Nonlinear Extended State Observer-Based Distributed Formation Control of Multiple Vessels with Finite-Time Prescribed Performance
Abstract
:1. Introduction
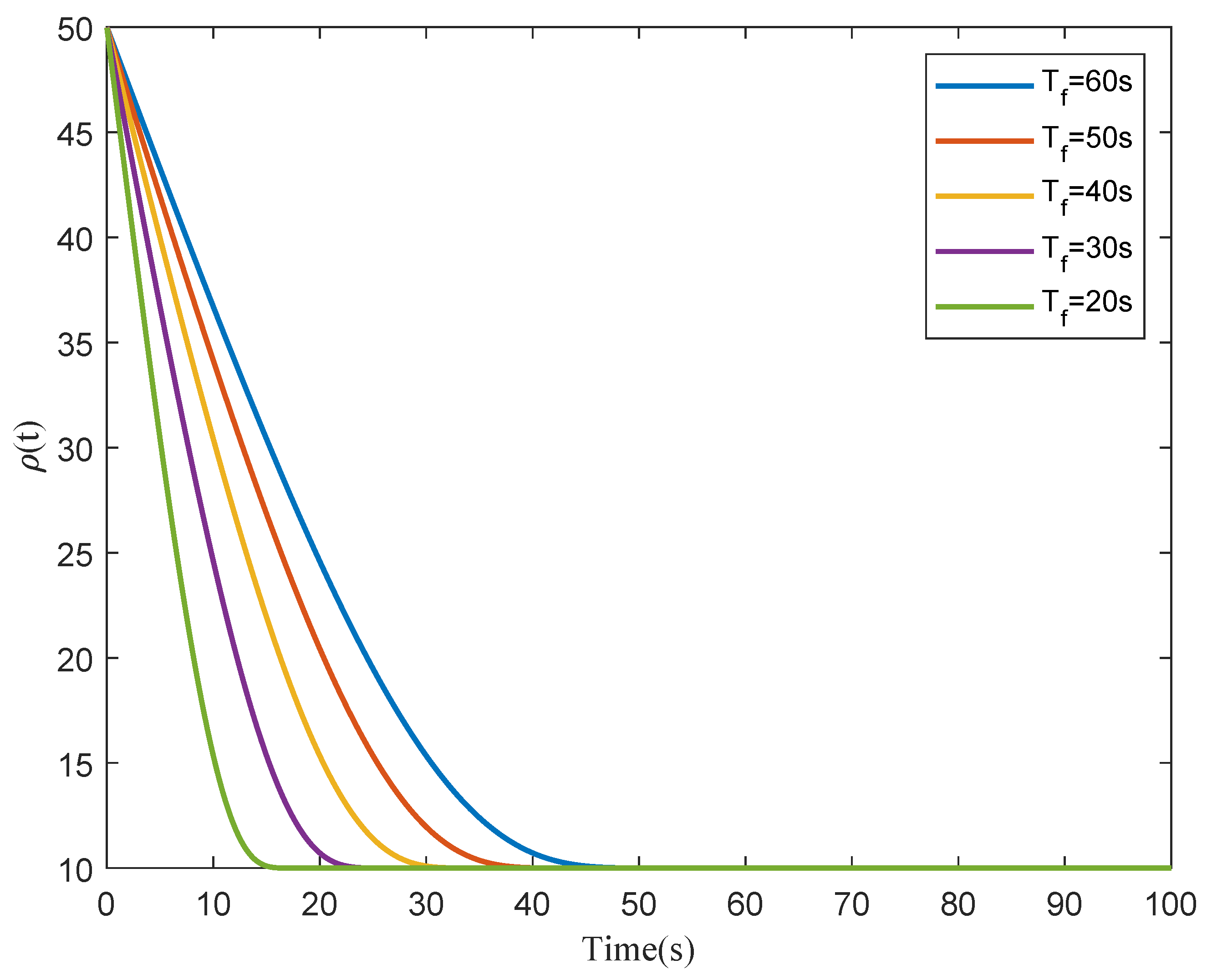
- The convergence time of general PPFs [25,26,27,28,29] is infinite in theory. For the aforementioned FTPPFs [32,33,34,35,36,37], the upper bounds of the convergence time are determined by the initial states and designed parameters. Moreover, the constrained boundaries are fixed once the initial and steady values are determined for the FTPPFs [33,35]. In contrast, the constrained boundary and convergence time bound of our proposed FTPPF can be flexibly preset according to the mission requirements, independent of the initial states and designed parameters. Hence, our proposed FTPPF is more useful and attainable than other PPFs [25,26,27,28,29] and FTPPFs [32,33,34,35,36,37].
