Numerical Modeling of Solitary Wave-Induced Flow and Scour around a Square Onshore Structure
Abstract
1. Introduction
2. Numerical Model Description
2.1. Hydrodynamic Model
2.2. Free Surface Model and Wave Generation
2.3. Sediment Transport and Morphological Models
3. Model Validation
3.1. Numerical Setup
3.2. Comparison with Experimental Results
4. Numerical Results and Discussion
4.1. Flow and Scour Processes
4.2. Wave Force on the Structure
4.3. Scour Depth Development
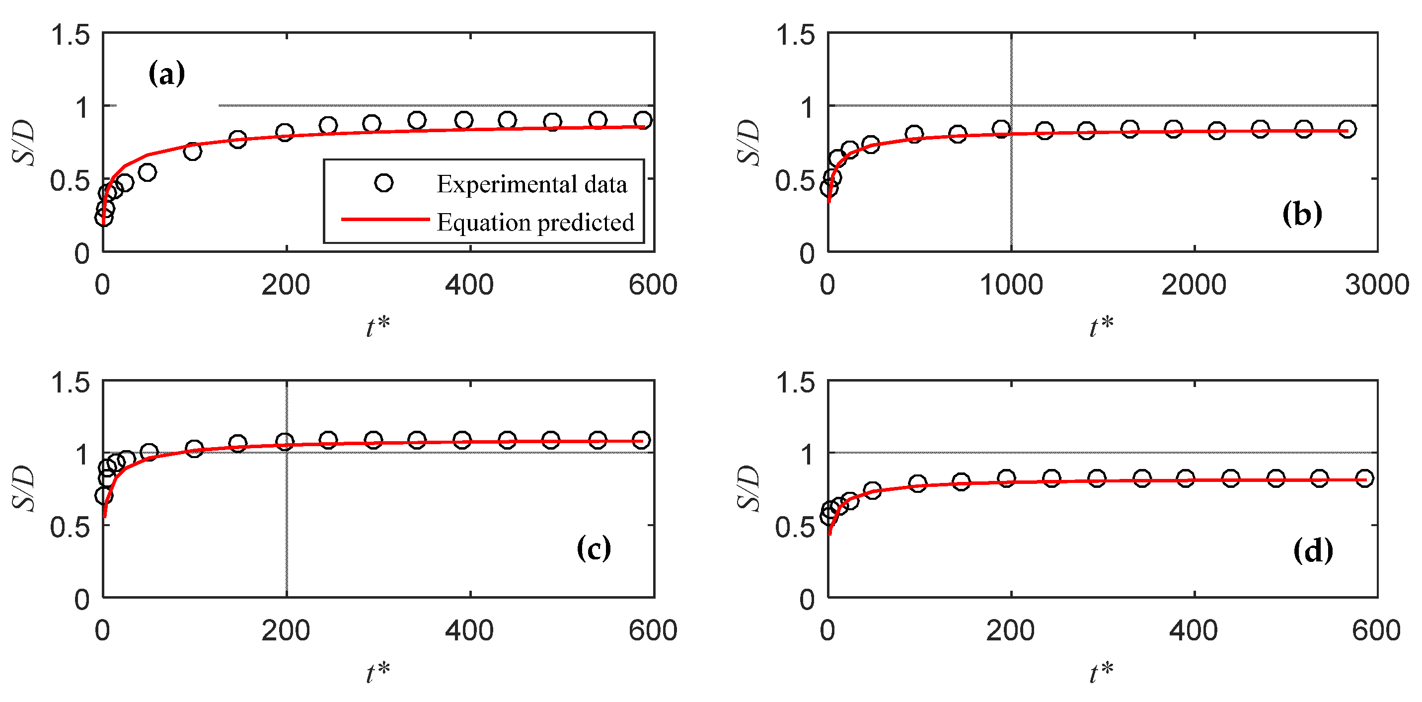
4.4. Comparison with Prediction Equation
5. Conclusions
- (1)
- The present CFD model can well reproduce the flow and scour characteristics around the structure, except for the scour depth development at the early stage. This is due to the limitations of RANS model as well as to the fact that the sediment transport model does not consider the effect of turbulence.
- (2)
- The scour starts at the front corner of the structure, which is also the position of the maximum scour depth. This is due to the enhancement of bed shear stress induced by the flow separation, and the scour area gradually extends to the front position of the structure.
- (3)
- Bed scour results in an increase in the wave force on the structure compared to the rigid-bed case without scour, which needs to be considered in the estimation of wave force, especially for the shallow-water scour scenario.
- (4)
- The scour depth develops rapidly at the early stage, with a high scour rate, and the scour process is almost completed in the first half of the wave period. A practical equation can be used to predict the temporal development of the scour depth.
