Dynamic Traction of Deep-Sea Polymetallic Nodule Collector
Abstract
1. Introduction
2. Classical Static Calculation Model of DPNC
3. Dynamic Traction Force of DPNC
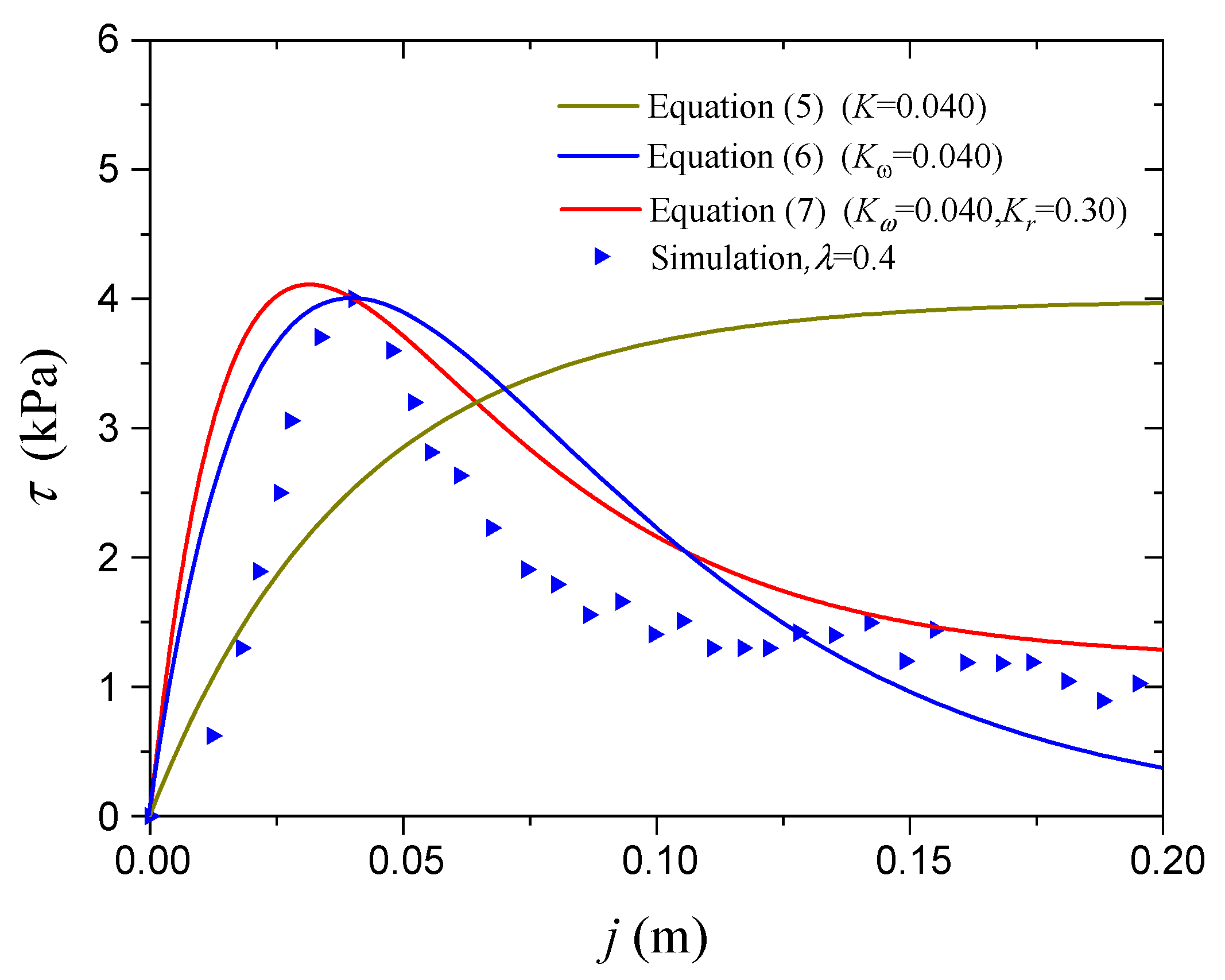
3.1. Construction of Dynamic Traction Model
- (1)
- The track plate is an inextensible rigid plate which is in horizontal contact with the soil;
- (2)
- The track grounding pressure is a uniform load;
- (3)
- The influence of the head and tail end of the track grousers on the traction force is ignored;
- (4)
- The top portion of the track in contact with the soil is completely free of soil carryover.