2. Preliminaries
2.1. Basic Concepts of Graph Theory
2.2. System Modeling
2.3. Nonlinear Extended State Observer
2.4. Prescribed Performance
3. Design and Analysis
3.1. Controller Design
3.2. Stability Analysis
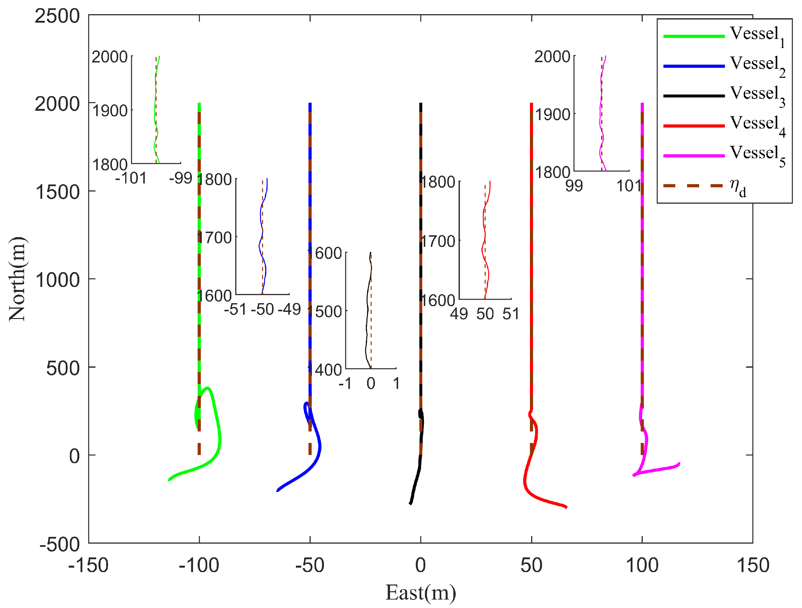
4. Simulation Results and Comparative Analysis
5. Conclusions
Author Contributions
Funding
Institutional Review Board Statement
Informed Consent Statement
Data Availability Statement
Conflicts of Interest
References
- Fu, M.; Yu, L. Finite-time extended state observer-based distributed formation control for marine surface vehicles with input saturation and disturbances. Ocean Eng. 2018, 159, 219–227. [Google Scholar] [CrossRef]
- Zhang, L.; Jiao, J. Multi-surface ship formation control based on finite time observer. In Proceedings of the 2020 7th International Conference on Information, Cybernetics, and Computational Social Systems (ICCSS), Guangzhou, China, 13–15 November 2020; pp. 429–434. [Google Scholar]
- Li, L.; Tuo, Y.; Li, T.; Tong, M.; Wang, S. Time-varying formation control of multiple unmanned surface vessels with heterogeneous hydrodynamics subject to actuator attacks. Appl. Math. Comput. 2022, 422, 126987. [Google Scholar] [CrossRef]
- Liu, L.; Wang, D.; Peng, Z. ESO-Based Line-of-Sight Guidance Law for Path Following of Underactuated Marine Surface Vehicles With Exact Sideslip Compensation. IEEE J. Ocean. Eng. 2017, 42, 477–487. [Google Scholar] [CrossRef]
- Kada, B.; Khalid, M.; Shaikh, M.S. Distributed cooperative control of autonomous multi-agent UAV systems using smooth control. J. Syst. Eng. Electron. 2020, 31, 1297–1307. [Google Scholar] [CrossRef]
- Bae, Y.B.; Lim, Y.H.; Ahn, H.S. Distributed Robust Adaptive Gradient Controller in Distance-Based Formation Control With Exogenous Disturbance. IEEE Trans. Automat. Contr. 2021, 66, 2868–2874. [Google Scholar] [CrossRef]
- Wang, R.; Dong, X.; Li, Q.; Ren, Z. Distributed Time-Varying Output Formation Control for General Linear Multiagent Systems With Directed Topology. IEEE Trans. Control Netw. 2019, 6, 609–620. [Google Scholar] [CrossRef]
- Fossen, T.I. Marine Control Systems: Guidance, Navigation, and Control of Ships, Rigs and Underwater Vehicles; Marine Cybernetics: Trondheim, Norway, 2002. [Google Scholar]
- Peng, Z.; Wang, J.; Wang, D. Distributed Maneuvering of Autonomous Surface Vehicles Based on Neurodynamic Optimization and Fuzzy Approximation. IEEE Trans. Contr. Syst. T. 2018, 26, 1083–1090. [Google Scholar] [CrossRef]
- Liu, L.; Wang, D.; Peng, Z.; Chen, C.L.P.; Li, T. Bounded Neural Network Control for Target Tracking of Underactuated Autonomous Surface Vehicles in the Presence of Uncertain Target Dynamics. IEEE Trans. Neur. Net. Lear. 2019, 30, 1241–1249. [Google Scholar] [CrossRef]
- Liu, L.; Wang, D.; Peng, Z.; Li, T. Modular Adaptive Control for LOS-Based Cooperative Path Maneuvering of Multiple Underactuated Autonomous Surface Vehicles. IEEE Trans. Syst. Man Cybern. Syst. 2017, 47, 1613–1624. [Google Scholar] [CrossRef]