Supplementary Materials
Author Contributions
Funding
Institutional Review Board Statement
Informed Consent Statement
Data Availability Statement
Acknowledgments
Conflicts of Interest
References
- Bricker, J.D.; Francis, M.; Nakayama, A. Scour depths near coastal structures due to the 2011 Tohoku tsunami. J. Hydraul. Res. 2012, 50, 637–641. [Google Scholar] [CrossRef]
- Chen, J.; Huang, Z.; Jiang, C.; Deng, B.; Long, Y. Tsunami-induced scour at coastal roadways: A laboratory study. Nat. Hazards 2013, 69, 655–674. [Google Scholar] [CrossRef]
- Chen, J.; Jiang, C.; Yang, W.; Xiao, G. Laboratory study on protection of tsunami-induced scour by offshore breakwaters. Nat. Hazards 2016, 81, 1229–1247. [Google Scholar] [CrossRef]
- Sumer, B.M.; Kirca, V.S.O. Scour and liquefaction issues for anchors and other subsea structures in floating offshore wind farms: A review. Water Sci. Eng. 2021, 15, 3–14. [Google Scholar] [CrossRef]
- Li, J.; Fuhrman, D.R.; Kong, X.; Xie, M.; Yang, Y. Three-dimensional numerical simulation of wave-induced scour around a pile on a sloping beach. Ocean. Eng. 2021, 233, 109174. [Google Scholar] [CrossRef]
- Sumer, B.M.; Sen, M.B.; Karagali, I.; Ceren, B.; Fredsøe, J.; Sottile, M. Flow and sediment transport induced by a plunging solitary wave. J. Geophys. Res. Ocean. 2011, 116, C01008. [Google Scholar] [CrossRef]
- McGovern, D.J.; Todd, D.; Robinson, T.; Whitehouse, R.J.S.; Monaghan, J.; Gomes, E. Experimental observations of tsunami induced scour at onshore structures. Coast. Eng. 2019, 152, 103505. [Google Scholar] [CrossRef]
- Mehrzad, R.; Nistor, I.; Rennie, C. Scour mechanics of a tsunami-like bore around a square structure. J. Waterw. Port Coast. Ocean. Eng. 2022, 148, 04021048. [Google Scholar] [CrossRef]
- Xu, J.; Sun, J.; Shi, J.; Li, G.; Wang, X.; Ding, D.; Wang, C.; Wu, L. Increased wave load on the Gudong seawall caused by seabed scour. Ocean. Eng. 2022, 250, 111005. [Google Scholar] [CrossRef]
- McGovern, D.J.; Robinson, T.; Chandler, I.D.; Allsop, W.; Rossetto, T. Pneumatic long-wave generation of tsunami-length waveforms and their runup. Coast. Eng. 2018, 138, 80–97. [Google Scholar] [CrossRef]
- Afzal, M.S.; Bihs, H.; Kamath, A.; Arntsen, Ø.A. Three-dimensional numerical modeling of pier scour under current and waves using level-set method. J. Offshore Mech. Arct. Eng. 2015, 137, 032001. [Google Scholar] [CrossRef]
- Baykal, C.; Sumer, B.M.; Fuhrman, D.R.; Jacobsen, N.G.; Fredosøe, J. Numerical simulation of scour and backfilling processes around a circular pile in waves. Coast. Eng. 2017, 122, 87–107. [Google Scholar] [CrossRef]
- Zhang, Q.; Zhou, X.; Wang, J. Numerical investigation of local scour around three adjacent piles with different arrangements under current. Ocean Eng. 2017, 142, 625–638. [Google Scholar] [CrossRef]
- Ahmad, N.; Bihs, H.; Myrhaug, D.; Kamath, A.; Arntsen, Ø.A. Three-dimensional numerical modelling of wave-induced scour around piles in a side-by-side arrangement. Coast. Eng. 2018, 138, 132–151. [Google Scholar] [CrossRef]
- Le Quéré, P.A.; Nistor, I.; Mohammadian, A. Numerical modeling of tsunami-induced scouring around a square column: Performance assessment of FLOW-3D and Delft3D. J. Coast. Res. 2020, 36, 1278–1291. [Google Scholar] [CrossRef]
- Bordbar, A.; Sharifi, S.; Hemida, H. Investigation of the flow behaviour and local scour around single square-shaped cylinders at different positions in live-bed. Ocean Eng. 2021, 238, 109772. [Google Scholar] [CrossRef]
- Gautam, S.; Dutta, D.; Bihs, H.; Afzal, M.S. Three-dimensional Computational Fluid Dynamics modelling of scour around a single pile due to combined action of the waves and current using Level-Set method. Coast. Eng. 2021, 170, 104002. [Google Scholar] [CrossRef]
- Hu, R.; Wang, X.; Liu, H.; Chen, D. Numerical study of local scour around tripod foundation in random waves. J. Mar. Sci. Eng. 2022, 10, 475. [Google Scholar] [CrossRef]
- Li, J.; Kong, X.; Yang, Y.; Deng, L.; Xiong, W. CFD investigations of tsunami-induced scour around bridge piers. Ocean Eng. 2022, 244, 110373. [Google Scholar] [CrossRef]
