The Interannual Variations of Summer Ichthyoplankton in the Pearl River Estuary as a Response to Climate Change
Abstract
1. Introduction
2. Materials and Methods
2.1. Studying Area
2.2. Ichthyoplankton Sampling and Processing in the Lab
2.3. Data Analyses
3. Results
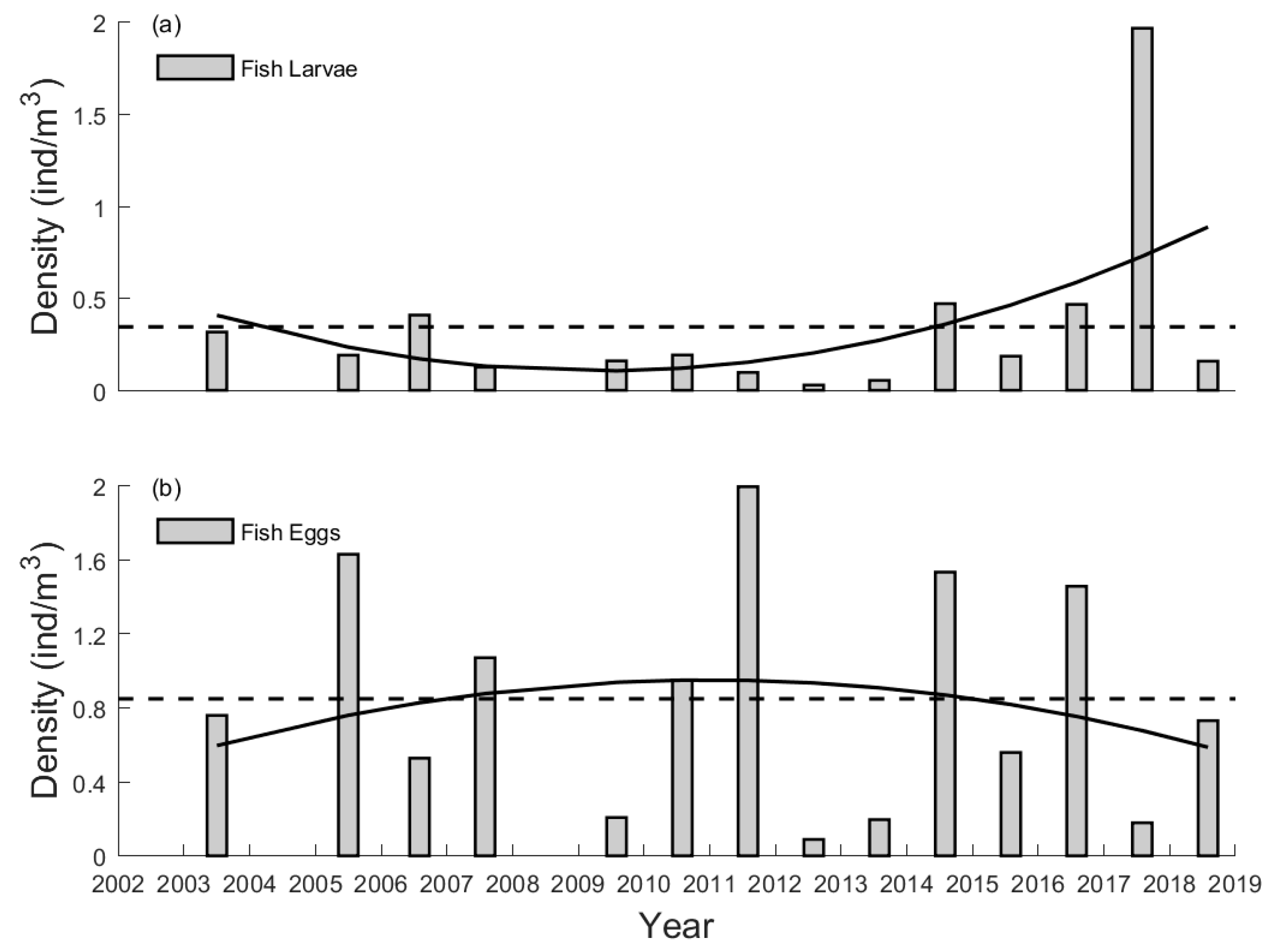
3.1. Abundance Dynamics
3.2. Composition, Dominant Taxa, and Community Structure
3.3. Taxonomic Diversity
3.4. Impacts of Climate Change on the Ichthyoplankton
3.4.1. Abundance
3.4.2. Composition and Taxonomic Diversity
3.4.3. Spatial Distribution
4. Discussion
4.1. Correlation of the Summer Ichthyoplankton Abundance with Climate Change
4.2. Temporal Changes in the Ichthyoplankton’s Composition and Diversity under the Influence of Climate
5. Conclusions
Supplementary Materials
Author Contributions
Funding
Informed Consent Statement
Data Availability Statement
Acknowledgments
Conflicts of Interest
References
- Sanvicente-Añorve, L.; Soto, L.A.; Espinosa-Fuentes, M.L.; Flores-Coto, C. Relationship patterns between ichthyoplankton and zooplankton: A conceptual model. Hydrobiologia 2006, 559, 11–22. [Google Scholar] [CrossRef]
- Faria, A.; Morais, P.; Chícharo, M.A. Ichthyoplankton dynamics in the Guadiana estuary and adjacent coastal area, South-East Portugal. Estuar. Coast. Shelf Sci. 2006, 70, 85–97. [Google Scholar] [CrossRef]
- Tolan, J.M. Larval fish assemblage response to freshwater inflows: A synthesis of five years of ichthyoplankton monitoring within Nueces Bay, Texas. Bull. Mar. Sci. 2008, 82, 275–296. [Google Scholar]
- Primo, A.L.; Azeiteiro, U.M.; Marques, S.C.; Pardal, M.Â. Impact of climate variability on ichthyoplankton communities: An example of a small temperate estuary. Estuar. Coast. Shelf Sci. 2011, 91, 484–491. [Google Scholar] [CrossRef]
- Zhang, H.; Xian, W.; Liu, S. Ichthyoplankton assemblage structure of springs in the Yangtze Estuary revealed by biological and environmental visions. PeerJ 2015, 3, e1186. [Google Scholar] [CrossRef] [PubMed]
- Ramos, S.; Cabral, H.; Elliott, M. Do fish larvae have advantages over adults and other components for assessing estuary ecological quality? Ecol. Indic. 2015, 55, 74–85. [Google Scholar] [CrossRef]
- Wu, G. The ecological characteristics of distribution of eggs, larvae and juveniles of the Engraulis Japonicus (Temminck & Schlegel) and Anchoviella Commersonii (LECÉPÈDE) in the Chang Jiang River estuary. Oceanol. Limnol. Sin. 1989, 20, 217–229. [Google Scholar]
- Xu, Z.; Yuan, Q.; Jiang, M.; Zang, Z. An investigation of fish eggs, larvae and juveniles in the Chang Jiang Estuary. J. Fish. Sci. China 1999, 6, 63–64. [Google Scholar]
- Light, P.R.; Able, K.W. Juvenile Atlantic menhaden (Brevoortia tyrannus) in Delaware Bay, USA are the result of local and long-distance recruitment. Estuar. Coast. Shelf Sci. 2003, 57, 1007–1014. [Google Scholar] [CrossRef]
- Strydom, N.A.; Sutherland, K.; Wooldridge, T.H. Diet and prey selection in late-stage larvae of five species of fish in a temperate estuarine nursery. Afr. J. Mar. Sci. 2014, 36, 85–98. [Google Scholar] [CrossRef]
