Effects of Constant Water Flow on Endurance Swimming and Fatigue Metabolism of Large Yellow Croaker
Abstract
1. Introduction
2. Materials and Methods
2.1. Materials
2.2. Laboratory Equipment
2.3. Swimming Preference
2.4. Sustained Swimming Capacity Test
2.5. Data Analysis
3. Results
3.1. Swimming Preference
3.2. Swimming Time
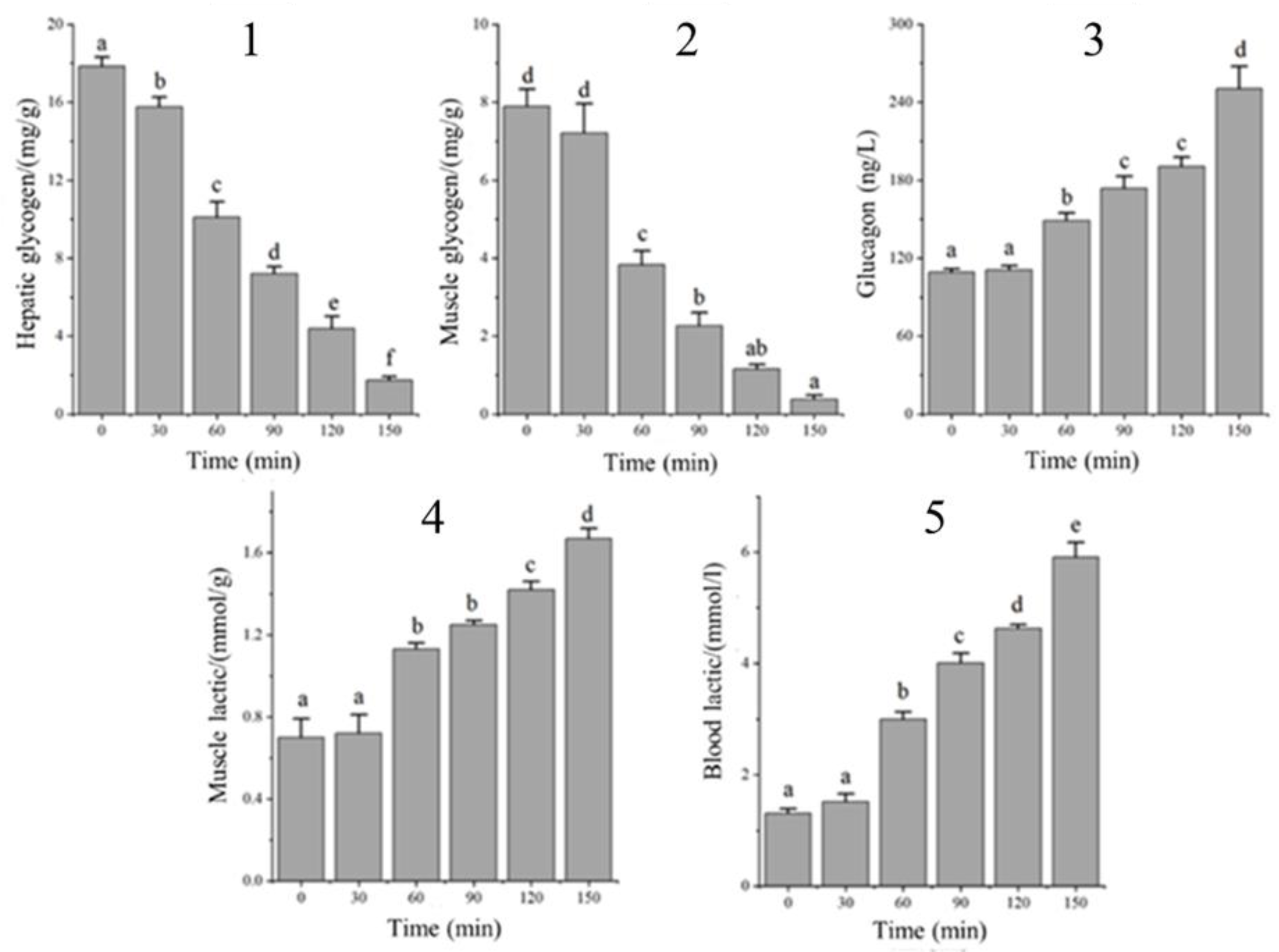
3.3. Biochemical Characteristics
3.4. Metabolite Multiple Linear Regression Analysis
4. Discussion
4.1. Swimming Behavior of Large Yellow Croaker
4.2. Swimming Ability of Large Yellow Croaker
4.3. Biochemical Changes
4.4. Relationship of Physiological Parameters with Swimming Ability
5. Conclusions
Author Contributions
Funding
Institutional Review Board Statement
Informed Consent Statement
Data Availability Statement
Conflicts of Interest
References
- Zhou, W.B.; Shi, J.G.; Wen-Wen, Y.U.; Liu, F.L.; Song, W.H.; Gui, F.K.; Yang, F. Current situation and development trend of marine seine culture in China. Fish. Inf. Strategy 2018, 33, 259–266. [Google Scholar]
- Chu, Y.; Wang, C.M.; Park, J.C.; Lader, P.F. Review of cage and containment tank designs for offshore fish farming. Aquaculture 2020, 519, 734928. [Google Scholar] [CrossRef]
- Min, L.; Mitcheson, Y. Profile of a fishery collapse: Why mariculture failed to save the large yellow croaker. Fish Fish. 2008, 9, 219–242. [Google Scholar]
- Yearbook, C.F.S. China Fishery Statistical Yearbook; China Agriculture Press: Beijing, China, 2020; Volume 2020, pp. 24–34. [Google Scholar]
- Hvas, M.; Folkedal, O.; Solstorm, D.; Vågseth, T.; Fosse, J.O.; Gansel, L.C.; Oppedal, F. Assessing swimming capacity and schooling behaviour in farmed Atlantic salmon Salmo salar with experimental push-cages. Aquaculture 2017, 473, 423–429. [Google Scholar] [CrossRef]
- Hvas, M.; Folkedal, O.; Oppedal, F. Fish welfare in offshore salmon aquaculture. Rev. Aquac. 2021, 13, 836–852. [Google Scholar] [CrossRef]
- Hvas, M.; Folkedal, O.; Oppedal, F. What is the limit of sustained swimming in Atlantic salmon post smolts? Aquac. Environ. Interact. 2021, 13, 189–198. [Google Scholar] [CrossRef]
- Mateus, C.; Quintella, B.R.; Almeida, P.R. The critical swimming speed of Iberian barbel Barbus bocagei in relation to size and sex. J. Fish Biol. 2008, 73, 1783–1789. [Google Scholar] [CrossRef]
- Fisher, R.; Wilson, S.K. Maximum sustainable swimming speeds of late-stage larvae of nine species of reef fishes. J. Exp. Mar. Biol. Ecol. 2004, 312, 171–186. [Google Scholar] [CrossRef]
- Tudorache, C.; Viaenen, P.; Blust, R.; De Boeck, G. Longer flumes increase critical swimming speeds by increasing burst–glide swimming duration in carp Cyprinus carpio, L.J. Fish Biol. 2007, 71, 1630–1638. [Google Scholar] [CrossRef]
