Optimization on Hydrodynamic Performance for First Level Energy-Capturing Enhancement of a Floating Wave Energy Converter System with Flapping-Panel-Slope
Abstract
1. Introduction
2. A Floating Flapping-Panel WEC
3. Model Test
4. Results & Discussion
4.1. Relationship between Slope Angle and Power
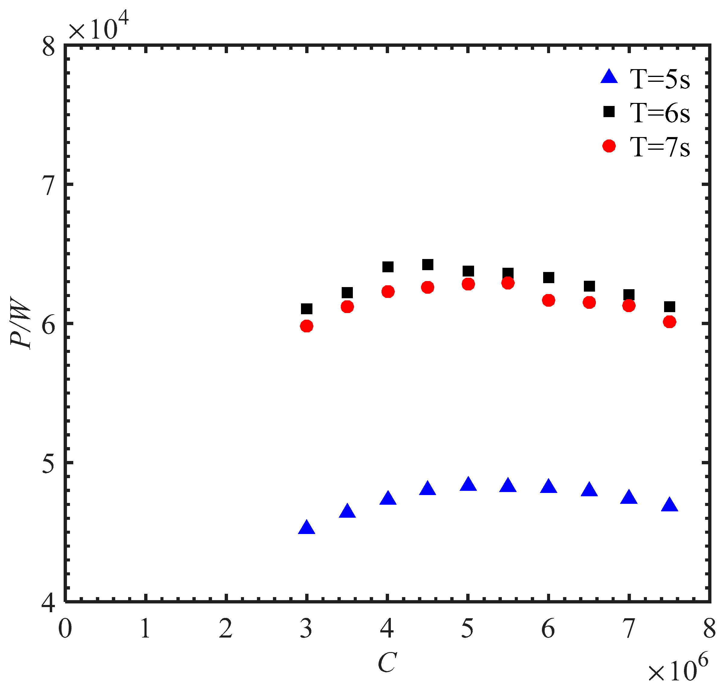
4.2. Relationship between PTO Damping Coefficients and Power
4.3. Physical Model Preliminary Test
5. Conclusions & Future work
- The simulation test study showed that the angle between the slope and the horizontal plane significantly influenced the efficiency of the wave energy converter. The optimal slope angle is 35 degrees, and the wave energy captured in the experimental sea conditions is the largest.
- Meanwhile, from the output characteristics under different PTO damping coefficients for the linear damping, an optimal coefficient was obtained to give maximum captured energy. The wave energy converter became more efficient as PTO damping coefficients fell.
- The length of the flapping-panel will affect the efficiency and resonance of the wave energy converter. With the increase of incident wave height, the wave energy converter can capture more energy.
- In the follow-up work, we will continue to carry out in-depth research around it, optimize the design and achieve high-efficiency capture of wave energy.
Author Contributions
Funding
Institutional Review Board Statement
Informed Consent Statement
Data Availability Statement
Conflicts of Interest
References
- Babarit, A.; Hals, J.; Muliawan, M.J.; Kurniawan, A.; Moan, T.; Krokstad, J. Numerical Benchmarking Study of a Selection of Wave Energy Converters. Renew. Energy 2012, 41, 44–63. [Google Scholar] [CrossRef]
- López, I.; Andreu, J.; Ceballos, S.; Martínez de Alegría, I.; Kortabarria, I. Review of Wave Energy Technologies and the Necessary Power-Equipment. Renew. Sustain. Energy Rev. 2013, 27, 413–434. [Google Scholar] [CrossRef]
- Whittaker, T.; Folley, M. Nearshore Oscillating Wave Surge Converters and the Development of Oyster. Philos. Trans. R. Soc. Math. Phys. Eng. Sci. 2012, 370, 345–364. [Google Scholar] [CrossRef] [PubMed]
- AW-Energy. Waveroller. 2022. Available online: https://aw-energy.com/waveroller/ (accessed on 9 October 2022).