- Xian, W.; Zhang, H.; Liu, S. Research Adavance in Estuarine Ichthyuoplankton Ecology. Stud. Mar. Sin. 2016, 51, 167–180. [Google Scholar]
- Zhang, H.; Xian, W.; Liu, S. Seasonal variations of the ichthyoplankton assemblage in the Yangtze Estuary and its relationship with environmental factors. PeerJ 2019, 7, e6482. [Google Scholar] [CrossRef]
- Butler, J.L.; Jacobson, L.D.; Barnes, J.T. Biology and population dynamics of cowcod (Sebastes levis) in the southern California Bight. Fish. Bull. 2003, 101, 260–280. [Google Scholar]
- Sullivan, B.K.; Keuren, D.V.; Clancy, M. Timing and size of blooms of the ctenophore Mnemiopsis leidyi in relation to temperature in Narragansett Bay, RI. Hydrobiologia 2001, 451, 113–120. [Google Scholar] [CrossRef]
- Marques, S.C.; Azeiteiro, U.M.; Marques, J.C.; Neto, J.M.; Pardal, M.A. Zooplankton and ichthyoplankton communities in a temperate estuary: Spatial and temporal patterns. J. Plankton Res. 2006, 28, 297–312. [Google Scholar] [CrossRef]
- Demirel, N. Ichthyoplankton dynamics in a highly urbanized estuary. Mar. Biol. Res. 2015, 11, 677–688. [Google Scholar] [CrossRef]
- Shuai, F.; Li, X.; Li, Y.; Li, J.; Yang, J.; Lek, S. Temporal patterns of larval fish occurrence in a large subtropical river. PLoS One 2016, 11, e0146441. [Google Scholar]
- Kingsford, M.J.; Suthers, I.M. Dynamic estuarine plumes and fronts: Importance to small fish and plankton in coastal waters of NSW, Australia. Cont. Shelf Res. 1994, 14, 655–672. [Google Scholar] [CrossRef]
- Barletta-Bergan, A.; Barletta, M.; Saint-Paul, U. Structure and seasonal dynamics of larval fish in the caeté river estuary in north brazil. Estuar. Coast. Shelf Sci. 2002, 54, 193–206. [Google Scholar] [CrossRef]
- Gao, M.; Wu, Z.; Tan, X.; Huang, L.; Rad, S. Ontogenetic structure and temporal patterns of summer ichthyoplankton in upper course of the Xijiang river, SW China. Water 2021, 13, 703. [Google Scholar] [CrossRef]
- Pattrick, P.; Strydom, N.A. Composition, abundance, distribution and seasonality of larval fishes in the shallow nearshore of the proposed Greater Addo Marine Reserve, Algoa Bay, South Africa. Estuar. Coast. Shelf Sci. 2008, 79, 251–262. [Google Scholar] [CrossRef]
- Strydom, N.A.; Coetzer, C.J.; Pattrick, P. The complex early life history of marine estuarine-opportunist fish species, Solea turbynei (Soleidae) from temperate South Africa. Sci. Mar. 2015, 79, 169–178. [Google Scholar] [CrossRef]
- Pfirrmann, B.W.; Matthew, E.K.; Marvin, M.M.; Brendan, D.T. Summer Ichthyoplankton Assemblage diversity within a southeastern United States Estuary. Estuaries Coasts 2021, 44, 253–268. [Google Scholar] [CrossRef]
- Esteves, E.; Pina, T.; Chícharo, M.A. The distribution of estuarine fish larvae: Nutritional condition and co-occurrence with predators and prey. Acta Oecologica 2000, 21, 161–173. [Google Scholar] [CrossRef]
- Young, G.C.; Potter, I.C. Do the characteristics of the ichthyoplankton in an artificial and a natural entrance channel of a large estuary differ? Estuar. Coast. Shelf Sci. 2003, 56, 765–779. [Google Scholar] [CrossRef]
