Parametric Study of the Hydrodynamic Characteristics of the Pumpjet Propulsor for the SUBOFF Submarine
Abstract
:1. Introduction
2. Subject of the Study
2.1. Submarine
2.2. Pumpjet Propulsor
3. Numerical Simulation
3.1. Numerical Approach
3.2. Grid and Numerical Setup
4. Results and Discussion
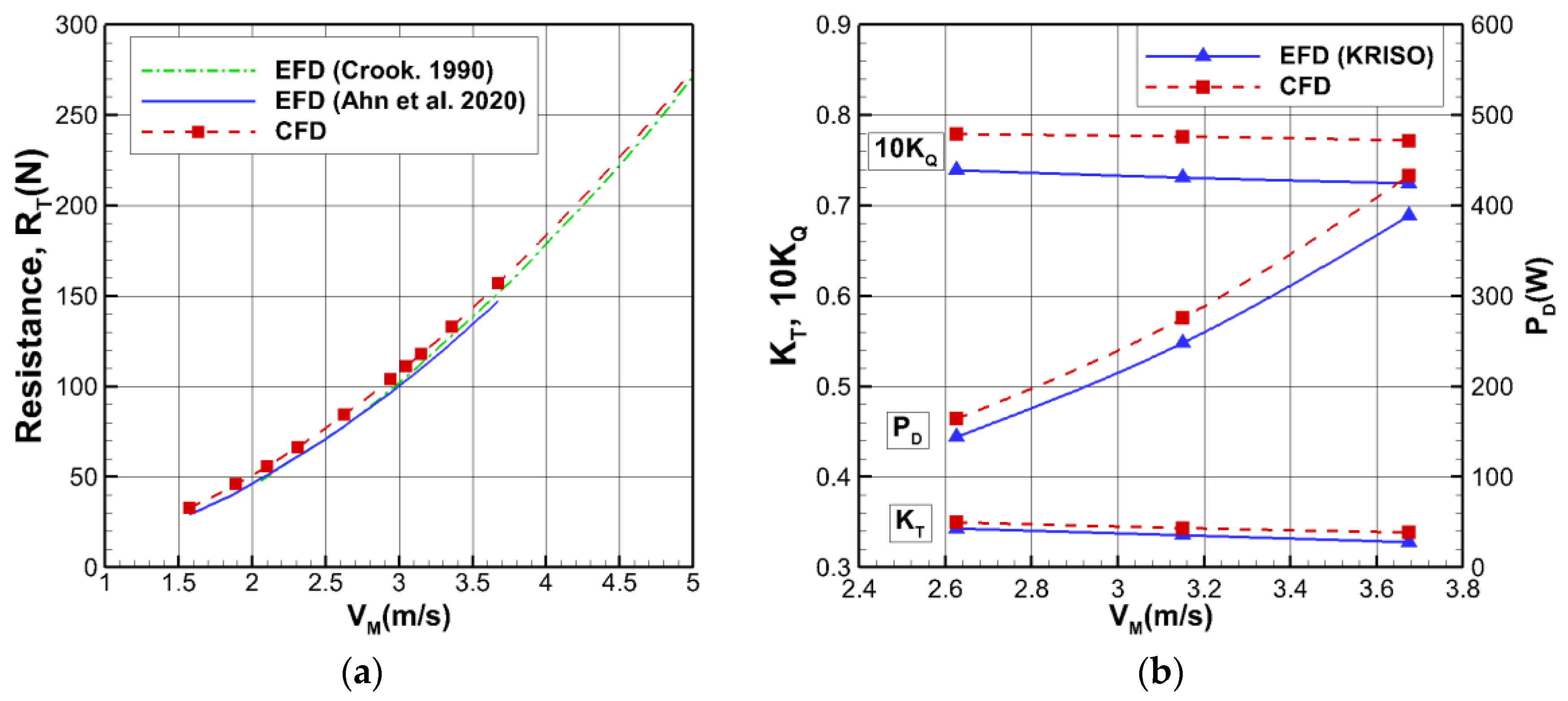
4.1. Grid Dependence and Validation Results
4.2. Propulsion Performance Results
4.3. Parametric Study Discussion
5. Conclusions
Author Contributions
Funding
Institutional Review Board Statement
Informed Consent Statement
Data Availability Statement
Conflicts of Interest
References
- Li, H.; Huang, Q.; Pan, G.; Dong, X. Wake instabilities of a pre-swirl stator pump-jet propulsor. Phys. Fluids 2021, 33, 085119. [Google Scholar] [CrossRef]
- Thurston, S.; Evanbar, M.S. Efficiency of a propulsor on a body of revolution-inducting boundary-layer fluid. J. Aircr. 1966, 3, 270–277. [Google Scholar] [CrossRef]
- McCormick, B.W.; Elsenhuth, J.J. Design and performance of propellers and pumpjets for underwater propulsion. AIAA J. 1963, 1, 2348–2354. [Google Scholar] [CrossRef]
- Henderson, R.E.; McMahon, J.F.; Wislicenus, G.F. A Method for the Design of Pumpjets; ORL Report 63-0209-c-7; Defense Technical Information Center: Fort Belvoir, VA, USA, 1964. [Google Scholar] [CrossRef]
- Bruce, E.P.; Gearhart, W.S.; Ross, J.R.; Treaster, A.L. The design of pumpjets for hydrodynamic propulsion. In Fluid Mechanics, Acoustics, and Design of Turbomachinery, Part 2; NASA: Washington, DC, USA, 1974. [Google Scholar]
- Furuya, O.; Chiang, W.L. A New Pumpjet Design Theory; DTIC Report No. AD-A201353; Honeywell Inc.: Hopkins, MN, USA, 1988. [Google Scholar]
- Wang, C.; Weng, K.; Guo, C.; Gu, L. Prediction of hydrodynamic performance of pump propeller considering the effect of tip vortex. Ocean. Eng. 2019, 171, 259–272. [Google Scholar] [CrossRef]
- Lu, L.; Pan, G.; Sahoo, P.K. CFD prediction and simulation of a PJP. Int. J. Nav. Archit. Ocean. Eng. 2016, 8, 110–116. [Google Scholar] [CrossRef]
- Suryanarayana, C.; Satyanarayana, B.; Ramji, K.; Saiju, A. Experimental evaluation of PJP for an axisymmetric body in wind tunnel. Int. J. Nav. Archit. Ocean. Eng. 2010, 2, 24–33. [Google Scholar] [CrossRef]
- Suryanarayana, C.; Satyanarayana, B.; Ramji, K.; Rao, M.N. Cavitation studies on the axisymmetric underwater body with PJP in cavitation tunnel. Int. J. Nav. Archit. Ocean. Eng. 2010, 2, 185–194. [Google Scholar] [CrossRef]
- Suryanarayana, C.; Satyanarayana, B.; Ramji, K. Performance evaluation of an underwater body and pumpjet by model testing in cavitation tunnel. Int. J. Nav. Archit. Ocean. Eng. Ocean Eng. 2010, 2, 57–67. [Google Scholar] [CrossRef]