- Leavy, T.R.; Bonner, T.H. Relationships among swimming ability, current velocity association, and morphology for freshwater lotic fishes. N. Am. J. Fish. Manag. 2009, 29, 72–83. [Google Scholar] [CrossRef]
- Wood, C.; Turner, J.; Graham, M. Why do fish die after severe exercise? J. Fish Biol. 1983, 22, 189–201. [Google Scholar] [CrossRef]
- Zhu, Y.; Cao, Z.; Fu, S. Aerobic and anaerobic metabolic reactions of juvenile Pelteobagrus vachelli at different swimming speeds. Acta Hydrobiol. Sin. 2010, 905, 912. [Google Scholar]
- Ping, W.; Shuai, C.; Yudong, L.; Yun, P.; Fukun, G. A preliminary study of physical energy distribution model of Sciaenops ocellatus under swimming conditions. Isr. J. Aquac.-Bamidgeh 2018, 70, 171–180. [Google Scholar]
- Stobutzki, I.C.; Bellwood, D.R. An analysis of the sustained swimming abilities of pre-and post-settlement coral reef fishes. J. Exp. Mar. Biol. Ecol. 1994, 175, 275–286. [Google Scholar] [CrossRef]
- Drucker, E.G. The use of gait transition speed in comparative studies of fish locomotion. Am. Zool. 1996, 36, 555–566. [Google Scholar] [CrossRef]
- Cooke, S.J.; Bunt, C.M.; Hamilton, S.J.; Jennings, C.A.; Pearson, M.P.; Cooperman, M.S.; Markle, D.F. Threats, conservation strategies, and prognosis for suckers (Catostomidae) in North America: Insights from regional case studies of a diverse family of non-game fishes. Biol. Conserv. 2005, 121, 317–331. [Google Scholar] [CrossRef]
- Fitzgibbon, Q.; Strawbridge, A.; Seymour, R. Metabolic scope, swimming performance and the effects of hypoxia in the mulloway, Argyrosomus japonicus (Pisces: Sciaenidae). Aquaculture 2007, 270, 358–368. [Google Scholar] [CrossRef]
- Miyoshi, K.; Hayashida, K.; Sakashita, T.; Fujii, M.; Nii, H.; Nakao, K.; Ueda, H. Comparison of the swimming ability and upstream-migration behavior between chum salmon and masu salmon. Can. J. Fish. Aquat. Sci. 2014, 71, 217–225. [Google Scholar] [CrossRef]
- Wang, X. The existing condition, problems and development strategy of Pseudociaena crocea culture industry in the eastern area of Fujian Province. J. Fujian Fish. 2000, 2000, 52–57. [Google Scholar]
- Zhang, C.; Liu, J.; Li, Y.; Chen, Z. Analyzing the present condition and countermeasure of cultured large yellow croaker Pseudosciaena crocea in Fujian Province. J. Shanghai Fish. Univ. 2002, 11, 77–83. [Google Scholar]
- Kern, P.; Cramp, R.; Gordos, M.; Watson, J.; Franklin, C. Measuring U crit and endurance: Equipment choice influences estimates of fish swimming performance. J. Fish Biol. 2018, 92, 237–247. [Google Scholar] [CrossRef]
- Lou, Y.D.; Jiao-Jiao, H.E.; Zhu, Y. Study of Three Species of Common Fishes’ Swimming Preferences. J. Zhejiang Ocean. Univ. (Nat. Sci.) 2018, 37, 228–232, 241. [Google Scholar]
- Fulton, T.W. The rate of growth of fishes. Fish. Board Scotl. Annu. Rep. 1904, 22, 141–241. [Google Scholar]