- Campfield, P.A.; Houde, E.D. Ichthyoplankton community structure and comparative trophodynamics in an estuarine transition zone. Fish. Bull. 2011, 109, 1–19. [Google Scholar]
- Ferreira, S.A.; Stige, L.C.; Neuheimer, A.B.; Bogstad, B.; Durant, J.M. Match-mismatch dynamics in the Norwegian-Barents Sea system. Mar. Ecol. Prog. Ser. 2020, 650, 81–94. [Google Scholar] [CrossRef]
- Longmore, A.R.; Norman, L.; Strong, J. Oxygen concentrations, temperatures and salinities in the Gippsland Lakes, Victoria 1987–88, and survival of black bream Acanthopagrus butcherii. Environ. Prot. Auth. Sci. Rep. Ser. 1990, 89, 5–8. [Google Scholar]
- Caddy, J.F. Toward a comparative evaluation of human impacts on fishery ecosystems of enclosed and semi-enclosed seas. Rev. Fish. Sci. 1993, 1, 57–95. [Google Scholar] [CrossRef]
- Caddy, J.F. Marine catchment basin effects versus impacts of fisheries on semi-enclosed seas. ICES J. Mar. Sci. 2000, 57, 628–640. [Google Scholar] [CrossRef]
- Webster, I.T.; Parslow, J.S.; Grayson, R.B.; Molloy, R.P.; Andrewartha, J.; Sakov, P.; Tan, K.S.; Walker, S.J.; Wallace, B.B. Nutrient cycling and water quality in the lakes. In Gippsland Lakes Environmental Study: Assessing Options for Improving Water Quality and Ecological Function; CSIRO: Glen Osmond, SA, Australia, 2001; pp. 21–27. [Google Scholar] [CrossRef]
- Diaz, R.J. Overview of hypoxia around the world. J. Environ. Qual. 2001, 30, 275–281. [Google Scholar] [CrossRef] [PubMed]
- Breitburg, D. Effects of hypoxia, and the balance between hypoxia and enrichment, on coastal fishes and fisheries. Estuaries 2002, 25, 767–781. [Google Scholar] [CrossRef]
- Daskalov, G.M. Overfishing drives a trophic cascade in the Black Sea. Mar. Ecol. Prog. Ser. 2002, 225, 53–63. [Google Scholar] [CrossRef]
- Daskalov, G.M. Long-term changes in fish abundance and environmental indices in the Black Sea. Mar. Ecol. Prog. Ser. 2003, 255, 259–270. [Google Scholar] [CrossRef]
- Oguz, T. Long-term impacts of anthropogenic forcing on the Black Sea ecosystem. Oceanography 2005, 18, 112–121. [Google Scholar] [CrossRef]
- Nack, C.C.; Swaney, D.P.; Limburg, K.E. Historical and Projected Changes in Spawning Phenologies of American Shad and Striped Bass in the Hudson River Estuary. Mar. Coast. Fish. 2019, 11, 271–284. [Google Scholar] [CrossRef]
- Boeing, W.J.; Duffy-Anderson, J.T. Ichthyoplankton dynamics and biodiversity in the Gulf of Alaska: Responses to environmental change. Ecol. Indic. 2008, 8, 292–302. [Google Scholar] [CrossRef]
- Rabalais, N.N.; Turner, N.N.; Diaz, R.J.; Justic, D. Global change and eutrophication of coastal waters. ICES J. Mar. Sci. 2009, 66, 1528–1537. [Google Scholar] [CrossRef]
- Barton, B.A.; Morgan, J.D.; Vijayan, M.M. Biological indicators of aquatic ecosystem stress. In Physiological and condition-related indicators of environmental stress in fish; Adams, S.M., Ed.; American Fisheries Society: Bethesda, MD, USA, 2002; pp. 111–148. ISBN 1888569433. [Google Scholar]