- Tul Huda Ahmad, N.H.; Zamri Ibrahim, M.; Rahman, S.J.A.; Albani, A.; Mohad, S. The Development of Wave Energy Converter System Using Hydraulic Power Take Off at Terengganu Shoreline. In Proceedings of the 2018 International Conference and Utility Exhibition on Green Energy for Sustainable Development (ICUE), Phuket, Thailand, 24–26 October 2018; pp. 1–7. [Google Scholar]
- Ghafari, H.R.; Ghassemi, H.; Neisi, A. Power Matrix and Dynamic Response of the Hybrid Wavestar-DeepCwind Platform under Different Diameters and Regular Wave Conditions. Ocean Eng. 2022, 247, 110734. [Google Scholar] [CrossRef]
- Bosma, B.; Simmons, A.; Lomonaco, P.; Ruehl, K.; Gunawan, B. WEC-Sim Phase 1 Validation Testing: Experimental Setup and Initial Results. In Proceedings of the International Conference on Ocean, Offshore and Arctic Engineering, Busan, Republic of Korea, 19 June 2016; Volume 6, p. V006T09A025. [Google Scholar]
- Wei, Y.; Barradas-Berglind, J.J.; Van Rooij, M.; Prins, W.A.; Jayawardhana, B.; Vakis, A.I. Investigating the Adaptability of the Multi-Pump Multi-Piston Power Take-off System for a Novel Wave Energy Converter. Renew. Energy 2017, 111, 598–610. [Google Scholar] [CrossRef]
- Davey, T.; Sarmiento, J.; Ohana, J.; Thiebaut, F.; Haquin, S.; Weber, M.; Gueydon, S.; Judge, F.; Lyden, E.; O’Shea, M.; et al. Round Robin Testing: Exploring Experimental Uncertainties through a Multifacility Comparison of a Hinged Raft Wave Energy Converter. J. Mar. Sci. Eng. 2021, 9, 946. [Google Scholar] [CrossRef]
- Ruehl, K.; Forbush, D.D.; Yu, Y.-H.; Tom, N. Experimental and Numerical Comparisons of a Dual-Flap Floating Oscillating Surge Wave Energy Converter in Regular Waves. Ocean Eng. 2020, 196, 106575. [Google Scholar] [CrossRef]
- Poguluri, S.K.; Kim, D.; Bae, Y.H. Performance Assessment of Pitch-Type Wave Energy Converter in Irregular Wave Conditions on the Basis of Numerical Investigation. Ocean Syst. Eng. 2022, 12, 23–38. [Google Scholar]
- Ransley, E.J.; Greaves, D.M.; Raby, A.; Simmonds, D.; Jakobsen, M.M.; Kramer, M. RANS-VOF Modelling of the Wavestar Point Absorber. Renew. Energy 2017, 109, 49–65. [Google Scholar] [CrossRef]
- Tezdogan, T.; Incecik, A.; Turan, O. Full-Scale Unsteady RANS Simulations of Vertical Ship Motions in Shallow Water. Ocean Eng. 2016, 123, 131–145. [Google Scholar] [CrossRef]
- Zhang, D.H.; Shi, Y.X.; Huang, C.; Si, Y.L.; Huang, B.; Li, W. SPH Method with Applications of Oscillating Wave Surge Converter. Ocean Eng. 2018, 152, 273–285. [Google Scholar] [CrossRef]
- Pierart, F.G.; Fernandez, J.; Olivos, J.; Gabl, R.; Davey, T. Numerical Investigation of the Scaling Effects for a Point Absorber. Water 2022, 14, 2156. [Google Scholar] [CrossRef]
- Guo, B.; Ringwood, J.V. Geometric Optimisation of Wave Energy Conversion Devices: A Survey. Appl. Energy 2021, 297, 117100. [Google Scholar] [CrossRef]
- Zhang, H.; Zhou, B.; Vogel, C.; Willden, R.; Zang, J.; Geng, J. Hydrodynamic Performance of a Dual-Floater Hybrid System Combining a Floating Breakwater and an Oscillating-Buoy Type Wave Energy Converter. Appl. Energy 2020, 259, 114212. [Google Scholar] [CrossRef]
- Wan, Z.; Zheng, H.; Sun, K.; Zhang, D.; Yao, Z.; Song, T. Simulation of Wave Energy Converter with Designed Pendulor-Slope Combination. Energy Procedia 2019, 158, 733–737. [Google Scholar] [CrossRef]
- Wan, Z.; Li, Z.; Zhang, D.; Zheng, H. Design and Research of Slope-Pendulum Wave Energy Conversion Device. J. Mar. Sci. Eng. 2022, 10, 1572. [Google Scholar] [CrossRef]
- Elwood, D.; Yim, S.C.; Prudell, J.; Stillinger, C.; Von Jouanne, A.; Brekken, T.; Brown, A.; Paasch, R. Design, Construction, and Ocean Testing of a Taut-Moored Dual-Body Wave Energy Converter with a Linear Generator Power Take-Off. Renew. Energy 2010, 35, 348–354. [Google Scholar] [CrossRef]
