Study on the Formation Characteristics and Disaster Mitigation Mechanisms of Rip Currents on Arc-Shaped Beach
Abstract
:1. Introduction
2. Study Area Overview and Numerical Model
2.1. Overview of the Study Area
2.2. Numerical Model
2.3. Test of the FUNWAVE-TVD Model in Simulating Rip Currents
3. Result of Rip Current Characteristics in Dadonghai Region under Different Wave Conditions
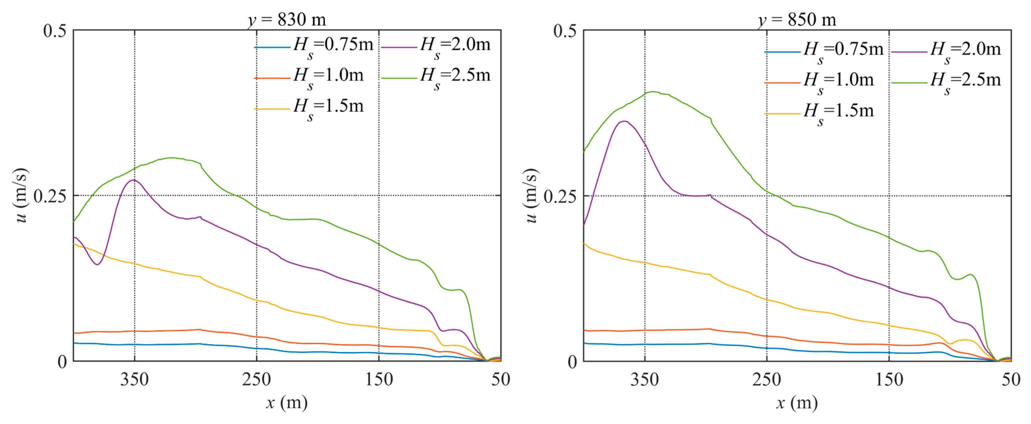
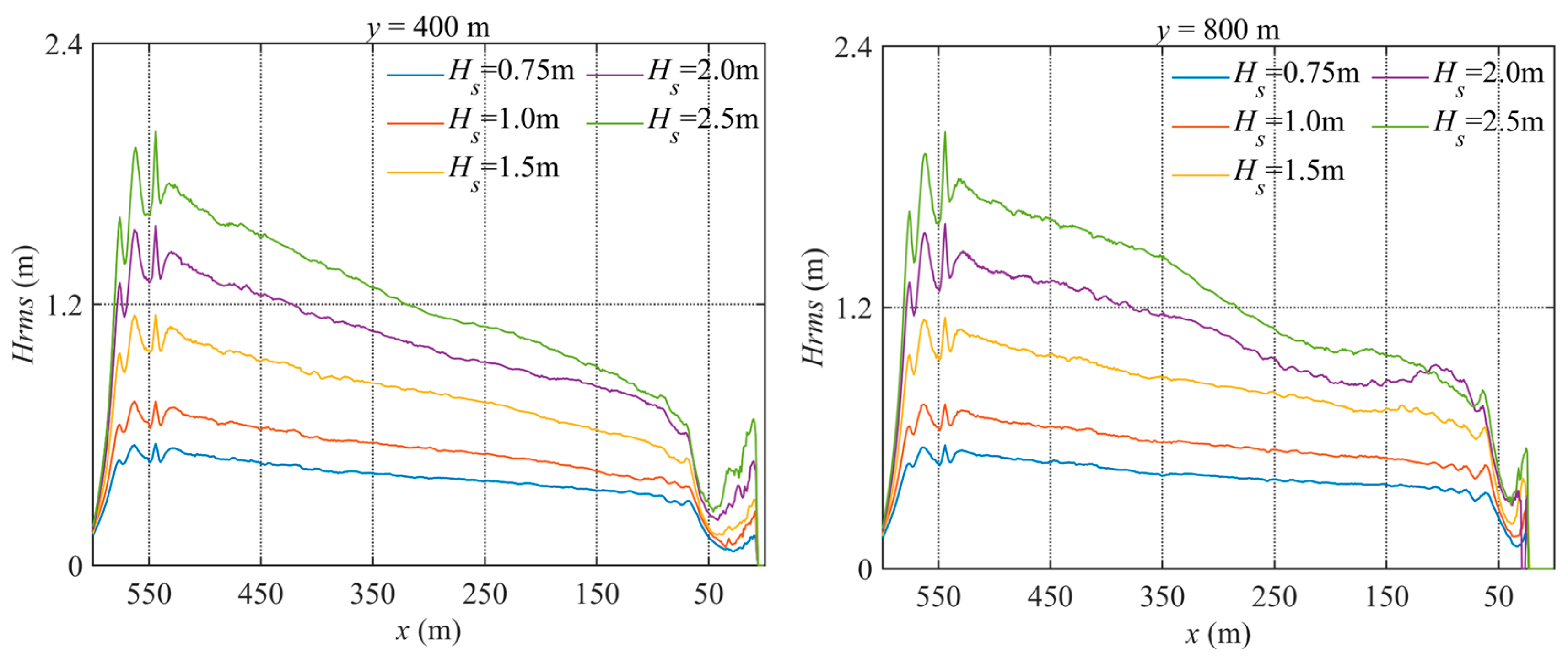
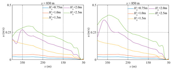
3.1. Effect of Significant Wave Height and Peak Period on Rip Current Characteristics
3.2. Effect of Incident WAVE Angle on Rip Current Characteristics
4. Methods to Reduce Rip Currents
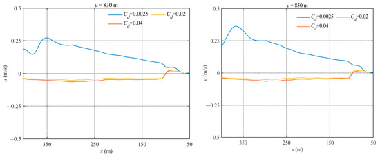
4.1. Effect of Bottom Friction on Rip Current Characteristics
4.2. Influence of Water Depth at Channel Positions on Rip Current Formation
5. Conclusions
Author Contributions
Funding
Institutional Review Board Statement
Informed Consent Statement
Data Availability Statement
Conflicts of Interest
References
- Castelle, B.; Scott, T.; Brander, R.W.; McCarroll, R.J. Rip current types, circulation and hazard. Earth-Sci. Rev. 2016, 163, 1–21. [Google Scholar] [CrossRef]
- Shepard, F.P.; Emery, K.; La Fond, E.C. Rip currents: A process of geological importance. J. Geol. 1941, 49, 337–369. [Google Scholar] [CrossRef]
- Turner, I.L.; Whyte, D.; Ruessink, B.G.; Ranasinghe, R. Observations of rip spacing, persistence and mobility at a long, straight coastline. Mar. Geol. 2007, 236, 209–221. [Google Scholar] [CrossRef]
- MacMahan, J.; Brown, J.; Brown, J.; Thornton, E.; Reniers, A. Mean Lagrangian flow behavior on an open coast rip-channeled beach: A new perspective. Mar. Geol. 2010, 268, 1–15. [Google Scholar] [CrossRef]
- Scott, T.; Masselink, G.; Austin, M.J.; Russell, P. Controls on macrotidal rip current circulation and hazard. Geomorphology 2014, 214, 198–215. [Google Scholar] [CrossRef]
- Kim, I.C.; Lee, J.L.; Lee, J.Y. Verification of rip current simulation using a two-dimensional predictive model, HAECUM. J. Coast. Res. 2013, 65, 726–730. [Google Scholar] [CrossRef]
- Zhu, D.; Li, Z.; Hu, P.; Wang, B.; Su, Q.; Li, G. Preliminary Investigation and Analysis of Beachgoers’ Awareness of Rip Currents in South China. Int. J. Environ. Res. Public Health 2023, 20, 4471. [Google Scholar] [CrossRef]
- Haller, M.C.; Dalrymple, R.A.; Svendsen, I.A. Experimental Study of Nearshore Dynamics on a Barred Beach with Rip Channels. J. Geophys. Res. 2002, 107, 14-1–14-21. [Google Scholar] [CrossRef]