- Coutant, C.C.; Benson, D.L. Summer habitat suitability for striped bass in Chesapeake Bay: Reflections on a population decline. Trans. Am. Fish. Soc. 1990, 119, 757–778. [Google Scholar] [CrossRef]
- Brandt, S.B.; Gerken, M.; Hartman, K.J.; Demers, E. Effects of hypoxia on food consumption and growth of juvenile striped bass (Morone saxatilis). J. Exp. Mar. Biol. Ecol. 2009, 381, 143–149. [Google Scholar] [CrossRef]
- Rose, K.A.; Adamack, A.T.; Murphy, C.A.; Sable, S.E.; Kolesar, S.E.; Craig, J.K.; Breitburg, D.L.; Thomas, P.; Brouwer, M.H.; Cerco, C.F. Does hypoxia have populationlevel effects on coastal fish? Musings from the virtual world. J. Exp. Mar. Biol. Ecol. 2009, 381, 188–203. [Google Scholar] [CrossRef]
- Campbell, L.A.; Rice, J.A. Effects of hypoxia-induced habitat compression on growth of juvenile fish in the Neuse River Estuary, North Carolina, USA. Mar. Ecol. Prog. Ser. 2014, 497, 199–213. [Google Scholar] [CrossRef]
- Kraus, R.T.; Secor, D.H. Application of the nurseryrole hypothesis to an estuarine fish. Mar. Ecol. Prog. Ser. 2005, 291, 301–305. [Google Scholar] [CrossRef]
- Roessig, J.M.; Woodley, C.M.; Cech, J.J.; Hansen, L.J. Effect of global climate change on marine and estuarine fishes and fisheries. Rev. Fish Biol. Fish. 2004, 14, 251–275. [Google Scholar] [CrossRef]
- Iles, T.D.; Sinclair, M. Atlantic herring: Stock discreteness and abundance. Science 1982, 215, 627–633. [Google Scholar] [CrossRef] [PubMed]
- Fortier, L.; Leggett, W.C. Small-scale covariability inthe abundance of fish larvae and their prey. Can. J. Fish. Aquat. Sci. 1984, 41, 502–512. [Google Scholar] [CrossRef]
- Cowen, R.K.; Lwiza, K.M.; Paris, C.B.; Olson, D.B. Connectivity of marine populations: Open or closed? Science 2000, 287, 857–859. [Google Scholar] [CrossRef]
- Soto, C.G. The potential impacts of global climate change on marine protected areas. Rev. Fish Biol. Fish. 2002, 11, 181–195. [Google Scholar] [CrossRef]
- Genner, M.J.; Sims, D.W.; Wearmouth, V.J.; Southhall, E.J.; Southward, A.J.; Henderson, P.A.; Hawkings, S.J. Regional climatic warming drives long-term community changes of British marine fish. Proc. R. Soc. London. Ser. B Biol. Sci. 2004, 271, 655–661. [Google Scholar] [CrossRef]
- Chevillot, X.; Drouineau, H.; Lambert, P.; Carassou, L.; Sautour, B.; Lobry, J. Toward a phenological mismatch in estuarine pelagic food web? PLoS One 2017, 12, e0173752. [Google Scholar] [CrossRef]
- Yu, J.; Zhao, M.; Chen, P.; Zhang, Y. Food habits of 8 species of economical fishes in the Pearl River estuary shallow waters. J. South. Agric. 2016, 47, 483–488. [Google Scholar]
- Xiao, Y.; Wang, R.; OU, Q.; Fang, H. Relationship between abundance distribution of fish eggs, larvae and juveniles and environmental factors in the Pearl River Estuary water in spring. J. Oceanogr. Taiwan Strait 2010, 29, 488–494. [Google Scholar]
- Xiao, Y.; Wang, R.; Zheng, Y.; He, W. Species composition and abundance distribution of ichthyoplankton in the Pearl River Estuary. J. Trop. Oceanogr. 2013, 32, 80–87. [Google Scholar]