- Qin, D.; Huang, Q.; Shi, Y.; Pan, G.; Shi, Y.; Dong, X. Comparison of hydrodynamic performance and wake vortices of two typical types of PJP. Ocean Eng. 2021, 224, 108700. [Google Scholar] [CrossRef]
- Li, H.; Huang, Q.; Pan, G. Investigation on the propulsion of a pump-jet propulsor in an effective wake. J. Fluids Eng. 2022, 144, 051205. [Google Scholar] [CrossRef]
- Li, H.; Pan, G.; Huang, Q. Transient analysis of the fluid flow on a pumpjet propulsor. Ocean Eng. 2019, 191, 106520. [Google Scholar] [CrossRef]
- Yu, H.; Zhang, Z.; Hua, H. Numerical investigation of tip clearance effects on propulsion performance and pressure fluctuation of a pump-jet propulsor. Ocean Eng. 2019, 192, 106500. [Google Scholar] [CrossRef]
- Lu, L.; Pan, G.; Wei, J.; Pan, Y. Numerical simulation of tip clearance impact on a pumpjet propulsor. Int. J. Nav. Archit. Ocean Eng. 2016, 8, 219–227. [Google Scholar] [CrossRef]
- Yu, H.; Duan, N.; Hua, H.; Zhang, Z. Propulsion performance and unsteady forces of a pump-jet propulsor with different pre-swirl stator parameters. Appl. Ocean Res. 2020, 100, 102184. [Google Scholar] [CrossRef]
- Wang, C.; Weng, K.; Guo, C.; Chang, X.; Gu, L. Analysis of influence of duct geometrical parameters on pump jet propulsor hydrodynamic performance. J. Mar. Sci. Technol. 2020, 25, 640–657. [Google Scholar] [CrossRef]
- Huang, Q.; Li, H.; Pan, G.; Dong, X. Effects of duct parameter on pump-jet propulsor unsteady hydrodynamic performance. Ocean Eng. 2021, 221, 108509. [Google Scholar] [CrossRef]
- Oosterveld, M.W.C. Wake Adapted Ducted Propellers; No. NSMB-345; NSMB: Wageningen, The Netherlands, 1970. [Google Scholar]
- Huyer, S.A.; Dropkin, A. Integrated motor/propulsor duct optimization for increased vehicle and propulsor performance. J. Fluids Eng. 2011, 133, 041102. [Google Scholar] [CrossRef]
- Bontempo, R.; Cardone, M.; Manna, M. Performance analysis of ducted marine propellers. Part I–Decelerating duct. Appl. Ocean Res. 2016, 58, 322–330. [Google Scholar] [CrossRef]
- Gaggero, S.; Villa, D.; Tani, G.; Viviani, M.; Bertetta, D. Design of ducted propeller nozzles through a RANSE-based optimization approach. Ocean Eng. 2017, 145, 444–463. [Google Scholar] [CrossRef]
- Lee, J.; Kim, M.; Suh, J.; Kim, S.; Choi, J. Development of propeller-pre-swirl stator for high propulsion efficiency: Symmetric pre-swirl stator system. Soc. Nav. Archit. Korea 1992, 29, 132–145. [Google Scholar]
- Huang, T.T.; Liu, H.L.; Groves, N.C. Experiments of the Darpa (Defense Advanced Research Projects Agency) Suboff Program; David Taylor Research Center, Ship Hydromechanics Department: Bethesda, MD, USA, 1989. [Google Scholar]
- Groves, N.C.; Huang, T.T.; Chang, M.S. Geometric Characteristics of DARPA (Defense Advanced Research Projects Agency) SUBOFF Models (DTRC Model Numbers 5470 and 5471); David Taylor Research Center, Ship Hydromechanics Department: Bethesda, MD, USA, 1989. [Google Scholar]