- Lu, Y.; Wang, Z.; Yin, Z.; Wu, G.; Liang, B. Experimental and numerical studies on local scour around closely spaced circular piles under the action of steady current. J. Mar. Sci. Eng. 2022, 10, 1569. [Google Scholar] [CrossRef]
- Xu, J.; Xia, J.; Wang, L.; Zhu, H.; Avital, E.J. Direct numerical simulation on local scour around the cylinder induced by internal solitary waves propagating over a slope. Ocean Eng. 2022, 247, 110525. [Google Scholar] [CrossRef]
- Lai, Y.G.; Liu, X.F.; Bombardelli, F.A.; Song, Y. Three-dimensional numerical modeling of local scour: A state-of-the-art review and perspective. J. Hydraul. Eng. 2022, 148, 0312202. [Google Scholar] [CrossRef]
- Zhao, M. A Review on recent development of numerical modelling of local scour around hydraulic and marine structures. J. Mar. Sci. Eng. 2022, 10, 1139. [Google Scholar] [CrossRef]
- Wilcox, D.C. Turbulence Modeling for CFD, 3rd ed.; DCW Industries, Inc.: La Canada, CA, USA, 2006. [Google Scholar]
- Song, Y.; Xu, Y.; Liu, X. Physically based sand slide method in scour models based on slope-limited diffusion. J. Hydraul. Eng. 2020, 146, 04020074. [Google Scholar] [CrossRef]
- Li, J.; Qi, M.; Fuhrman, D.R.; Chen, Q. Influence of turbulent horseshoe vortex and associated bed shear stress on sediment transport in front of a cylinder. Exp. Therm. Fluid Sci. 2018, 97, 444–457. [Google Scholar] [CrossRef]
- Larsen, B.E.; Fuhrman, D.R.; Baykal, C.; Sumer, B.M. Tsunami-induced scour around monopile foundations. Coast. Eng. 2017, 129, 36–49. [Google Scholar] [CrossRef]
- Pandey, M.; Sharma, P.K.; Ahmad, Z.; Singh, U.K. Evaluation of existing equations for temporal scour depth around circular bridge piers. Environ. Fluid Mech. 2017, 17, 981–995. [Google Scholar] [CrossRef]
- Link, O.; Garcia, M.; Pizarro, A.; Alcayaga, H.; Palma, S. Local scour and sediment deposition at bridge piers during floods. J. Hydraul. Eng. 2020, 146, 04020003. [Google Scholar] [CrossRef]















| h [m] | H [m] | T [s] | Um [m/s] | D [m] | d50 [mm] | KC [-] | Fr [-] |
|---|---|---|---|---|---|---|---|
| 1.00 | 0.11 | 25 | 0.67 | 0.20 | 0.16 | 83 | 0.47 |
| Test No. | D (m) | U0 (m/s) | h (m) | d50 (mm) | ReD | FrD | d50/D |
|---|---|---|---|---|---|---|---|
| 1 | 0.135 | 0.74 | 0.125 | 10.7 | 99,000 | 0.643 | 0.079 |
| 2 | 0.115 | 0.53 | 0.1 | 8.6 | 60,400 | 0.499 | 0.075 |
| 3 | 0.135 | 0.7 | 0.13 | 8.6 | 93,700 | 0.609 | 0.064 |
| 4 | 0.115 | 0.7 | 0.1 | 4.38 | 79,800 | 0.659 | 0.038 |
Disclaimer/Publisher’s Note: The statements, opinions and data contained in all publications are solely those of the individual author(s) and contributor(s) and not of MDPI and/or the editor(s). MDPI and/or the editor(s) disclaim responsibility for any injury to people or property resulting from any ideas, methods, instructions or products referred to in the content. |
© 2023 by the authors. Licensee MDPI, Basel, Switzerland. This article is an open access article distributed under the terms and conditions of the Creative Commons Attribution (CC BY) license (https://creativecommons.org/licenses/by/4.0/).
Share and Cite
Li, J.; Kong, X.; Yang, Y.; Hu, J.; Jin, R. Numerical Modeling of Solitary Wave-Induced Flow and Scour around a Square Onshore Structure. J. Mar. Sci. Eng. 2023, 11, 198. https://doi.org/10.3390/jmse11010198
Li J, Kong X, Yang Y, Hu J, Jin R. Numerical Modeling of Solitary Wave-Induced Flow and Scour around a Square Onshore Structure. Journal of Marine Science and Engineering. 2023; 11(1):198. https://doi.org/10.3390/jmse11010198
Chicago/Turabian StyleLi, Jinzhao, Xuan Kong, Yilin Yang, Jiexuan Hu, and Ruijia Jin. 2023. "Numerical Modeling of Solitary Wave-Induced Flow and Scour around a Square Onshore Structure" Journal of Marine Science and Engineering 11, no. 1: 198. https://doi.org/10.3390/jmse11010198
APA StyleLi, J., Kong, X., Yang, Y., Hu, J., & Jin, R. (2023). Numerical Modeling of Solitary Wave-Induced Flow and Scour around a Square Onshore Structure. Journal of Marine Science and Engineering, 11(1), 198. https://doi.org/10.3390/jmse11010198