- Yang, Z.; Kong, Y.; Liang, J. Fishery resources and economic benefits of fishermen in Lingding Bay of the Pearl River Estuary (in Chinese). Theor. Res. Urban Constr. 2012, 23, 1–9. [Google Scholar]
- Lai, Z.; Ma, R.; Gao, G.; Chen, C.; Beardsley, R.C. Impact of multichannel river network on the plume dynamics in the Pearl River estuary. J. Geophys. Res.-Ocean. 2015, 120, 5766–5789. [Google Scholar] [CrossRef]
- Zu, T.; Gan, J. A numerical study of coupled estuary–shelf circulation around the Pearl River Estuary during summer: Responses to variable winds, tides and river discharge. Deep Sea Res. Part II Top. Stud. Oceanogr. 2015, 117, 53–64. [Google Scholar] [CrossRef]
- Cheng, C.; Chan, J. Impacts of land use changes and synoptic forcing on the seasonal climate over the Pearl river delta of China. Atmos. Environ. 2012, 60, 25–36. [Google Scholar] [CrossRef]
- Okiyama, M. An Atlas of the Early Stage Fishes in Japan; Okiyama, M., Ed.; Scripps Institution of Oceanography: San Diego, CA, USA, 1989. [Google Scholar]
- Wan, J.; Zhang, R. Eggs and Larvae of Fish in Offshore China and Its Adjacent Waters; Quan, L., Huang, Q., Eds.; Shanghai Scientific & Technical Publishers: Shanghai, China, 2016. [Google Scholar]
- Pianka, E.R. Ecology of the Agamid lizard Amphibolurus isolepis in Western Australia. Copeia 1971, 527–536. [Google Scholar] [CrossRef]
- Ding, Y. The Temporal and Spatial Variation of Fish Recruitment Resources in Yangtze River Estuary. Master’s Thesis, The Institute of Oceanology, Chinese Academy of Sciences, Qingdao, China, 2011. [Google Scholar]
- Clare, E.P.; Thompson, R.A.; Sax, D.F.; Morse, R.E.; Perretti, C.J. Decadal regime shifts in southern California’s ichthyoplankton assemblage. Mar. Ecol. Prog. Ser. 2018, 607, 71–83. [Google Scholar]
- Yang, D.; Wu, G.; Sun, J. The investigation of pelagic eggs, larvae and juveniles of fishes at the mouth of the Changjiang River and adjacent areas. Oceanol. Limnol. Sin. 1990, 21, 346–355. [Google Scholar]
- Beamish, R.J. Climate and exceptional fish production off the West Coast of North America. Can. J. Fish. Aquat. Sci. 1993, 50, 2270–2291. [Google Scholar] [CrossRef]
- Stenseth, N.C.; Mysterud, A.; Ottersen, G.; Hurrell, J.W.; Chan, K.; Lima, M. Ecological effects of climate fluctuations. Science 2002, 297, 1292–1296. [Google Scholar] [CrossRef]
- Vilchis, L.I.; Balance, L.T.; Watson, W. Temporal variability of neustonic ichthyoplankton assemblages of the eastern Pacific warm pool: Can community structure be linked to climate variability? Deep. Sea Res. Part I Oceanogr. Res. Papers 2009, 56, 125–140. [Google Scholar] [CrossRef]
- Asch, R.G. Climate change and decadal shifts in the phenology of larval fishes in the California Current ecosystem. Proc. Natl. Acad. Sci. USA 2015, 112, 4065–4074. [Google Scholar] [CrossRef]
- Koslow, J.A.; Goericke, R.; Watson, W. Fish assemblages in the Southern California Current: Relationships with climate, 1951–2008. Fish. Oceanogr. 2013, 22, 207–219. [Google Scholar] [CrossRef]