- Sutton, S.G.; Bult, T.P.; Haedrich, R.L. Relationships among fat weight, body weight, water weight, and condition factor in wild Atlantic salmon Parr. Trans. Am. Fish. Soc. 2000, 129, 527–538. [Google Scholar] [CrossRef]
- Feifei, W.U.; Wang, P.; Gui, F.; Meng, W.; Changwen, W.U. Preliminary study on sustained swimming time and critical swimming speed of Pseudosciaena crocea. Fish. Mod. 2014, 41, 29–33. [Google Scholar]
- Currier, M.; Rouse, J.; Coughlin, D.J. Group swimming behaviour and energetics in bluegill Lepomis macrochirus and rainbow trout Oncorhynchus mykiss. J. Fish Biol. 2021, 98, 1105–1111. [Google Scholar] [CrossRef] [PubMed]
- Svendsen, J.C.; Skov, J.; Bildsoe, M.; Steffensen, J.F. Intra-school positional preference and reduced tail beat frequency in trailing positions in schooling roach under experimental conditions. J. Fish Biol. 2003, 62, 834–846. [Google Scholar] [CrossRef]
- Fields, P. Decreased swimming effort in groups of pacific mackerel (Scomber-japonicus). In American Zoologist; American Society of Zoologists: Lawrence, KS, USA, 1990; p. A134. [Google Scholar]
- Herskin, J.; Steffensen, J. Energy savings in sea bass swimming in a school: Measurements of tail beat frequency and oxygen consumption at different swimming speeds. J. Fish Biol. 1998, 53, 366–376. [Google Scholar] [CrossRef]
- Deslauriers, D.; Kieffer, J. The influence of flume length and group size on swimming performance in shortnose sturgeon Acipenser brevirostrum. J. Fish Biol. 2011, 79, 1146–1155. [Google Scholar] [CrossRef] [PubMed]
- Liang, Y.; Hou, Y.; Hu, W.; Johnson, D.; Wang, J. Flow Velocity Preference of Schizothorax oconnori Lloyd Swimming Upstream. Glob. Ecol. Conserv. 2021, 32, e01902. [Google Scholar] [CrossRef]
- Cotterell, S.; Wardle, C. Endurance swimming of diploid and triploid Atlantic salmon. J. Fish Biol. 2004, 65, 55–68. [Google Scholar] [CrossRef]
- Kieffer, J.D.; May, L.E. Repeat UCrit and endurance swimming in juvenile shortnose sturgeon (Acipenser brevirostrum). J. Fish Biol. 2020, 96, 1379–1387. [Google Scholar] [CrossRef]
- Solstorm, F.; Solstorm, D.; Oppedal, F.; Ferno, A.; Fraser, T.W.K.; Olsen, R.-E. Fast water currents reduce production performance of post-smolt Atlantic salmon Salmo salar. Aquac. Environ. Interact. 2015, 7, 125–134. [Google Scholar] [CrossRef]
- Johansson, D.; Laursen, F.; Fernö, A.; Fosseidengen, J.E.; Klebert, P.; Stien, L.H.; Vågseth, T.; Oppedal, F. The interaction between water currents and salmon swimming behaviour in sea cages. PLoS ONE 2014, 9, e97635. [Google Scholar] [CrossRef]
- Jones, D.R. Anaerobic exercise in teleost fish. Can. J. Zool. 1982, 60, 1131–1134. [Google Scholar] [CrossRef]
- Chai, R.; Lou, Y.; Huo, R.; Yin, H.; Huang, L.; Wang, H.; Wang, P. Effects of constant flow velocity on endurance swimming and fatigue metabolism in red drum and blackhead seabream. Comp. Biochem. Physiol. Part A Mol. Integr. Physiol. 2022, 275, 111331. [Google Scholar] [CrossRef]