- He, S.; Dai, S.L.; Zhao, Z.; Zou, T. Uncertainty and disturbance estimator-based distributed synchronization control for multiple marine surface vehicles with prescribed performance. Ocean Eng. 2022, 261, 111867. [Google Scholar] [CrossRef]
- Peng, Z.; Wang, J.; Wang, J. Constrained Control of Autonomous Underwater Vehicles Based on Command Optimization and Disturbance Estimation. IEEE Trans. Ind. Electron. 2019, 66, 3627–3635. [Google Scholar] [CrossRef]
- Tuo, Y.; Wang, Y.; Wang, S. Reliability-Based Robust Online Constructive Fuzzy Positioning Control of a Turret-Moored Floating Production Storage and Offloading Vessel. IEEE Access 2018, 6, 36019–36030. [Google Scholar] [CrossRef]
- Yu, C.; Xiang, X.; Wilson, P.A.; Zhang, Q. Guidance-Error-Based Robust Fuzzy Adaptive Control for Bottom Following of a Flight-Style AUV With Saturated Actuator Dynamics. IEEE Trans. Cybern. 2020, 50, 1887–1899. [Google Scholar] [CrossRef] [PubMed]
- Wang, H.; Wang, D.; Peng, Z. Adaptive dynamic surface control for cooperative path following of marine surface vehicles with input saturation. Nonlinear Dynam. 2014, 77, 107–117. [Google Scholar]
- Zheng, Z.; Sun, L. Path following control for marine surface vessel with uncertainties and input saturation. Neurocomputing 2016, 177, 158–167. [Google Scholar] [CrossRef]
- Hao, W.; Dan, W.; Peng, Z. Neural network based adaptive dynamic surface control for cooperative path following of marine surface vehicles via state and output feedback. Neurocomputing 2014, 133, 170–178. [Google Scholar]
- Peng, Z.; Dan, W.; Wang, J. Cooperative Dynamic Positioning of Multiple Marine Offshore Vessels: A Modular Design. IEEE/ASME Trans. Mech. 2016, 21, 1210–1221. [Google Scholar] [CrossRef]
- Tuo, Y.; Wang, S.; Guo, C. Finite-time extended state observer-based area keeping and heading control for turret-moored vessels with uncertainties and unavailable velocities. Int. J. Nav. Arch. Ocean. 2022, 14, 100422. [Google Scholar] [CrossRef]
- Peng, Z.; Wang, J.; Wang, D. Distributed Containment Maneuvering of Multiple Marine Vessels via Neurodynamics-Based Output Feedback. IEEE Trans. Ind. Electron. 2017, 64, 3831–3839. [Google Scholar] [CrossRef]
- Bechlioulis, C.P.; Rovithakis, G.A. Robust Adaptive Control of Feedback Linearizable MIMO Nonlinear Systems With Prescribed Performance. IEEE Trans. Automat. Contr. 2008, 53, 2090–2099. [Google Scholar] [CrossRef]
- Fan, A.; Li, J. Adaptive learning control synchronization for unknown time-varying complex dynamical networks with prescribed performance. Soft Comput. 2021, 25, 5093–5103. [Google Scholar] [CrossRef]
- Zhu, L.; Li, T. Observer-Based Autopilot Heading Finite-Time Control Design for Intelligent Ship with Prescribed Performance. J. Mar. Sci. Eng. 2021, 9, 828. [Google Scholar] [CrossRef]
- Wang, X.; Wang, Q.; Sun, C. Prescribed Performance Fault-Tolerant Control for Uncertain Nonlinear MIMO System Using Actor–Critic Learning Structure. IEEE Trans. Neur. Net. Lear. 2022, 33, 4479–4490. [Google Scholar] [CrossRef] [PubMed]