- Maynou, F.; Sabatés, A.; Salat, J. Clues from the recent past to assess recruitment of Mediterranean small pelagic fishes under sea warming scenarios. Clim. Chang. 2014, 126, 175–188. [Google Scholar] [CrossRef]
- Suzuki, K.W.; Bouchard, C.; Robert, D.; Fortier, L. Spatiotemporal occurrence of summer ichthyoplankton in the southeast Beaufort Sea. Polar Biol. 2015, 38, 1379–1389. [Google Scholar] [CrossRef]
- Hsieh, H.; Lo, W.; Liao, C.; Meng, P. Shifts in the Assemblage of Summer Mesopelagic Fish Larvae in the Gaoping Waters of Southwestern Taiwan: A Comparison between El Niño Events and Regular Years. J. Mar. Sci. Eng. 2021, 9, 1065. [Google Scholar] [CrossRef]
- Guan, L.; Dower, J.F.; McKinnell, S.M.; Pepin, P.; Pakhomov, E.A.; Hunt, B.P. Interannual variability in the abundance and composition of spring larval fish assemblages in the Strait of Georgia (British Columbia, Canada) from 2007 to 2010. Fish. Oceanogr. 2016, 26, 638–654. [Google Scholar] [CrossRef]
- Attrill, M.J.; Power, M. Climatic influence on a marine fish assemblage. Nature 2002, 417, 275–278. [Google Scholar] [CrossRef]
- Auth, T.D.; Brodeur, R.D.; Soulen, H.L.; Ciannelli, L.; Peterson, W.T. The response of fish larvae to decadal changes in environmental forcing factors off the Oregon coast. Fish. Oceanogr. 2011, 20, 314–328. [Google Scholar] [CrossRef]
- Boening, C.; Willis, J.K.; Landerer, F.W.; Nerem, R.S.; Fasullo, J. The 2011 La Niña: So strong, the oceans fell. Geophys. Res. Lett. 2012, 39, 1–5. [Google Scholar] [CrossRef]
- Lui, H.K.; Chen, C.; Hou, W.P.; Liau, J.M.; Choi, Y.Y. Intrusion of kuroshio helps to diminish coastal hypoxia in the coast of northern south china sea. Front. Mar. Sci. 2020, 7, 565952. [Google Scholar] [CrossRef]
- Távora, J.; Ehf, B.; Lpb, B.; Pmso, B. El-Niño southern oscillation (enso) effects on the variability of patos lagoon suspended particulate matter. Sciencedirect. Reg. Stud. Mar. Sci. 2020, 40, 101495. [Google Scholar] [CrossRef]
- Dang, T.H. Impact of ENSO on water discharge and sediment load in lower Mekong River. J. Clim. Chang. Sci. 2019, 9, 62–67. [Google Scholar]
- Thompson, P.A.; Bonham, P.; Thomson, P.; Rochester, W.; Doblin, M.A.; Waite, A.M.; Richardson, A.; Rousseaux, C.S. Climate variability drives plankton community composition changes: The 2010–2011 El Niño to La Niña transition around Australia. J. Plankton Res. 2015, 37, 966–984. [Google Scholar] [CrossRef]
- Lin, Z.; Zhang, H.; Lin, H.; Gong, W. Intraseasonal and interannual variabilities of saltwater intrusion during dry seasons and the associated driving forcings in a partially mixed estuary. Cont. Shelf Res. 2019, 174, 95–107. [Google Scholar] [CrossRef]
- Sloterdijk, H.; Brehmer, P.; Sadio, O.; Müller, H.; Döring, J.; Ekau, W. Composition and structure of the larval fish community related to environmental parameters in a tropical estuary impacted by climate change. Estuar. Coast. Shelf Sci. 2017, 197, 10–26. [Google Scholar] [CrossRef]
