Annular Electromagnetic Generator for Harvesting Ocean Wave Energy
Abstract
:1. Introduction
2. Structure Principle
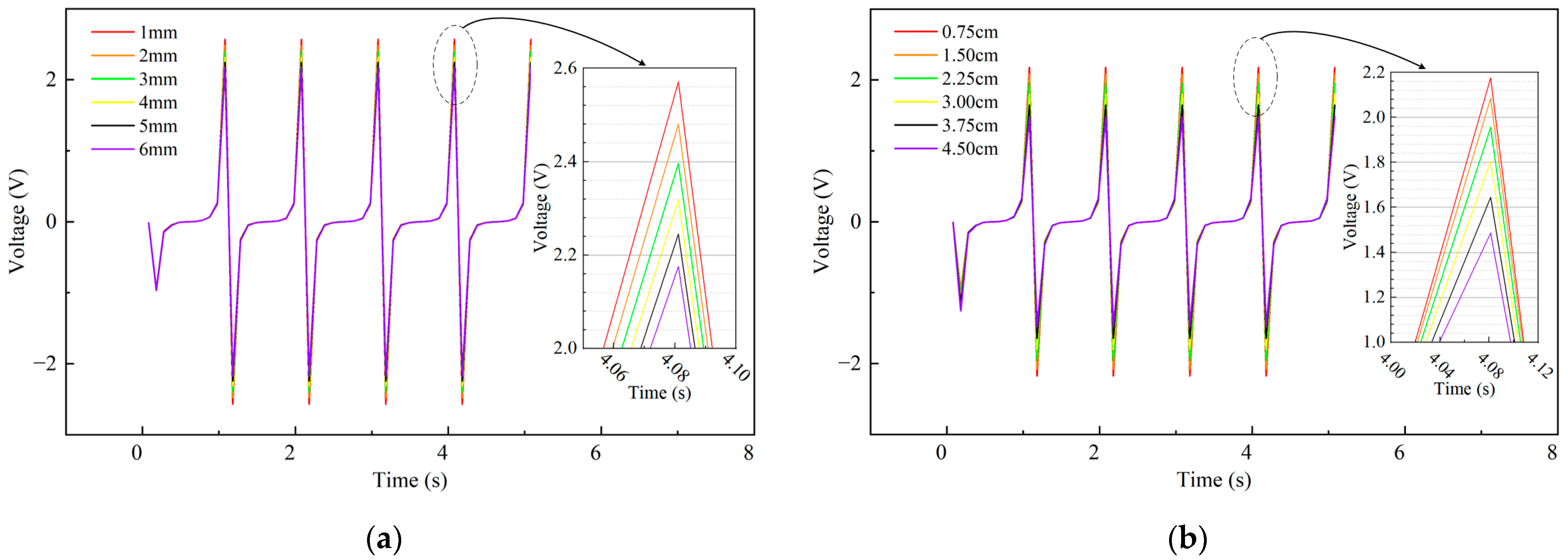
3. Principle Analysis and Parameter Effect Analysis Based on COMSOL
4. Experiment
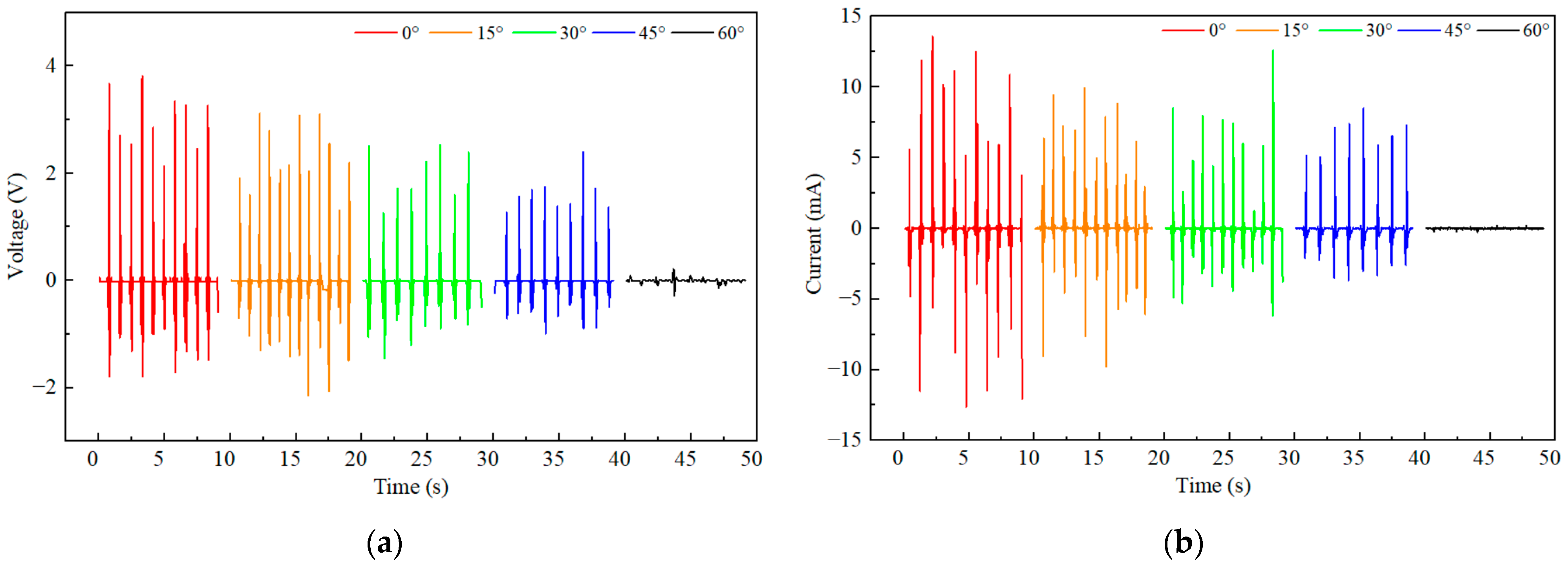
4.1. Motion Analysis of A-EMG under Wave Action
4.2. Experimental Platform Construction
4.3. Output Performance of the A-EMG
5. Conclusions
Author Contributions
Funding
Institutional Review Board Statement
Informed Consent Statement
Data Availability Statement
Conflicts of Interest
Abbreviations
| A-EMG | Annular electromagnetic generator |
| 6-DOF | Six-degree-of-freedom |
References
- Khan, F.A.; Pal, N.; Saeed, S.H. Review of solar photovoltaic and wind hybrid energy systems for sizing strategies optimization techniques and cost analysis methodologies. Renew. Sustain. Energy Rev. 2018, 92, 937–947. [Google Scholar] [CrossRef]
- Nagura, M. Annual Rossby waves below the pycnocline in the Indian Ocean. J. Geophys. Res. Ocean 2018, 123, 9405–9415. [Google Scholar] [CrossRef]
- Gemme, D.A.; Bastien, S.P.; Sepe, R.B.; Montgomery, J.; Grilli, S.T.; Grilli, A. Experimental testing and model validation for ocean wave energy harvesting buoys. In Proceedings of the 2013 IEEE Energy Conversion Congress and Exposition, Denver, CO, USA, 28 October 2013; pp. 337–343. [Google Scholar]
- Pirisi, A.; Grimaccia, F.; Mussetta, M.; Zich, R.E.; Johnstone, R.; Palaniswami, M.; Rajasegarar, S. Optimization of an energy harvesting buoy for coral reef monitoring. In Proceedings of the 2013 IEEE Congress on Evolutionary Computation, Cancun, Mexico, 20–23 June 2013; pp. 629–634. [Google Scholar]
- Zhang, Y.; Zhao, Y.; Sun, W.; Li, J. Ocean wave energy converters: Technical principle, device realization, and performance evaluation. Renew. Sustain. Energy Rev. 2021, 141, 110764. [Google Scholar] [CrossRef]
- Ahamed, R.; McKee, K.; Howard, I. Advancements of wave energy converters based on power take off (PTO) systems: A review. Ocean Eng. 2020, 204, 107248. [Google Scholar] [CrossRef]
- Hu, Y.; Yang, J.; Niu, S.; Wu, W.; Wang, Z.L. Hybridizing triboelectrification and electromagnetic induction effects for high-efficient mechanical energy harvesting. ACS Nano 2014, 8, 7442–7450. [Google Scholar] [CrossRef] [PubMed]
- Arnold, D.P. Review of Microscale Magnetic Power Generation. IEEE Trans. Magn. 2007, 43, 3940–3951. [Google Scholar] [CrossRef]
- Carneiro, P.; Soares Dos Santos, M.P.; Rodrigues, A.; Ferreira, J.A.; Simões, J.A.; Marques, A.T.; Kholkin, A.L. Electromagnetic energy harvesting using magnetic levitation architectures: A review. Appl. Energy 2020, 260, 114191. [Google Scholar] [CrossRef]