- Forbes, J.L.I.; Kostyniuk, D.J.; Mennigen, J.A.; Weber, J.M. Glucagon regulation of carbohydrate metabolism in rainbow trout: In vivo glucose fluxes and gene expression. J. Exp. Biol. 2019, 222, jeb211730. [Google Scholar] [CrossRef]
- Black, E.C.; Connor, A.R.; Lam, K.-C.; Chiu, W.-G. Changes in Glycogen, Pyruvate and Lactate in Rainbow Trout Salmo gairdneri) During and Following Muscular Activity. J. Fish. Board Can. 1962, 19, 409–436. [Google Scholar] [CrossRef]
- Johnston, I.; Goldspink, G. A study of glycogen and lactate in the myotomal muscles and liver of the coalfish (Gadus virens L.) during sustained swimming. J. Mar. Biol. Assoc. U. K. 1973, 53, 17–26. [Google Scholar] [CrossRef]
- Kieffer, J.D. Limits to exhaustive exercise in fish. Comp. Biochem. Physiol. Part A Mol. Integr. Physiol. 2000, 126, 161–179. [Google Scholar] [CrossRef]
- Wardle, C. Non-release of lactic acid from anaerobic swimming muscle of plaice Pleuronectes platessa L.: A stress reaction. J. Exp. Biol. 1978, 77, 141–155. [Google Scholar] [CrossRef]
- Milligan, C.L.; McDonald, D.G. In vivo lactate kinetics at rest and during recovery from exhaustive exercise in coho salmon (Oncorhynchus kisutch) and starry flounder (Platichthys stellatus). J. Exp. Biol. 1988, 135, 119–131. [Google Scholar] [CrossRef] [PubMed]
- Milligan, C.L.; McDonald, D.G.; Prior, T. Branchial acid and ammonia fluxes in response to alkalosis and acidosis in two marine teleosts: Coho salmon (Oncorhynchus kisutch) and starry flounder (Platichthys stellatus). Physiol. Zool. 1991, 64, 169–192. [Google Scholar] [CrossRef]
- Milligan, C.L.; Farrell, T.P. Extracellular and intracellular acid-base status following strenuous activity in the sea raven (Hemitripterus americanus). J. Comp. Physiol. B 1986, 156, 583–590. [Google Scholar] [CrossRef]
- Weber, J.-M.; Choi, K.; Gonzalez, A.; Omlin, T. Metabolic fuel kinetics in fish: Swimming, hypoxia and muscle membranes. J. Exp. Biol. 2016, 219, 250–258. [Google Scholar] [CrossRef]
- Rosewarne, P.; Wilson, J.; Svendsen, J.C. Measuring maximum and standard metabolic rates using intermittent-flow respirometry: A student laboratory investigation of aerobic metabolic scope and environmental hypoxia in aquatic breathers. J. Fish Biol. 2016, 88, 265–283. [Google Scholar] [CrossRef]
- Jing, A. Sustained swimming performance and physiology of Lateolabrax maculatus and Sebastes Schlegeli. Ocean. Univ. China 2005, 3, 36–42. [Google Scholar]





| Index | Group | F | p | |||||
|---|---|---|---|---|---|---|---|---|
| 1 | 2 | 3 | 4 | 5 | 6 | |||
| Absolute swimming speed (m/s) | 0.15 | 0.25 | 0.35 | 0.40 | 0.45 | 0.50 | \ | \ |
| Relative swimming speed (BL/s) | 1.10 | 1.85 | 2.60 | 2.96 | 3.33 | 3.70 | \ | \ |