- Guyah, N.; Webber, M.; Prospere, K. An assessment of the larval fish diversity within a coastal marine reserve Larval fish diversity within a marine reserve. Reg. Stud. Mar. Sci. 2021, 43, 101655. [Google Scholar]
- Santos, R.V.; Severi, W. Dynamics of early life-history stages of fish along an estuarine gradient. Fish. Oceanogr. 2019, 28, 402–418. [Google Scholar] [CrossRef]
- Zampatti, B.P.; Bice, C.M.; Jennings, P.R. Temporal variability in fish assemblage structure and recruitment in a freshwater-deprived estuary: The Coorong, Australia. Mar. Freshw. Res. 2010, 61, 1298–1312. [Google Scholar] [CrossRef]
- Smith, C.R.; Austen, M.C.; Boucher, C.; Heip, C.; Hutchings, P.A.; King, G.M.; Koike, I.; Lambshead, P.J.; Snelgrove, P. Global Change and Biodiversity Linkages across the Sediment–Water Interface. BioScience 2000, 50, 1108–1120. [Google Scholar] [CrossRef]
- Koehn, J.D.; Hobday, A.J.; Pratchett, M.S.; Gillanders, B.M. Climate change and Australian marine and freshwater environments, fishes and fisheries: Synthesis and options for adaptation. Mar. Freshw. Res. 2011, 62, 1148–1164. [Google Scholar] [CrossRef]
- Morson, J.M.; Grothues, T.; Able, K.W. Change in larval fish assemblage in a USA east coast estuary estimated from twenty-six years of fixed weekly sampling. PLoS One 2019, 14, e0224157. [Google Scholar] [CrossRef]
- Nyitrai, D.; Martinho, F.; Dolbeth, M.; Baptista, J.; Pardal, M.A. Trends in estuarine fish assemblages facing different environmental conditions: Combining diversity with functional attributes. Aquat Ecol. 2012, 46, 201–214. [Google Scholar] [CrossRef]
- Song, Y.; Zhang, L.; Luo, X. Spatiotemporal distribution of fish eggs and larvae in the Huanghe (Yellow) River estuary, China in 2005–2016. J. Oceanol. Limnol. 2019, 37, 1625–1637. [Google Scholar] [CrossRef]
- Chu, C.; Li, L.C.; Chong, V.C.; Ching, C.N.; Ooi, A.L.; Loh, K. Effect of coastal development on larval fish abundance in Klang Strait (Malaysia). Reg. Stud. Mar. Sci. 2021, 46, 101889. [Google Scholar] [CrossRef]
- Sheaves, M. Nature and consequences of biological connectivity in mangroves systems. Mar. Ecol. Prog. Ser. 2005, 302, 293–305. [Google Scholar] [CrossRef]
- Neuheimer, A.B.; Thresher, R.E.; Lyle, J.M.; Semmens, J.M. Tolerance limit for fish growth exceeded by warming waters. Nat. Clim. Chang. 2011, 1, 110–113. [Google Scholar] [CrossRef]
- Bignami, S.; Sponaugle, S.; Hauff, M.; Cowen, R.K. Combined effects of elevated pCO2, temperature, and starvation stress on larvae of a large tropical marine fish. ICES J. Mar. Sci. 2017, 74, 1220–1229. [Google Scholar] [CrossRef]
- Araújo, F.G.; Teixeira, T.P.; Guedes, A.P.; Azevedo, M.C.; Pessanha, A.L. Shifts in the abundance and distribution of shallow water fish fauna on the southeastern Brazilian coast: A response to climate change. Hydrobiologia 2018, 814, 205–218. [Google Scholar] [CrossRef]








| Month of the ONI Index to Lead | 1 | 2 | 3 | 4 | 5 | 6 | 7 | 8 | 9 | 10 | 11 | 12 | 13 | |
|---|---|---|---|---|---|---|---|---|---|---|---|---|---|---|
| Larvae | Correlation | 0.09 | 0.25 | 0.71 * | 0.59 * | 0.46 | 0.34 | 0.39 | 0.32 | 0.31 | 0.32 | 0.29 | 0.29 | 0.31 |