- Chen, Q.; Dalrymple, R.A.; Kirby, J.T.; Kennedy, A.B.; Haller, M.C. Boussinesq modeling of a rip current system. J. Geophys. Res. 1999, 104, 20617–20637. [Google Scholar] [CrossRef]
- Haas, K.A.; Svendsen, I.A. Laboratory measurements of the vertical structure of rip currents. J. Geophys. Res. 2002, 107, 15-1–15-19. [Google Scholar] [CrossRef]
- Zhang, Y.; Kennedy, A.B.; Tomiczek, T.; Donahue, A.; Westerink, J. Validation of Boussinesq–Green–Naghdi modeling for surf zone hydrodynamics. Ocean Eng. 2016, 111, 299–309. [Google Scholar] [CrossRef]
- Hong, X.; Zhang, Y.; Wang, B.; Zhou, S.; Yu, S.; Zhang, J. Numerical study of rip currents interlaced with multichannel sandbars. Nat. Hazards. 2021, 108, 593–605. [Google Scholar] [CrossRef]
- Zhang, Y.; Hong, X.; Qiu, T.; Liu, X.; Sun, Y.; Xu, G. Tidal and wave modulation of rip current dynamics. Cont. Shelf Res. 2022, 243, 104764. [Google Scholar] [CrossRef]
- Hu, P.; Li, Z.; Zhu, D.; Zeng, C.; Liu, R.; Chen, Z.; Su, Q. Field observation and numerical analysis of rip currents at Ten-Mile Beach, Hailing Island, China. Estuar. Coast. Shelf Sci. 2022, 276, 108014. [Google Scholar] [CrossRef]
- Shin, S.; Nam, J.; Son, S.; Kim, I.H.; Jung, T.H. Field Observation and Numerical Modelling of Rip Currents within a Pocket Beach. J. Coast. Res. 2017, 79, 229–233. [Google Scholar] [CrossRef]
- Wang, H.; Zhu, S.; Li, X.; Zhang, W.; Nie, Y. Numerical simulations of rip currents off arc-shaped coastlines. Acta Oceanol. Sin. 2018, 37, 21–30. [Google Scholar] [CrossRef]
- Moulton, M.; Elgar, S.; Raubenheimer, B.; Warner, J.C.; Kumar, N. Rip currents and alongshore flows in single channels dredged in the surf zone. J. Geophys. Res. Oceans 2017, 122, 3799–3816. [Google Scholar] [CrossRef]
- Tomasicchio, G.; Francone, A.; Simmonds, D.; D’Alessandro, F.; Frega, F. Prediction of shoreline evolution. Reliability of a general model for the mixed beach case. J. Mar. Sci. Eng. 2020, 8, 361. [Google Scholar] [CrossRef]
- Xu, J.; Yan, S.; Zou, Z.; Chang, C.; Fang, K.; Wang, Y. Flow Characteristics of the Rip Current System near a Shore-Normal Structure with Regular Waves. J. Mar. Sci. Eng. 2023, 11, 1297. [Google Scholar] [CrossRef]
- Brocchini, M.; Kennedy, A.; Soldini, L.; Mancinelli, A. Topographically controlled, breaking-wave-induced macrovortices. Part 1. Widely separated breakwaters. J. Fluid. Mech. 2004, 507, 289–307. [Google Scholar] [CrossRef]
- Kennedy, A.; Brocchini, M.; Soldini, L.; Gutierrez, E. Topographically controlled, breaking-wave-induced macrovortices. Part 2. Changing geometries. J. Fluid. Mech. 2006, 559, 57–80. [Google Scholar] [CrossRef]