- Chen, F.; Dimarogonas, D.V. Leader–Follower Formation Control With Prescribed Performance Guarantees. IEEE Trans. Control Netw. 2021, 8, 450–461. [Google Scholar] [CrossRef]
- Zhang, G.; Cheng, D. Observer-based neuro-adaptive prescribed performance control of nonstrict feedback systems and its application. Optik 2019, 181, 264–277. [Google Scholar] [CrossRef]
- Hu, Q.; Shao, X.; Guo, L. Adaptive Fault-Tolerant Attitude Tracking Control of Spacecraft With Prescribed Performance. IEEE/ASME Trans. Mech. 2018, 23, 331–341. [Google Scholar] [CrossRef]
- Dai, S.L.; Wang, M.; Wang, C. Neural Learning Control of Marine Surface Vessels With Guaranteed Transient Tracking Performance. IEEE Trans. Ind. Electron. 2016, 63, 1717–1727. [Google Scholar] [CrossRef]
- Zuo, Z.; Song, J.; Tian, B.; Basin, M. Robust Fixed-Time Stabilization Control of Generic Linear Systems With Mismatched Disturbances. IEEE Trans. Syst. Man Cybern. Syst. 2022, 52, 759–768. [Google Scholar] [CrossRef]
- Azahar, M.I.P.; Irawan, A.; Ramli, M.S. Finite-Time Prescribed Performance Control for Dynamic Positioning of Pneumatic Servo System. In Proceedings of the 2020 IEEE 8th Conference on Systems, Process and Control (ICSPC), Virtual, 12th December 2020; pp. 1–6. [Google Scholar]
- Sui, S.; Chen, C.L.P.; Tong, S. Finite-Time Adaptive Fuzzy Prescribed Performance Control for High-Order Stochastic Nonlinear Systems. IEEE Trans. Fuzzy Syst. 2022, 30, 2227–2240. [Google Scholar] [CrossRef]
- Sun, K.; Guo, R.; Qiu, J. Fuzzy Adaptive Switching Control for Stochastic Systems With Finite-Time Prescribed Performance. IEEE Trans. Cybern. 2022, 52, 9922–9930. [Google Scholar] [CrossRef]
- Dong, H.; Yang, X. Finite-Time Prescribed Performance Control for Space Circumnavigation Mission With Input Constraints and Measurement Uncertainties. IEEE Trans. Aero. Elec. Sys. 2022, 58, 3209–3222. [Google Scholar] [CrossRef]
- Qiu, J.; Wang, T.; Sun, K.; Rudas, I.J.; Gao, H. Disturbance Observer-Based Adaptive Fuzzy Control for Strict-Feedback Nonlinear Systems With Finite-Time Prescribed Performance. IEEE Trans. Fuzzy Syst. 2022, 30, 1175–1184. [Google Scholar] [CrossRef]
- Li, M.Y.; Xie, W.B.; Wang, Y.L.; Hu, X. Prescribed performance trajectory tracking fault-tolerant control for dynamic positioning vessels under velocity constraints. Appl. Math. Comput. 2022, 431, 127348. [Google Scholar] [CrossRef]
- Wu, W.; Zhang, Y.; Zhang, W.; Xie, W. Distributed finite-time performance-prescribed time-varying formation control of autonomous surface vehicles with saturated inputs. Ocean Eng. 2022, 266, 112866. [Google Scholar] [CrossRef]
- Kustov, V.N.; Yakovlev, V.V.; Stankevich, T.L. The information security system synthesis using the graphs theory. In Proceedings of the 2017 XX IEEE International Conference on Soft Computing and Measurements (SCM), Saint Petersburg, Russia, 24–26 May 2017; pp. 148–151. [Google Scholar]