- Bowers, B.J.; Arnold, D.P. Spherical, rolling magnet generators for passive energy harvesting from human motion. J. Micromech. Microeng. 2009, 19, 94008. [Google Scholar] [CrossRef]
- Samad, F.A.; Karim, M.F.; Paulose, V.; Ong, L.C. A Curved Electromagnetic Energy Harvesting System for Wearable Electronics. IEEE Sens. J. 2016, 16, 1969–1974. [Google Scholar] [CrossRef]
- Tu, D.; Zhang, Y.; Zhu, L.; Fu, H.; Qin, Y.; Liu, M.; Ding, A. A bistable vibration energy harvester with spherical moving magnets: Theoretical modeling and experimental validation. Sens. Actuators A Phys. 2022, 345, 113782. [Google Scholar] [CrossRef]
- Graves, J.; Kuang, Y.; Zhu, M. Counterweight-pendulum energy harvester with reduced resonance frequency for unmanned surface vehicles. Sensors Actuators A Phys. 2021, 321, 112577. [Google Scholar] [CrossRef]
- Yerrapragada, K.; Ansari, M.H.; Karami, M.A. Enhancing power generation of floating wave power generators by utilization of nonlinear roll-pitch coupling. Smart Mater. Struct. 2017, 26, 94003. [Google Scholar] [CrossRef]
- Townsend, N.C. Self-powered autonomous underwater vehicles: Results from a gyroscopic energy scavenging prototype. IET Renew. Power Gener. 2016, 10, 1078–1086. [Google Scholar] [CrossRef]
- Townsend, N.C.S.R. Gyrostabilizer Vehicular Technology. Appl. Mech. Rev. 2011, 64, 10801. [Google Scholar] [CrossRef]
- Guo, Q.; Sun, M.; Liu, H.; Ma, X.; Chen, Z.; Chen, T.; Sun, L. Design and experiment of an electromagnetic ocean wave energy harvesting device. In Proceedings of the 2018 IEEE/ASME International Conference on Advanced Intelligent Mechatronics (AlM), Auckland, New Zealand, 9–12 July 2018; pp. 381–384. [Google Scholar]
- Ding, W.; Song, B.; Mao, Z.; Wang, K. Experimental investigations on a low frequency horizontal pendulum ocean kinetic energy harvester for underwater mooring platforms. J. Mar. Sci. Technol. 2016, 21, 359–367. [Google Scholar] [CrossRef]
- Lou, H.; Wang, T.; Zhu, S. Design, modeling and experiments of a novel biaxial-pendulum vibration energy harvester. Energy 2022, 254, 124431. [Google Scholar] [CrossRef]
- Wang, Y.; Lee, C. Dynamics and power generation of wave energy converters mimicking biaxial hula-hoop motion for mooring-less buoys. Energy 2019, 183, 547–560. [Google Scholar] [CrossRef]
- Carandell, M.; Toma, D.M.; Gasulla, M.; Rio, J.D. Experimental Validation of a Kinetic Energy Harvester Device for Oceanic Drifter Applications. In Proceedings of the IEEE OES/MTS OCEANS 2019-Marseille, Marseille, France, 17–20 June 2019; pp. 1–7. [Google Scholar]