- Renilson, M. Submarine Hydrodynamics, 1st ed.; Springer: Launceston, Australia, 2015. [Google Scholar] [CrossRef]
- Speziale, C.G.; Sarkar, S.; Gatski, T.B. Modelling the pressure–strain correlation of turbulence: An invariant dynamical systems approach. J. Fluid Mech. 1991, 227, 245–272. [Google Scholar] [CrossRef]
- Manceau, R.; Hanjalić, K. Elliptic blending model: A new near-wall Reynolds-stress turbulence closure. Phys. Fluids 2002, 14, 744–754. [Google Scholar] [CrossRef]
- Lardeau, S.; Manceau, R. Computations of complex flow configurations using a modified elliptic-blending Reynolds-stress model. In Proceedings of the 10th International ERCOFTAC Symposium on Engineering Turbulence Modelling and Measurements, Marbella, Spain, 17–19 September 2014. [Google Scholar]
- Crook, B. Resistance for DARPA SUBOFF as Represented by Model 5470; David Taylor Research Center, Ship Hydromechanics Department: Bethesda, MD, USA, 1990. [Google Scholar]
- Ahn, J.; Sul, H.; Par, Y.; Kim, K. Study on resistance of submerged body and correction technique of wall effect in a large cavitation tunnel. Soc. Nav. Archit. Korea 2020, 57, 133–139. [Google Scholar] [CrossRef]















| Item | Specification |
|---|---|
| Fore-body Length | 1.016 m |
| Parallel Middle Body Length | 2.229 m |
| After-body Length | 1.111 m |
| Aft Perpendicular at x | 4.261 m |
| Total Body Length (LOA) | 4.356 m |
| Maximum Body Diameter | 0.508 m |
| Scale Ratio | 1:24 |
| Item | Specification |
|---|---|
| Rotor diameter | 0.21 m |
| Number of rotor blades | 7 |
| Number of stator blades | 11 |
| Tip clearance | 0.3% |
| Stator pitch angle | 15° |
| Duct camber | 4% |
| Duct incidence angle | 12° |
| Item | Parameter | Range |
|---|---|---|
| Duct | incidence angle (degrees, DIA) | 0, 3, 6, 9, 10.9, 12, 15, 20 |
| camber/chord (%, DC) | 0, 1.5, 2.4, 3.2, 4.0, 4.8, 5.6 | |
| Stator | pitch angle (degrees, SPA) | 0, 5, 10, 15, 20, 25, 30 |
| Region | Coarse Grid | Medium Grid | Fine Grid |
|---|---|---|---|
| Fluid domain | 11.7 M | 17.3 M | 31.5 M |
| Rotor domain | 1.0 M | 1.7 M | 2.5 M |
| Total domain | 12.7 M | 19.0 M | 34.0 M |
| Grid | V (m/s) | CFD Results | Diff. (%) (Compared with Fine Grid) | ||||
|---|---|---|---|---|---|---|---|
| RT (N) | KT | 10 KQ | RT (N) | KT | 10 KQ | ||
| Coarse | 2.63 | 83.95 | 0.3673 | 0.7927 | −0.55 | 0.90 | 1.30 |
| 3.15 | 117.25 | 0.3600 | 0.7886 | −0.55 | 0.71 | 1.14 | |
| 3.68 | 156.60 | 0.3550 | 0.7849 | −0.48 | 0.82 | 1.00 | |
| Medium | 2.63 | 84.48 | 0.3634 | 0.7839 | 0.07 | −0.17 | 0.16 |
| 3.15 | 117.92 | 0.3572 | 0.7809 | 0.02 | −0.08 | 0.15 | |