- Postacchini, M.; Brocchini, M.; Soldini, L. Vorticity generation due to cross-sea. J. Fluid. Mech. 2014, 744, 286–309. [Google Scholar] [CrossRef]
- Choi, J.; Roh, M. A laboratory experiment of rip currents between the ends of breaking wave crests. Coast. Eng. 2021, 164, 103812. [Google Scholar] [CrossRef]
- Winter, G.; Van Dongeren, A.R.; De Schipper, M.A.; De Vries, J.V.T. Rip currents under obliquely incident wind waves and tidal longshore currents. Coast. Eng. 2014, 89, 106–119. [Google Scholar] [CrossRef]
- Choi, J.; Kim, H.S. A Boussinesq Modeling of a Rip Current at the Daechon beach in Korea. J. Coast. Res. 2016, 75, 1332–1336. [Google Scholar] [CrossRef]
- Schönhofer, J.; Dudkowska, A. Rip currents in the southern Baltic Sea multi-bar nearshore zone. Cont. Shelf Res. 2021, 212, 104324. [Google Scholar] [CrossRef]
- Haller, M.; Honegger, D.; Catalan, P. Rip current observations via marine radar. J. Waterw. Port. Coast. 2014, 140, 115–124. [Google Scholar] [CrossRef]
- Ludeno, G.; Postacchini, M.; Natale, A.; Brocchini, M.; Lugni, C.; Soldovieri, F.; Serafino, F. Normalized scalar product approach for nearshore bathymetric estimation from X-band radar images: An assessment based on simulated and measured data. IEEE J. Oceanic. Eng. 2017, 43, 221–237. [Google Scholar] [CrossRef]
- Kirby, J.T.; Wei, G.; Chen, Q.; Kennedy, A.B.; Dalrymple, R.A. FUNWAVE 1.0: Fully Nonlinear Boussinesq Wave Model-Documentation and User’s Manual; Research Repo NO. CACR-98-06; University of Delaware Center for Applied Coastal Research: Newark, DE, USA, 1998. [Google Scholar]
- Chen, Q. Fully nonlinear Boussinesq-type equations for waves and currents over porous beds. J. Eng. Mech. 2006, 132, 220–230. [Google Scholar] [CrossRef]
- Chen, Q.; Kirby, J.T.; Dalrymple, R.A.; Shi, F.; Thornton, E. Boussinesq modeling of longshore currents. J. Geophys. Res. Oceans. 2003, 108, 3362. [Google Scholar] [CrossRef]
- Kennedy, A.B.; Chen, Q.; Kirby, J.T.; Dalrymple, R.A. Boussinesq modeling of wave transformation, breaking, and runup. I: 1D. J. Waterw. Port. Coast. 2000, 126, 39–47. [Google Scholar] [CrossRef]
- Kennedy, A.B.; Kirby, J.T.; Chen, Q.; Dalrymple, R.A. Boussinesq-type equations with improved nonlinear performance. Wave Motion. 2001, 33, 225–243. [Google Scholar] [CrossRef]
- Shi, F.; Kirby, J.T.; Harris, J.C.; Geiman, J.D.; Grilli, S.T. A high-order adaptive time-stepping TVD solver for Boussinesq modeling of breaking waves and coastal inundation. Ocean Model. 2012, 43, 36–51. [Google Scholar] [CrossRef]