- Pan, X.; Ling, P.; Bao, H.; He, W.; Li, Q.; Yan, B. Tumbler-inspired electromagnetic generator for low-frequency ocean wave energy harvesting. Energy Convers. Manag. 2023, 294, 117569. [Google Scholar] [CrossRef]
- Maharjan, P.; Toyabur, R.M.; Park, J.Y. A human locomotion inspired hybrid nanogenerator for wrist-wearable electronic device and sensor applications. Nano Energy 2018, 46, 383–395. [Google Scholar] [CrossRef]
- Gao, L.; Lu, S.; Xie, W.; Chen, X.; Wu, L.; Wang, T.; Wang, A.; Yue, C.; Tong, D.; Lei, W.; et al. A self-powered and self-functional tracking system based on triboelectric-electromagnetic hybridized blue energy harvesting module. Nano Energy 2020, 72, 104684. [Google Scholar] [CrossRef]
- He, J.; Fan, X.; Mu, J.; Wang, C.; Qian, J.; Li, X.; Hou, X.; Geng, W.; Wang, X.; Chou, X. 3D full-space triboelectric-electromagnetic hybrid nanogenerator for high-efficient mechanical energy harvesting in vibration system. Energy 2020, 194, 116871. [Google Scholar] [CrossRef]
- Hao, C.; He, J.; Zhai, C.; Jia, W.; Song, L.; Cho, J.; Chou, X.; Xue, C. Two-dimensional triboelectric-electromagnetic hybrid nanogenerator for wave energy harvesting. Nano Energy 2019, 58, 147–157. [Google Scholar] [CrossRef]
- Gao, S. Design and Implementation of a Piezoelectric and Magnetoelectric Vibration Energy Harvester. Master’s Thesis, Harbin Institute of Technology, Harbin, China, 2017. [Google Scholar]
- Wu, K. Research On Magnetic Spring Vertical Vibration Energy Harvesting Technology. Master’s Thesis, Xidian University, Xi’an, China, 2013. [Google Scholar]
- Vidal, J.V.; Rolo, P.; Carneiro, P.M.; Peres, I.; Kholkin, A.L.; dos Santos MP, S. Automated electromagnetic generator with self-adaptive structure by coil switching. Appl. Energy 2022, 325, 119802. [Google Scholar] [CrossRef]
- Zhang, Y. Design and Analysis of Multi Degree of Freedom Wave Energy Power Generation Device. Master’s Thesis, Shantou University, Shantou, China, 2021. [Google Scholar]
- Tao, Y. Design and Analysis of Multi-Degree-of-Freedom Wave Power Generation System. Master’s Thesis, Tianjin University, Tianjin, China, 2017. [Google Scholar]
- Chen, X.; Gao, L.; Chen, J.; Lu, S.; Zhou, H.; Wang, T.; Wang, A.; Zhang, Z.; Guo, S.; Mu, X.; et al. A chaotic pendulum triboelectric-electromagnetic hybridized nanogenerator for wave energy scavenging and self-powered wireless sensing system. Nano Energy 2020, 69, 104440. [Google Scholar] [CrossRef]
- Li, Y.; Ma, X.; Tang, T.; Zha, F.; Chen, Z.; Liu, H.; Sun, L. High-efficient built-in wave energy harvesting technology: From laboratory to open ocean test. Appl. Energy 2022, 322, 119498. [Google Scholar] [CrossRef]
- Gao, X. Triboelectric Nanogenerator for Harvesting Multidirectional Water Wave Energy. Master’s Thesis, Lanzhou University, Lanzhou, China, 2022. [Google Scholar]
