Three-Dimensional Iterative Enhancement for Coverage Hole Recovery in Underwater Wireless Sensor Networks
Abstract
:1. Introduction
2. Proposed Coverage Enhancement Modeling
2.1. Coverage Description and Node Motion Model
2.2. Enhanced Coverage and Protocol Modeling
3. Numerical Evaluations and Experimental Analyses
3.1. Parameter Settings
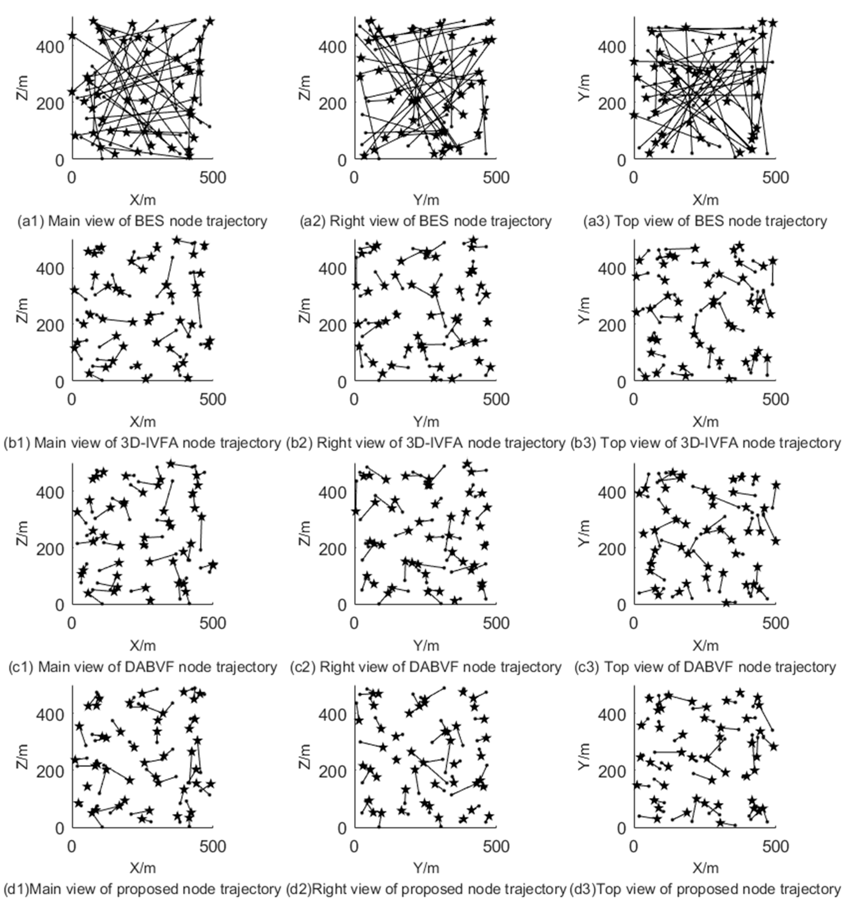
3.2. Simulation Results and Analysis
4. Conclusions
Author Contributions
Funding
Data Availability Statement
Conflicts of Interest
References
- Jiang, J.; Han, G.; Lin, C. A survey on opportunistic routing protocols in the Internet of Underwater Things. Comput. Netw. 2023, 225, 109658. [Google Scholar] [CrossRef]
- Razzaq, A.; Mohsan, S.A.H.; Li, Y.; Alsharif, M.H. Architectural Framework for Underwater IoT: Forecasting System for Analyzing Oceanographic Data and Observing the Environment. J. Mar. Sci. Eng. 2023, 11, 368. [Google Scholar] [CrossRef]
- Truong, V.T.; Ha, D.B.; So-In, C. On the System Performance of Mobile Edge Computing in an Uplink NOMA WSN with a Multiantenna Access Point over Nakagami-m Fading. IEEE/CAA J. Autom. Sin. 2022, 9, 668–685. [Google Scholar] [CrossRef]
- Zhang, S.; Chen, H.; Xie, L. ASVMR: Adaptive Support-Vector-Machine-Based Routing Protocol in the Underwater Acoustic Sensor Network for Smart Ocean. J. Mar. Sci. Eng. 2023, 11, 1736. [Google Scholar] [CrossRef]
- Hajjej, F.; Hamdi, M.; Ejbali, R.; Zaied, M. A distributed coverage hole recovery approach based on reinforcement learning for Wireless Sensor Networks. Ad Hoc Netw. 2020, 101, 102082. [Google Scholar] [CrossRef]
- Yao, Y.D.; Wen, Q.; Cui, Y.P.; Zhao, F.; Zhao, B.Z.; Zeng, Y.P. Coverage Enhancement Strategy in WMSNs Based on a Novel Swarm Intelligence Algorithm: Army Ant Search Optimizer. IEEE Sens. J. 2022, 22, 21299–21311. [Google Scholar] [CrossRef]
- Pundir, S.; Wazid, M.; Singh, D.P.; Das, A.K.; Rodrigues, J.J.; Park, Y. Intrusion detection protocols in wireless sensor networks integrated to Internet of Things deployment: Survey and future challenges. IEEE Access 2019, 8, 3343–3363. [Google Scholar] [CrossRef]
- Wen, Q.; Zhao, X.Q.; Cui, Y.P.; Zeng, Y.P.; Chang, H.; Fu, Y.J. Coverage enhancement algorithm for WSNs based on vampire bat and improved virtual force. IEEE Sens. J. 2022, 22, 8245–8256. [Google Scholar] [CrossRef]
- Habibiyan, R.; Sabbagh, A.G. Connectivity analysis of 2D underwater optical wireless sensor networks using a geometric approach. Ad Hoc Netw. 2022, 134, 102910. [Google Scholar] [CrossRef]
- So-In, C.; Nguyen, T.G.; Nguyen, N.G. An efficient coverage hole-healing algorithm for area-coverage improvements in mobile sensor networks. Peer—Peer Netw. Appl. 2019, 12, 541–552. [Google Scholar] [CrossRef]
- Zhang, Z.; Tian, S.; Yang, Y. Node Depth Adjustment Based Target Tracking in Sparse Underwater Sensor Networks. J. Mar. Sci. Eng. 2023, 11, 372. [Google Scholar] [CrossRef]