| Two-tailed test (p) | 0.77 | 0.41 | 0.02 | 0.03 | 0.12 | 0.26 | 0.19 | 0.29 | 0.30 | 0.28 | 0.33 | 0.34 | 0.31 | |
| Eggs | Correlation | −0.42 | −0.21 | 0.19 | 0.49 | 0.51 | 0.50 | 0.58 * | 0.59 * | 0.64 * | 0.65 * | 0.62 * | 0.59 * | 0.49 |
| Two-tailed test (p) | 0.20 | 0.54 | 0.58 | 0.13 | 0.11 | 0.12 | 0.04 | 0.03 | 0.02 | 0.02 | 0.02 | 0.04 | 0.13 | |
| August ONI | July ONI | June ONI | May ONI | April ONI | March ONI | |||
|---|---|---|---|---|---|---|---|---|
| Larvae | Margalef | correlation | −0.664 ** | −0.550 * | −0.371 | −0.168 | 0.253 | 0.349 |
| Two-tailed test (p) | 0.010 | 0.042 | 0.191 | 0.566 | 0.383 | 0.222 | ||
| Pielou | correlation | −0.340 | −0.356 | −0.303 | −0.272 | −0.007 | −0.018 | |
| Two-tailed test (p) | 0.235 | 0.212 | 0.293 | 0.348 | 0.982 | 0.952 | ||
| Shannon–Wiener | correlation | −0.703 ** | −0.694 ** | −0.588 * | −0.221 | 0.282 | 0.400 | |
| Two-tailed test (p) | 0.005 | 0.006 | 0.027 | 0.448 | 0.329 | 0.157 | ||
| Eggs | Margalef | correlation | −0.037 | 0.087 | 0.117 | −0.013 | −0.273 | −0.320 |
| Two-tailed test (p) | 0.899 | 0.768 | 0.690 | 0.964 | 0.345 | 0.265 | ||
| Pielou | correlation | −0.060 | 0.002 | −0.031 | −0.234 | −0.411 | −0.420 | |
| Two-tailed test (p) | 0.840 | 0.994 | 0.916 | 0.421 | 0.145 | 0.135 | ||
| Shannon–Wiener | correlation | −0.093 | −0.038 | −0.044 | −0.199 | −0.413 | −0.435 | |
| Two-tailed test (p) | 0.753 | 0.898 | 0.881 | 0.496 | 0.142 | 0.120 | ||
Disclaimer/Publisher’s Note: The statements, opinions and data contained in all publications are solely those of the individual author(s) and contributor(s) and not of MDPI and/or the editor(s). MDPI and/or the editor(s) disclaim responsibility for any injury to people or property resulting from any ideas, methods, instructions or products referred to in the content. |
© 2023 by the authors. Licensee MDPI, Basel, Switzerland. This article is an open access article distributed under the terms and conditions of the Creative Commons Attribution (CC BY) license (https://creativecommons.org/licenses/by/4.0/).
Share and Cite
Li, S.; He, J.; Lai, Z. The Interannual Variations of Summer Ichthyoplankton in the Pearl River Estuary as a Response to Climate Change. J. Mar. Sci. Eng. 2023, 11, 209. https://doi.org/10.3390/jmse11010209
Li S, He J, Lai Z. The Interannual Variations of Summer Ichthyoplankton in the Pearl River Estuary as a Response to Climate Change. Journal of Marine Science and Engineering. 2023; 11(1):209. https://doi.org/10.3390/jmse11010209
Chicago/Turabian StyleLi, Shuofu, Jianguo He, and Zhigang Lai. 2023. "The Interannual Variations of Summer Ichthyoplankton in the Pearl River Estuary as a Response to Climate Change" Journal of Marine Science and Engineering 11, no. 1: 209. https://doi.org/10.3390/jmse11010209
APA StyleLi, S., He, J., & Lai, Z. (2023). The Interannual Variations of Summer Ichthyoplankton in the Pearl River Estuary as a Response to Climate Change. Journal of Marine Science and Engineering, 11(1), 209. https://doi.org/10.3390/jmse11010209