| Swimming time (min) | 632 ±22.5 a | 317 ±16.3 b | 190 ±10.5 c | 127 ±7.5 d | 76 ±5.7 e | 27 ±2.1 f | 654.2 | <0.001 |
| Body length (cm) | 13.62 ± 0.10 | 13.58 ± 0.06 | 13.64 ± 0.17 | 13.08 ± 0.05 | 13.66 ± 0.04 | 13.70 ± 0.03 | 1.57 | 0.21 |
| Weight (g) | 27.92 ± 1.33 | 27.90 ± 1.87 | 28.46 ± 0.63 | 27.74 ± 1.10 | 28.10 ± 0.64 | 27.94 ± 1.25 | 0.042 | 0.99 |
| K | 1.11 | 1.11 | 1.13 | 1.11 | 1.10 | 1.09 | 0.377 | 0.859 |
| β | Standard Error | t | p | VIF | R2 | |
|---|---|---|---|---|---|---|
| Constant | 96.837 | 41.086 | 2.357 | 0.027 | 0.974 | |
| Hepatic glycogen | −6.320 | 2.063 | −3.063 | 0.005 | 25.301 | / |
| Muscle glycogen | 1.592 | 2.755 | 0.578 | 0.569 | 23.571 | / |
| Muscle lactic | −44.090 | 28.189 | −1.564 | 0.131 | 37.304 | / |
| Blood lactic | 14.803 | 6.566 | 2.255 | 0.100 | 26.306 | / |
| Glucagon | 0.199 | 0.070 | 2.861 | 0.009 | 4.556 | / |
| β | Standard Error | t | p | VIF | R2 | p | F | |
|---|---|---|---|---|---|---|---|---|
| Constant | 98.075 | 17.509 | 5.601 | 0 | / | 0.996 | <0.05 | 382.128 |
| Hepatic glycogen | −6.625 | 0.639 | −10.375 | 0 | 4.243 | |||
| Glucagon | 0.243 | 0.072 | 3.37 | 0.002 | 4.243 |
Disclaimer/Publisher’s Note: The statements, opinions and data contained in all publications are solely those of the individual author(s) and contributor(s) and not of MDPI and/or the editor(s). MDPI and/or the editor(s) disclaim responsibility for any injury to people or property resulting from any ideas, methods, instructions or products referred to in the content. |
© 2023 by the authors. Licensee MDPI, Basel, Switzerland. This article is an open access article distributed under the terms and conditions of the Creative Commons Attribution (CC BY) license (https://creativecommons.org/licenses/by/4.0/).
Share and Cite
Chai, R.; Yin, H.; Huo, R.; Wang, H.; Huang, L.; Wang, P. Effects of Constant Water Flow on Endurance Swimming and Fatigue Metabolism of Large Yellow Croaker. J. Mar. Sci. Eng. 2023, 11, 270. https://doi.org/10.3390/jmse11020270
Chai R, Yin H, Huo R, Wang H, Huang L, Wang P. Effects of Constant Water Flow on Endurance Swimming and Fatigue Metabolism of Large Yellow Croaker. Journal of Marine Science and Engineering. 2023; 11(2):270. https://doi.org/10.3390/jmse11020270
Chicago/Turabian StyleChai, Ruoyu, Heng Yin, Runming Huo, Hanying Wang, Ling Huang, and Ping Wang. 2023. "Effects of Constant Water Flow on Endurance Swimming and Fatigue Metabolism of Large Yellow Croaker" Journal of Marine Science and Engineering 11, no. 2: 270. https://doi.org/10.3390/jmse11020270
APA StyleChai, R., Yin, H., Huo, R., Wang, H., Huang, L., & Wang, P. (2023). Effects of Constant Water Flow on Endurance Swimming and Fatigue Metabolism of Large Yellow Croaker. Journal of Marine Science and Engineering, 11(2), 270. https://doi.org/10.3390/jmse11020270