- Wang, Z.; Wang, B. A novel node sinking algorithm for 3D coverage and connectivity in underwater sensor networks. Ad Hoc Netw. 2017, 56, 43–55. [Google Scholar] [CrossRef]
- Zhang, J.; Han, G.; Sha, J.; Qian, Y.; Liu, J. AUV-assisted subsea exploration method in 6G enabled deep ocean based on a cooperative pac-men mechanism. IEEE Trans. Intell. Transp. Syst. 2021, 23, 1649–1660. [Google Scholar] [CrossRef]
- Wei, L.; Song, X.; Zheng, X.; Wu, X.; Gui, G. Boundary node identification in three dimensional wireless sensor networks for surface coverage. IEICE Trans. Inf. Syst. 2019, 102, 1126–1135. [Google Scholar] [CrossRef]
- Yao, Y.; Hu, S.; Li, Y.; Wen, Q. A node deployment optimization algorithm of WSNs based on improved moth flame search. IEEE Sens. J. 2022, 22, 10018–10030. [Google Scholar] [CrossRef]
- Zhao, X.Q.; Cui, Y.P.; Gao, C.Y.; Guo, Z.; Gao, Q. Energy-efficient coverage enhancement strategy for 3-D wireless sensor networks based on a vampire bat optimizer. IEEE Internet Things J. 2019, 7, 325–338. [Google Scholar] [CrossRef]
- Yi, J.; Qiao, G.; Yuan, F.; Tian, Y.; Wang, X. Sensor Deployment Strategies for Target Coverage Problems in Underwater Acoustic Sensor Networks. IEEE Commun. Lett. 2023, 27, 836–840. [Google Scholar] [CrossRef]
- Zhang, Y.; Wang, M.; Liang, J.; Zhang, H.; Chen, W.; Jiang, S. Coverage enhancing of 3D underwater sensor networks based on improved fruit fly optimization algorithm. Soft Comput. 2017, 21, 6019–6029. [Google Scholar] [CrossRef]
- Fattah, S.; Ahmedy, I.; Idris, M.Y.I.; Gani, A. Hybrid multi-objective node deployment for energy-coverage problem in mobile underwater wireless sensor networks. Int. J. Distrib. Sens. Netw. 2022, 18, 15501329221123533. [Google Scholar] [CrossRef]
- Kapileswar, N.; Phani Kumar, P. Energy efficient routing in IOT based UWSN using bald eagle search algorithm. Trans. Emerg. Telecommun. Technol. 2022, 33, e4399. [Google Scholar] [CrossRef]
- Jiang, P.; Wang, X.; Liu, J. A sensor redeployment algorithm based on virtual forces for underwater sensor networks. Chin. J. Electron. 2018, 27, 413–421. [Google Scholar] [CrossRef]
- Li, X.; Ci, L.; Yang, M.; Tian, C.; Li, X. Deploying three-dimensional mobile sensor networks based on virtual forces algorithm. In Proceedings of the Advances in Wireless Sensor Networks: 6th China Conference, CWSN 2012, Huangshan, China, 25–27 October 2012; Revised Selected Papers 6, 2013. pp. 204–216. [Google Scholar]
- Wang, W.; Huang, H.; He, F.; Xiao, F.; Jiang, X.; Sha, C. An enhanced virtual force algorithm for diverse k-coverage deployment of 3D underwater wireless sensor networks. Sensors 2019, 19, 3496. [Google Scholar] [CrossRef]
- Liu, C.; Zhao, Z.; Qu, W.; Qiu, T.; Sangaiah, A.K. A distributed node deployment algorithm for underwater wireless sensor networks based on virtual forces. J. Syst. Archit. 2019, 97, 9–19. [Google Scholar] [CrossRef]
- Jun, W.; Haoyang, G. Virtual force field coverage algorithms for wireless sensor networks in water environments. Int. J. Sens. Netw. 2020, 32, 174–181. [Google Scholar] [CrossRef]