3.2. Direct Shear Test and DEM of Soil
3.2.1. Direct Shear Test and DEM Parameter Calibration
3.2.2. “Shear Stress–Displacement” Relationship
4. Case Analysis and Discussion
4.1. Case Analysis
4.2. Periodic and Fluctuant of Traction Force
4.3. Discussion on Shear Influence Range
5. Conclusions
Author Contributions
Funding
Institutional Review Board Statement
Informed Consent Statement
Data Availability Statement
Conflicts of Interest
References
- Watzel, R.; Rühlemann, C.; Vink, A. Mining Mineral Resources from the Seabed: Opportunities and Challenges. Mar. Policy 2020, 114, 103828. [Google Scholar] [CrossRef]
- Leng, D.; Shao, S.; Xie, Y.; Wang, H.; Liu, G. A Brief Review of Recent Progress on Deep Sea Mining Vehicle. Ocean Eng. 2021, 228, 108565. [Google Scholar] [CrossRef]
- Hongyun, W.; Jiangsan, H.; Xinming, C.; Yuqing, G.; Shaojun, L. Establishment of the Deep-Sea Soft Sediments Shearing Strength-Shearing Displacement Model. Mod. Appl. Sci. 2009, 4. [Google Scholar] [CrossRef]
- Wong, J.Y.; Garber, M.; Radforth, J.R.; Dowell, J.T. Characterization of the Mechanical Properties of Muskeg with Special Reference to Vehicle Mobility. J. Terramech. 1979, 16, 163–180. [Google Scholar] [CrossRef]
- Li, J.; Sun, S.; Peng, J.; University, H.A. Experimental Study on Effect of Structural Parameters of Track Shoe on Traction Force. Agric. Equip. Veh. Eng. 2017, 55, 15–18. [Google Scholar]
- Wang, M.; Wu, C.; Ge, T.; Gu, Z.M.; Sun, Y.H. Modeling, Calibration and Validation of Tractive Performance for Seafloor Tracked Trencher. J. Terramech. 2016, 66, 13–25. [Google Scholar] [CrossRef]
- Baek, S.-H.; Shin, G.-B.; Chung, C.-K. Experimental Study on the Soil Thrust of Underwater Tracked Vehicles Moving on the Clay Seafloor. Appl. Ocean Res. 2019, 86, 117–127. [Google Scholar] [CrossRef]
- Ma, W.; Rao, Q.; Feng, K.; Xu, F. Experimental Research on Grouser Traction of Deep-Sea Mining Machine. Appl. Math. Mech. 2015, 36, 1243–1252. [Google Scholar] [CrossRef]
- Schulte, E.; Schwarz, W. Simulation of Tracked Vehicle Performance on Deep Sea Soil Based on Soil Mechanical Laboratory Measurements in Bentonite Soil. In Proceedings of the ISOPE ocean mining (& gas hydrates) symposium, Chennai, India, 20–24 September 2009. [Google Scholar]
- Xu, Y.; Wu, H.; Zuo, L. Influence of Shoe Tooth Height of Tracked Vehicle on Traction Performance and Its Parameter Determination. Trans. Chin. Soc. Agric. Eng. 2012, 28, 68–74. [Google Scholar]
- Wang, J.Y.; Cao, W.G.; Zhai, Y.C. Experimental Study of Interaction between Deep-Sea Sediments and Tracks. Rock Soil Mech. 2011, 32, 274–278. [Google Scholar]
- Wong, J.Y. Chapter 5—Characterization of the Shearing Behaviour of Terrains. In Terramechanics and Off-Road Vehicle Engineering, 2nd ed.; Wong, J.Y., Ed.; Butterworth-Heinemann: Oxford, UK, 2010; pp. 115–128. ISBN 978-0-7506-8561-0. [Google Scholar]
- Jiang, M.; Dai, Y.; Cui, L.; Xi, B. Experimental and DEM Analyses on Wheel-Soil Interaction. J. Terramech. 2018, 76, 15–28. [Google Scholar] [CrossRef]
- Li, Z.; Rao, Q. Quantitative Determination of PFC3D Microscopic Parameters. J. Cent. South Univ. 2021, 28, 911–925. [Google Scholar] [CrossRef]
- Kong, L.; Chen, F.X.; Li, J. Meso-Direct-Shear Test of Sand Based on Digital Image Correlation Method and Its PFC Numerical Simulation. Yantu Lixue/Rock Soil Mech. 2013, 34, 2971–2978. [Google Scholar]
