef]
- Liu, J.; Lin, G. Numerical modelling of wave interaction with a concentric cylindrical system with an arc-shaped porous outer cylinder. Eur. J. Mech. B-Fluids 2013, 37, 59–71. [Google Scholar] [CrossRef]
- Zhai, Z.; Li, X.; Yang, L. Analytical approach to the solution of short-crested wave interaction with v-shaped and arc-shaped breakwaters. Phys. Fluids. 2022, 34, 022112. [Google Scholar] [CrossRef]
- Lin, P.; Li, C.W. Wave–current interaction with a vertical square cylinder. Ocean Eng. 2003, 30, 855–876. [Google Scholar] [CrossRef]
- Jian, Y.; Zhan, J.; Zhu, Q. Short crested wave–current forces around a large vertical circular cylinder. Eur. J. Mech. B-Fluids 2008, 27, 346–360. [Google Scholar] [CrossRef]
- Wang, P.; Zhao, M.; Du, X. Short-crested wave–current forces on composite bucket foundation for an offshore wind turbine. Math. Probl. Eng. 2019, 2019, 5932742. [Google Scholar] [CrossRef]
- Zhou, Y.; Zhou, E. Numerical simulation of wave–current interaction on submerged diketerrain. Int. Core J. Eng. 2021, 7, 173–180. [Google Scholar]
- Huang, J.; Teng, B.; Cong, P. Wave–current interaction with three-dimensional bodies in a channel. Ocean Eng. 2022, 249, 110952. [Google Scholar] [CrossRef]
- Zhou, X.; Jiang, Q.; Wang, Y.; Chen, L.; Wang, S.; Wang, K. Numerical Simulation of Wave–Current Force Characteristics of Horizontal Floating Cylinder in Heave Motion. J. Mar. Sci. Eng. 2022, 10, 1884. [Google Scholar] [CrossRef]














Disclaimer/Publisher’s Note: The statements, opinions and data contained in all publications are solely those of the individual author(s) and contributor(s) and not of MDPI and/or the editor(s). MDPI and/or the editor(s) disclaim responsibility for any injury to people or property resulting from any ideas, methods, instructions or products referred to in the content. |
© 2023 by the authors. Licensee MDPI, Basel, Switzerland. This article is an open access article distributed under the terms and conditions of the Creative Commons Attribution (CC BY) license (https://creativecommons.org/licenses/by/4.0/).
Share and Cite
Miao, J.; Liu, D.; Li, J.; Zhai, Z. Short-Crested Wave–Current Forces on a Concentric System with an ARC Exterior Porous Wall. J. Mar. Sci. Eng. 2023, 11, 573. https://doi.org/10.3390/jmse11030573
Miao J, Liu D, Li J, Zhai Z. Short-Crested Wave–Current Forces on a Concentric System with an ARC Exterior Porous Wall. Journal of Marine Science and Engineering. 2023; 11(3):573. https://doi.org/10.3390/jmse11030573
Chicago/Turabian StyleMiao, Jianming, Dan Liu, Jie Li, and Zhenfeng Zhai. 2023. "Short-Crested Wave–Current Forces on a Concentric System with an ARC Exterior Porous Wall" Journal of Marine Science and Engineering 11, no. 3: 573. https://doi.org/10.3390/jmse11030573
APA StyleMiao, J., Liu, D., Li, J., & Zhai, Z. (2023). Short-Crested Wave–Current Forces on a Concentric System with an ARC Exterior Porous Wall. Journal of Marine Science and Engineering, 11(3), 573. https://doi.org/10.3390/jmse11030573