- Hu, Y.; Sun, Y.; Chen, L. The VF-PSO optimization algorithm for coverage and deployment of underwater wireless sensor network. Indian J. Geo-Mar. Sci. (IJMS) 2022, 51, 219–228. [Google Scholar]
- Xie, P.; Cui, J.H.; Lao, L. VBF: Vector-based forwarding protocol for underwater sensor networks. In Proceedings of the NETWORKING 2006. Networking Technologies, Services, and Protocols; Performance of Computer and Communication Networks; Mobile and Wireless Communications Systems: 5th International IFIP-TC6 Networking Conference, Coimbra, Portugal, 15–19 May 2006; pp. 1216–1221. [Google Scholar]
- Nicolaou, N.; See, A.; Xie, P.; Cui, J.H.; Maggiorini, D. Improving the robustness of location-based routing for underwater sensor networks. In Proceedings of the Oceans 2007-Europe, Aberdeen, Scotland, 18–21 June 2007; pp. 1–6. [Google Scholar]
- Yan, H.; Shi, Z.J.; Cui, J.H. DBR: Depth-based routing for underwater sensor networks. In Proceedings of the NETWORKING 2008 Ad Hoc and Sensor Networks, Wireless Networks, Next Generation Internet: 7th International IFIP-TC6 Networking Conference, Singapore, 5–9 May 2008; pp. 72–86. [Google Scholar]
- Wahid, A.; Kim, D. An energy efficient localization-free routing protocol for underwater wireless sensor networks. Int. J. Distrib. Sens. Netw. 2012, 8, 307246. [Google Scholar] [CrossRef]
- Luo, C.; Wang, B.; Cao, Y.; Xin, G.; He, C.; Ma, L. A hybrid coverage control for enhancing UWSN localizability using IBSO-VFA. Ad Hoc Netw. 2021, 123, 102694. [Google Scholar] [CrossRef]
- Tsai, P.H.; Tsai, R.G.; Wang, S.S. Hybrid localization approach for underwater sensor networks. J. Sens. 2017, 2017, 5768651. [Google Scholar] [CrossRef]
- Caruso, A.; Paparella, F.; Vieira, L.F.M.; Erol, M.; Gerla, M. The meandering current mobility model and its impact on underwater mobile sensor networks. In Proceedings of the IEEE INFOCOM 2008—The 27th Conference on Computer Communications, Phoenix, Arizona, 13–18 April 2008; pp. 221–225. [Google Scholar]
- Luo, C.; Cao, Y.; Xin, G.; Wang, B.; Lu, E.; Wang, H. Three-dimensional coverage optimization of underwater nodes under multiconstraints combined with water flow. IEEE Internet Things J. 2021, 9, 2375–2389. [Google Scholar] [CrossRef]
- Singh, P.; Khosla, A.; Kumar, A.; Khosla, M. Optimized localization of target nodes using single mobile anchor node in wireless sensor network. AEU-Int. J. Electron. Commun. 2018, 91, 55–65. [Google Scholar] [CrossRef]
- Liu, H.; Zhang, X.W.; Tu, L.P. A modified particle swarm optimization using adaptive strategy. Expert Syst. Appl. 2020, 152, 113353. [Google Scholar] [CrossRef]
- Qi, X.; Li, Z.; Chen, C.; Liu, L. A wireless sensor node deployment scheme based on embedded virtual force resampling particle swarm optimization algorithm. Appl. Intell. 2022, 52, 7420–7441. [Google Scholar] [CrossRef]
- Luo, C.; Yang, X.; Wang, L.; Xin, G.; Ge, X.; Kong, F.; Wang, B. A node deployment-aided intelligent optimization estimation for WSNs positioning refinement. IEEE Trans. Instrum. Meas. 2023. [Google Scholar] [CrossRef]