- Abi, E.; Zheng, Y.R.; Feng, X.T.; Cong, Y. Relationship between Particle Micro and Macro Mechanical Parameters of Parallel-Bond Model. Yantu Lixue/Rock Soil Mech. 2018, 39, 1289–1301. [Google Scholar]
- Reece, A.R. Introduction to Terrain Vehicle Systems: M. G. Bekker. Univ. of Michigan Press, Ann Arbor (1969). $27.50. J. Terramech. 1970, 7, 75–77. [Google Scholar] [CrossRef]
- Pacejka, H.B. Chapter 4—Semi-Empirical Tyre Models. In Tyre and Vehicle Dynamics, 2nd ed.; Pacejka, H.B., Ed.; Butterworth-Heinemann: Oxford, UK, 2006; pp. 156–215. ISBN 978-0-7506-6918-4. [Google Scholar]
- Tao, X.; Guo, W.; Li, X.; He, Q.; Liu, R.; Zou, J. Fitness Peak Clustering Based Dynamic Multi-Swarm Particle Swarm Optimization with Enhanced Learning Strategy. Expert Syst. Appl. 2022, 191, 116301. [Google Scholar] [CrossRef]
- Dai, Y.; Yin, W.; Ma, F. Nonlinear Multi-Body Dynamic Modeling and Coordinated Motion Control Simulation of Deep-Sea Mining System. IEEE Access 2019, 7, 86242–86251. [Google Scholar] [CrossRef]
















| Particle Parameter | Mesoscopic Parameter | Vertical Stress (kPa) | ||||
|---|---|---|---|---|---|---|
| 25 | 50 | 75 | 100 | |||
| Particle modulus (MPa) | 1 | Contact bond modulus (MPa) | 4 | 2 | 1 | 1 |
| Particle stiffness ratio | 1 | Contact bond ratio | 1 | 1 | 1 | 1 |
| Minimum radius (mm) | 0.1 | Contact bond normal strength (kPa) | 0.8 | 1 | 1 | 1 |
| Maximum radius (mm) | 0.4 | Contact bond shear strength (kPa) | 0.8 | 1 | 1 | 1 |
| Density (kg/m3) | 2650 | Friction coefficient | 0.04 | 0.03 | 0.03 | 0.03 |
| Object | Value | ||
|---|---|---|---|
| Kunlong 500 | Overall quality | M | 9.50 t |
| Drainage volume | Mw | 8.00 t | |
| Underwater quality | W = M − Mw | 1.50 t | |
| Track grounding length | L | 2.75 m | |
| Track gauge | 2b0 | 2.00 m | |
| Single track width | B | 0.75 m | |
| Grouser height | h | 0.13 m | |
| Grouser spacing | b | 0.21 m | |
| Total area of track grounding | A = 2LB | 4.13 m2 |
Disclaimer/Publisher’s Note: The statements, opinions and data contained in all publications are solely those of the individual author(s) and contributor(s) and not of MDPI and/or the editor(s). MDPI and/or the editor(s) disclaim responsibility for any injury to people or property resulting from any ideas, methods, instructions or products referred to in the content. |
© 2023 by the authors. Licensee MDPI, Basel, Switzerland. This article is an open access article distributed under the terms and conditions of the Creative Commons Attribution (CC BY) license (https://creativecommons.org/licenses/by/4.0/).
Share and Cite
Song, Y.; Yin, S.; Zhang, N.; Lu, F.; Cheng, Z. Dynamic Traction of Deep-Sea Polymetallic Nodule Collector. J. Mar. Sci. Eng. 2023, 11, 146. https://doi.org/10.3390/jmse11010146
Song Y, Yin S, Zhang N, Lu F, Cheng Z. Dynamic Traction of Deep-Sea Polymetallic Nodule Collector. Journal of Marine Science and Engineering. 2023; 11(1):146. https://doi.org/10.3390/jmse11010146
Chicago/Turabian StyleSong, Yuheng, Shiyang Yin, Ning Zhang, Fengnian Lu, and Zexuan Cheng. 2023. "Dynamic Traction of Deep-Sea Polymetallic Nodule Collector" Journal of Marine Science and Engineering 11, no. 1: 146. https://doi.org/10.3390/jmse11010146
APA StyleSong, Y., Yin, S., Zhang, N., Lu, F., & Cheng, Z. (2023). Dynamic Traction of Deep-Sea Polymetallic Nodule Collector. Journal of Marine Science and Engineering, 11(1), 146. https://doi.org/10.3390/jmse11010146