- Johanning, L.; Smith, G.H.; Wolfram, J. Measurements of Static and Dynamic Mooring Line Damping and Their Importance for Floating WEC Devices. Ocean Eng. 2007, 34, 1918–1934. [Google Scholar] [CrossRef]
- Zhao, H.; Sun, Z.; Hao, C.; Shen, J. Numerical Modeling on Hydrodynamic Performance of a Bottom-Hinged Flap Wave Energy Converter. China Ocean Eng. 2013, 27, 73–86. [Google Scholar] [CrossRef]
- Midya, C.; Kanoria, M.; Mandal, B.N. Scattering of Water Waves by Inclined Thin Plate Submerged in Finite-Depth Water. Arch. Appl. Mech. 2001, 71, 827–840. [Google Scholar] [CrossRef]
- Zhao, H.; Sun, Z.; Shen, J.; Ning, D.-Z.; Xu, X. Time-Domain Model on Hydrodynamic Performance of a Bottom-Hinged Flap Wave Energy Converter. Chin. J. Hydrodyn. 2013, 28, 151–158. [Google Scholar]
- Falcão, A.F.D.O. Modelling and Control of Oscillating-Body Wave Energy Converters with Hydraulic Power Take-off and Gas Accumulator. Ocean Eng. 2007, 34, 2021–2032. [Google Scholar] [CrossRef]
- Kofoed, J.P.; Frigaard, P.; Friis-Madsen, E.; Sørensen, H.C. Prototype Testing of the Wave Energy Converter Wave Dragon. Renew. Energy 2006, 31, 181–189. [Google Scholar] [CrossRef]










| 5 | 100 | 66.2 | 47.6 | 66.2 |
| 6 | 144 | 86.1 | 64.3 | 59.8 |
| 7 | 196 | 83.6 | 62.6 | 42.7 |
| 5 | 8 | 47.3 | 65.8 | 65.8 |
| 10 | 48.6 | 75.4 | 75.4 | |
| 6 | 8 | 64 | 85.8 | 60 |
| 10 | 63.7 | 94.9 | 66 | |
| 7 | 8 | 62.3 | 83 | 42.3 |
| 10 | 61.3 | 93 | 47.4 |
| Wave tank width/m | 0.5 |
| Water depth/m | 0.6 |
| Water density/ | 1.025 |
| Gravity acceleration/ | 9.81 |
| Flapping-panel width/m | 0.4 |
| Slope angle/° | 30 |
| Bracket quality/kg | 0.81 |
| Single weight quality/kg | 1 |
| Water period/s | 1.2, 1.4, 1.6, 1.9,2.5, |
| Wave height/m | 0.06 |
Disclaimer/Publisher’s Note: The statements, opinions and data contained in all publications are solely those of the individual author(s) and contributor(s) and not of MDPI and/or the editor(s). MDPI and/or the editor(s) disclaim responsibility for any injury to people or property resulting from any ideas, methods, instructions or products referred to in the content. |
© 2023 by the authors. Licensee MDPI, Basel, Switzerland. This article is an open access article distributed under the terms and conditions of the Creative Commons Attribution (CC BY) license (https://creativecommons.org/licenses/by/4.0/).
Share and Cite
Song, T.; Li, Z.; Zheng, H.; Liang, C.; Wan, Z. Optimization on Hydrodynamic Performance for First Level Energy-Capturing Enhancement of a Floating Wave Energy Converter System with Flapping-Panel-Slope. J. Mar. Sci. Eng. 2023, 11, 345. https://doi.org/10.3390/jmse11020345
Song T, Li Z, Zheng H, Liang C, Wan Z. Optimization on Hydrodynamic Performance for First Level Energy-Capturing Enhancement of a Floating Wave Energy Converter System with Flapping-Panel-Slope. Journal of Marine Science and Engineering. 2023; 11(2):345. https://doi.org/10.3390/jmse11020345
Chicago/Turabian StyleSong, Tianyu, Ze Li, Honghao Zheng, Chujin Liang, and Zhanhong Wan. 2023. "Optimization on Hydrodynamic Performance for First Level Energy-Capturing Enhancement of a Floating Wave Energy Converter System with Flapping-Panel-Slope" Journal of Marine Science and Engineering 11, no. 2: 345. https://doi.org/10.3390/jmse11020345
APA StyleSong, T., Li, Z., Zheng, H., Liang, C., & Wan, Z. (2023). Optimization on Hydrodynamic Performance for First Level Energy-Capturing Enhancement of a Floating Wave Energy Converter System with Flapping-Panel-Slope. Journal of Marine Science and Engineering, 11(2), 345. https://doi.org/10.3390/jmse11020345