- Zhang, X.; Liu, H.; Zhang, T.; Wang, Q.; Wang, Y.; Tu, L. Terminal crossover and steering-based particle swarm optimization algorithm with disturbance. Appl. Soft Comput. 2019, 85, 105841. [Google Scholar] [CrossRef]











| Surveyed Works | Proposed Method | Solved Problem | Advantages |
|---|---|---|---|
| So-In, C., 2019 [10] | CHHA | Coverage holes | Apply virtual force under Delaunay triangulation. |
| Yao, Y., 2022 [15] | VF-IMFO | Coverage holes | Analyze virtual force for node path optimization. |
| Zhao, X.Q., 2019 [16] | VBO | Energy consumption | Multi-energy optimization during redeployment. |
| Yi, J., 2023 [17] | IGS | Node coverage | Transform coverage problem into multiple local optimal. |
| Zhang, Y., 2017 [18] | UFOA | Node coverage | Optimal coverage under drosophila foraging behavior. |
| Jiang, P., 2018 [21] | VFRBEC | Node coverage | Correct node displacement underwater flow force. |
| Wang, W., 2019 [23] | k-ERVFA | k-coverage | An uneven coverage for k-coverage requirements. |
| Liu, C., 2019 [24] | DABVF | Node coverage | Node virtual force and fault judgment mechanism. |
| Hu, Y., 2022 [26] | VF-PSO | Node coverage | Optimize network coverage and distance threshold. |
Disclaimer/Publisher’s Note: The statements, opinions and data contained in all publications are solely those of the individual author(s) and contributor(s) and not of MDPI and/or the editor(s). MDPI and/or the editor(s) disclaim responsibility for any injury to people or property resulting from any ideas, methods, instructions or products referred to in the content. |
© 2023 by the authors. Licensee MDPI, Basel, Switzerland. This article is an open access article distributed under the terms and conditions of the Creative Commons Attribution (CC BY) license (https://creativecommons.org/licenses/by/4.0/).
Share and Cite
Zhang, L.; Luo, C.; Ge, X.; Cao, Y.; Zhang, H.; Xin, G. Three-Dimensional Iterative Enhancement for Coverage Hole Recovery in Underwater Wireless Sensor Networks. J. Mar. Sci. Eng. 2023, 11, 2365. https://doi.org/10.3390/jmse11122365
Zhang L, Luo C, Ge X, Cao Y, Zhang H, Xin G. Three-Dimensional Iterative Enhancement for Coverage Hole Recovery in Underwater Wireless Sensor Networks. Journal of Marine Science and Engineering. 2023; 11(12):2365. https://doi.org/10.3390/jmse11122365
Chicago/Turabian StyleZhang, Lingli, Chengming Luo, Xiyun Ge, Yuxin Cao, Haobo Zhang, and Gaifang Xin. 2023. "Three-Dimensional Iterative Enhancement for Coverage Hole Recovery in Underwater Wireless Sensor Networks" Journal of Marine Science and Engineering 11, no. 12: 2365. https://doi.org/10.3390/jmse11122365
APA StyleZhang, L., Luo, C., Ge, X., Cao, Y., Zhang, H., & Xin, G. (2023). Three-Dimensional Iterative Enhancement for Coverage Hole Recovery in Underwater Wireless Sensor Networks. Journal of Marine Science and Engineering, 11(12), 2365. https://doi.org/10.3390/jmse11122365