- Ren, Z.Y.; Zhao, X.; Liu, H. Dispersion effects on tsunami propagation in South China Sea. J. Earthq. Tsunami. 2015, 9, 1540001. [Google Scholar] [CrossRef]
- Kirby, J.T. Boussinesq models and their application to coastal processes across a wide range of scales. J. Waterw. Port Coast. 2016, 142, 03116005. [Google Scholar] [CrossRef]
- Li, Z.; Zhang, J.; Liu, H. Boussinesq modeling for the runup of solitary-like waves on a slope and circular island. Ocean Eng. 2021, 226, 108742. [Google Scholar] [CrossRef]
- Zheng, Z.; Ma, X.; Ma, Y.; Dong, G. Wave estimation within a port using a fully nonlinear Boussinesq wave model and artificial neural networks. Ocean Eng. 2020, 216, 108073. [Google Scholar] [CrossRef]
- Johnson, D.; Pattiaratchi, C. Boussinesq modelling of transient rip currents. Coast. Eng. 2006, 53, 419–439. [Google Scholar] [CrossRef]
- Goda, Y. A comparative review on the functional forms of directional wave spectrum. Coast. Eng. J. 1999, 41, 1–20. [Google Scholar] [CrossRef]
- Choi, J.; Kirby, J.; Yoon, S. Boussinesq modeling of longshore currents in the SandyDuck experiment under directional random wave conditions. Coast. Eng. 2015, 101, 17–34. [Google Scholar] [CrossRef]
- Dudkowska, A.; Boruń, A.; Malicki, J.; Schönhofer, J.; Gic-Grusza, G. Rip currents in the non-tidal surf zone with sandbars: Numerical analysis versus field measurements. Oceanologia 2020, 62, 291–308. [Google Scholar] [CrossRef]
- Zhang, Y.; Shi, F.; Kirby, J.; Feng, X. Phase-Resolved Modeling of Wave Interference and Its Effects on Nearshore Circulation in a Large Ebb Shoal-Beach System. J. Geophys. Res.-Oceans 2022, 127, e2022JC018623. [Google Scholar] [CrossRef]
- Kumar, A.; Hayatdavoodi, M. Effect of currents on nonlinear waves in shallow water. Coast. Eng. 2023, 181, 104278. [Google Scholar] [CrossRef]
- Zhang, X.; Simons, R.; Zheng, J.; Zhang, C. A review of the state of research on wave-current interaction in nearshore areas. Ocean Eng. 2022, 243, 110202. [Google Scholar] [CrossRef]
- Olabarrieta, M.; Medina, M.; Castanedo, S. Effects of wave–current interaction on the current profile. Coast. Eng. 2010, 57, 643–655. [Google Scholar] [CrossRef]
- Garnier, R.; Falqués, A.; Calvete, D.; Thiebot, J.; Ribas, F. A mechanism for sandbar straightening by oblique wave incidence. Geophys. Res. Lett. 2013, 40, 2726–2730. [Google Scholar] [CrossRef]
- Faraci, C.; Musumeci, R.; Marino, M.; Ruggeri, A.; Carlo, L.; Jensen, B.; Foti, E.; Barbaro, G.; Elsaßer, B. Wave- and current-dominated combined orthogonal flows over fixed rough beds. Cont. Shelf Res. 2021, 220, 104403. [Google Scholar] [CrossRef]





