| 3.68 | 157.16 | 0.3521 | 0.7766 | −0.12 | 0.01 | -0.07 | |
| Fine | 2.63 | 84.42 | 0.3640 | 0.7826 | - | - | - |
| 3.15 | 117.90 | 0.3575 | 0.7797 | - | - | - | |
| 3.68 | 157.35 | 0.3521 | 0.7771 | - | - | - | |
| DIA | DC | SPA | |||||||||
|---|---|---|---|---|---|---|---|---|---|---|---|
| Values | Values | Values | |||||||||
| 0 | 0.844 | 1.350 | 0.984 | 0 | 0.776 | 0.672 | 1.081 | 0 | 0.696 | 0.754 | 1.239 |
| 3 | 0.804 | 1.145 | 1.040 | 1.5 | 0.733 | 0.701 | 1.136 | 5 | 0.683 | 0.754 | 1.239 |
| 6 | 0.755 | 0.985 | 1.101 | 2.4 | 0.709 | 0.719 | 1.172 | 10 | 0.675 | 0.754 | 1.239 |
| 9 | 0.709 | 0.858 | 1.167 | 3.2 | 0.689 | 0.736 | 1.205 | 15 | 0.670 | 0.754 | 1.239 |
| 10.9 | 0.683 | 0.790 | 1.212 | 4.0 | 0.670 | 0.754 | 1.239 | 20 | 0.667 | 0.754 | 1.239 |
| 12 | 0.670 | 0.754 | 1.239 | 4.8 | 0.651 | 0.773 | 1.277 | 25 | 0.668 | 0.754 | 1.239 |
| 15 | 0.637 | 0.668 | 1.317 | 5.6 | 0.635 | 0.792 | 1.315 | 30 | 0.674 | 0.754 | 1.239 |
| 20 | 0.609 | 0.554 | 1.459 | - | - | - | - | - | - | - | - |
Disclaimer/Publisher’s Note: The statements, opinions and data contained in all publications are solely those of the individual author(s) and contributor(s) and not of MDPI and/or the editor(s). MDPI and/or the editor(s) disclaim responsibility for any injury to people or property resulting from any ideas, methods, instructions or products referred to in the content. |
© 2023 by the authors. Licensee MDPI, Basel, Switzerland. This article is an open access article distributed under the terms and conditions of the Creative Commons Attribution (CC BY) license (https://creativecommons.org/licenses/by/4.0/).
Share and Cite
Kim, J.-W.; Kim, M.-C.; Park, I.-R.; Seol, H.; Kim, M.-J.; Jin, W.-S. Parametric Study of the Hydrodynamic Characteristics of the Pumpjet Propulsor for the SUBOFF Submarine. J. Mar. Sci. Eng. 2023, 11, 1926. https://doi.org/10.3390/jmse11101926
Kim J-W, Kim M-C, Park I-R, Seol H, Kim M-J, Jin W-S. Parametric Study of the Hydrodynamic Characteristics of the Pumpjet Propulsor for the SUBOFF Submarine. Journal of Marine Science and Engineering. 2023; 11(10):1926. https://doi.org/10.3390/jmse11101926
Chicago/Turabian StyleKim, Jin-Wook, Moon-Chan Kim, Il-Ryong Park, Hanshin Seol, Min-Jea Kim, and Woo-Seok Jin. 2023. "Parametric Study of the Hydrodynamic Characteristics of the Pumpjet Propulsor for the SUBOFF Submarine" Journal of Marine Science and Engineering 11, no. 10: 1926. https://doi.org/10.3390/jmse11101926
APA StyleKim, J.-W., Kim, M.-C., Park, I.-R., Seol, H., Kim, M.-J., & Jin, W.-S. (2023). Parametric Study of the Hydrodynamic Characteristics of the Pumpjet Propulsor for the SUBOFF Submarine. Journal of Marine Science and Engineering, 11(10), 1926. https://doi.org/10.3390/jmse11101926