- Shi, G.; Zeng, W.; Xia, Y.; Xu, J.; Jia, S.; Li, Q.; Wang, X.; Xia, H.; Ye, Y. A floating piezoelectric electromagnetic hybrid wave vibration energy harvester actuated by a rotating wobble ball. Energy 2023, 270, 126808. [Google Scholar] [CrossRef]
















| Item | Value |
|---|---|
| Outer diameter × inner diameter of annular shell | 140 mm × 70 mm |
| Magnetic ball diameter | 30 mm |
| Turns of coil | 1000 |
| Item | Value |
|---|---|
| Outer diameter × inner diameter of annular shell | 140 mm × 70 mm |
| Annular shell thickness | 1 mm |
| Magnetic ball (N35) diameter | 30 mm |
| Turns of coil | 1000 |
| Thickness × width of coil | 3 mm × 15 mm |
| Volume of A-EMG | 0.539 × 10−3 m3 |
| Ref. | Type | Frequency (Hz) | Output Power (mW) | Power Density (W/m3) |
|---|---|---|---|---|
| [32] | EMG + TENG | 2.5 | 1.25 | 9 |
| [35] | EMG + PZT | 1.8 | 21.95 | 3.914 |
| [22] | EMG | 2.6 | 65 | 43.5 |
| This work | EMG | 1.8 | 80.87 | 150.174 |
| Direction | Frequency (Hz) | Amplitude (mm) | Tilt (°) |
|---|---|---|---|
| X, β coupling | 1 | 50 | 3 |
| Z, β coupling | 1 | 50 | 3 |
| X, Y coupling | 1 | 50 | - |
Disclaimer/Publisher’s Note: The statements, opinions and data contained in all publications are solely those of the individual author(s) and contributor(s) and not of MDPI and/or the editor(s). MDPI and/or the editor(s) disclaim responsibility for any injury to people or property resulting from any ideas, methods, instructions or products referred to in the content. |
© 2023 by the authors. Licensee MDPI, Basel, Switzerland. This article is an open access article distributed under the terms and conditions of the Creative Commons Attribution (CC BY) license (https://creativecommons.org/licenses/by/4.0/).
Share and Cite
Wang, C.; Guo, L.; Chen, P.; Fu, Q.; Cui, L. Annular Electromagnetic Generator for Harvesting Ocean Wave Energy. J. Mar. Sci. Eng. 2023, 11, 2266. https://doi.org/10.3390/jmse11122266
Wang C, Guo L, Chen P, Fu Q, Cui L. Annular Electromagnetic Generator for Harvesting Ocean Wave Energy. Journal of Marine Science and Engineering. 2023; 11(12):2266. https://doi.org/10.3390/jmse11122266
Chicago/Turabian StyleWang, Chunjie, Linghao Guo, Peng Chen, Qiang Fu, and Lin Cui. 2023. "Annular Electromagnetic Generator for Harvesting Ocean Wave Energy" Journal of Marine Science and Engineering 11, no. 12: 2266. https://doi.org/10.3390/jmse11122266
APA StyleWang, C., Guo, L., Chen, P., Fu, Q., & Cui, L. (2023). Annular Electromagnetic Generator for Harvesting Ocean Wave Energy. Journal of Marine Science and Engineering, 11(12), 2266. https://doi.org/10.3390/jmse11122266