| Month | 1 | 2 | 3 | 4 | 5 | 6 | 7 | 8 | 9 | 10 | 11 | 12 |
|---|---|---|---|---|---|---|---|---|---|---|---|---|
| Mean monthly wave height (m) | 1.1 | 1.0 | 0.8 | 0.9 | 0.8 | 0.9 | 1.0 | 0.8 | 0.7 | 1.2 | 0.9 | 1.2 |
| Mean monthly wave period (s) | 4.6 | 4.4 | 4.1 | 4.2 | 3.8 | 4.1 | 4.3 | 4.2 | 4.3 | 4.7 | 4.0 | 4.3 |
| Tests | Significant Wave Height/m | Peak Period/s | Incident Angle/(°) | Cd |
|---|---|---|---|---|
| 1 | 0.75 | 5 | 0 | 0.0025 |
| 2 | 1 | 5 | 0 | 0.0025 |
| 3 | 1.5 | 5 | 0 | 0.0025 |
| 4 | 2 | 5 | 0 | 0.0025 |
| 5 | 2.5 | 5 | 0 | 0.0025 |
| 6 | 0.75 | 10 | 0 | 0.0025 |
| 7 | 1 | 10 | 0 | 0.0025 |
| 8 | 1.5 | 10 | 0 | 0.0025 |
| 9 | 2 | 10 | 0 | 0.0025 |
| 10 | 2.5 | 10 | 0 | 0.0025 |
| 11 | 2 | 5 | 10 | 0.0025 |
| 12 | 2 | 5 | 20 | 0.0025 |
| 13 | 2 | 5 | 0 | 0.02 |
| 14 | 2 | 5 | 0 | 0.04 |
Disclaimer/Publisher’s Note: The statements, opinions and data contained in all publications are solely those of the individual author(s) and contributor(s) and not of MDPI and/or the editor(s). MDPI and/or the editor(s) disclaim responsibility for any injury to people or property resulting from any ideas, methods, instructions or products referred to in the content. |
© 2023 by the authors. Licensee MDPI, Basel, Switzerland. This article is an open access article distributed under the terms and conditions of the Creative Commons Attribution (CC BY) license (https://creativecommons.org/licenses/by/4.0/).
Share and Cite
Ji, X.; Xu, C.; Ren, Z.; Yan, S.; Wang, D.; Yu, Z. Study on the Formation Characteristics and Disaster Mitigation Mechanisms of Rip Currents on Arc-Shaped Beach. J. Mar. Sci. Eng. 2023, 11, 2381. https://doi.org/10.3390/jmse11122381
Ji X, Xu C, Ren Z, Yan S, Wang D, Yu Z. Study on the Formation Characteristics and Disaster Mitigation Mechanisms of Rip Currents on Arc-Shaped Beach. Journal of Marine Science and Engineering. 2023; 11(12):2381. https://doi.org/10.3390/jmse11122381
Chicago/Turabian StyleJi, Xinran, Chuanle Xu, Zhiyuan Ren, Sheng Yan, Daoru Wang, and Zongbing Yu. 2023. "Study on the Formation Characteristics and Disaster Mitigation Mechanisms of Rip Currents on Arc-Shaped Beach" Journal of Marine Science and Engineering 11, no. 12: 2381. https://doi.org/10.3390/jmse11122381
APA StyleJi, X., Xu, C., Ren, Z., Yan, S., Wang, D., & Yu, Z. (2023). Study on the Formation Characteristics and Disaster Mitigation Mechanisms of Rip Currents on Arc-Shaped Beach. Journal of Marine Science and Engineering, 11(12), 2381. https://doi.org/10.3390/jmse11122381