- Skjetne, R.; Fossen, T.I.; Kokotovi, P.V. Adaptive maneuvering, with experiments, for a model ship in a marine control laboratory. Pergamon Press. Inc. 2005, 41, 289–298. [Google Scholar] [CrossRef]
- Wang, Y.; Tuo, Y.; Yang, S.X.; Biglarbegian, M.; Fu, M. Reliability-based robust dynamic positioning for a turret-moored floating production storage and offloading vessel with unknown time-varying disturbances and input saturation. ISA Trans. 2018, 78, 66–79. [Google Scholar] [CrossRef]
- Bhat, S.; Bernstein, D. Geometric homogeneity with applications to finite-time stability. Math. Control Signals Syst. 2005, 17, 101–127. [Google Scholar] [CrossRef]
- Brascamp, H.J.; Lieb, E.H. Best constants in Young’s inequality, its converse, and its generalization to more than three functions. Adv. Math. 1976, 20, 151–173. [Google Scholar] [CrossRef]
- Fossen, T.I.; Strand, J.P. Passive nonlinear observer design for ships using lyapunov methods: Full-scale experiments with a supply vessel. Automatica 1999, 35, 3–16. [Google Scholar] [CrossRef]
- Du, J.; Hu, X.; Krstić, M.; Sun, Y. Robust dynamic positioning of ships with disturbances under input saturation. Automatica 2016, 73, 207–214. [Google Scholar] [CrossRef]








Disclaimer/Publisher’s Note: The statements, opinions and data contained in all publications are solely those of the individual author(s) and contributor(s) and not of MDPI and/or the editor(s). MDPI and/or the editor(s) disclaim responsibility for any injury to people or property resulting from any ideas, methods, instructions or products referred to in the content. |
© 2023 by the authors. Licensee MDPI, Basel, Switzerland. This article is an open access article distributed under the terms and conditions of the Creative Commons Attribution (CC BY) license (https://creativecommons.org/licenses/by/4.0/).
Share and Cite
Wang, S.; Dai, D.; Wang, D.; Tuo, Y. Nonlinear Extended State Observer-Based Distributed Formation Control of Multiple Vessels with Finite-Time Prescribed Performance. J. Mar. Sci. Eng. 2023, 11, 321. https://doi.org/10.3390/jmse11020321
Wang S, Dai D, Wang D, Tuo Y. Nonlinear Extended State Observer-Based Distributed Formation Control of Multiple Vessels with Finite-Time Prescribed Performance. Journal of Marine Science and Engineering. 2023; 11(2):321. https://doi.org/10.3390/jmse11020321
Chicago/Turabian StyleWang, Shasha, Dongchen Dai, Dan Wang, and Yulong Tuo. 2023. "Nonlinear Extended State Observer-Based Distributed Formation Control of Multiple Vessels with Finite-Time Prescribed Performance" Journal of Marine Science and Engineering 11, no. 2: 321. https://doi.org/10.3390/jmse11020321
APA StyleWang, S., Dai, D., Wang, D., & Tuo, Y. (2023). Nonlinear Extended State Observer-Based Distributed Formation Control of Multiple Vessels with Finite-Time Prescribed Performance. Journal of Marine Science and Engineering, 11(2), 321. https://doi.org/10.3390/jmse11020321

