Change over Time in the Mechanical Properties of Geosynthetics Used in Coastal Protection in the South-Eastern Baltic
Abstract
1. Introduction
2. Study Area

3. Materials and Methods
4. Results and Discussion
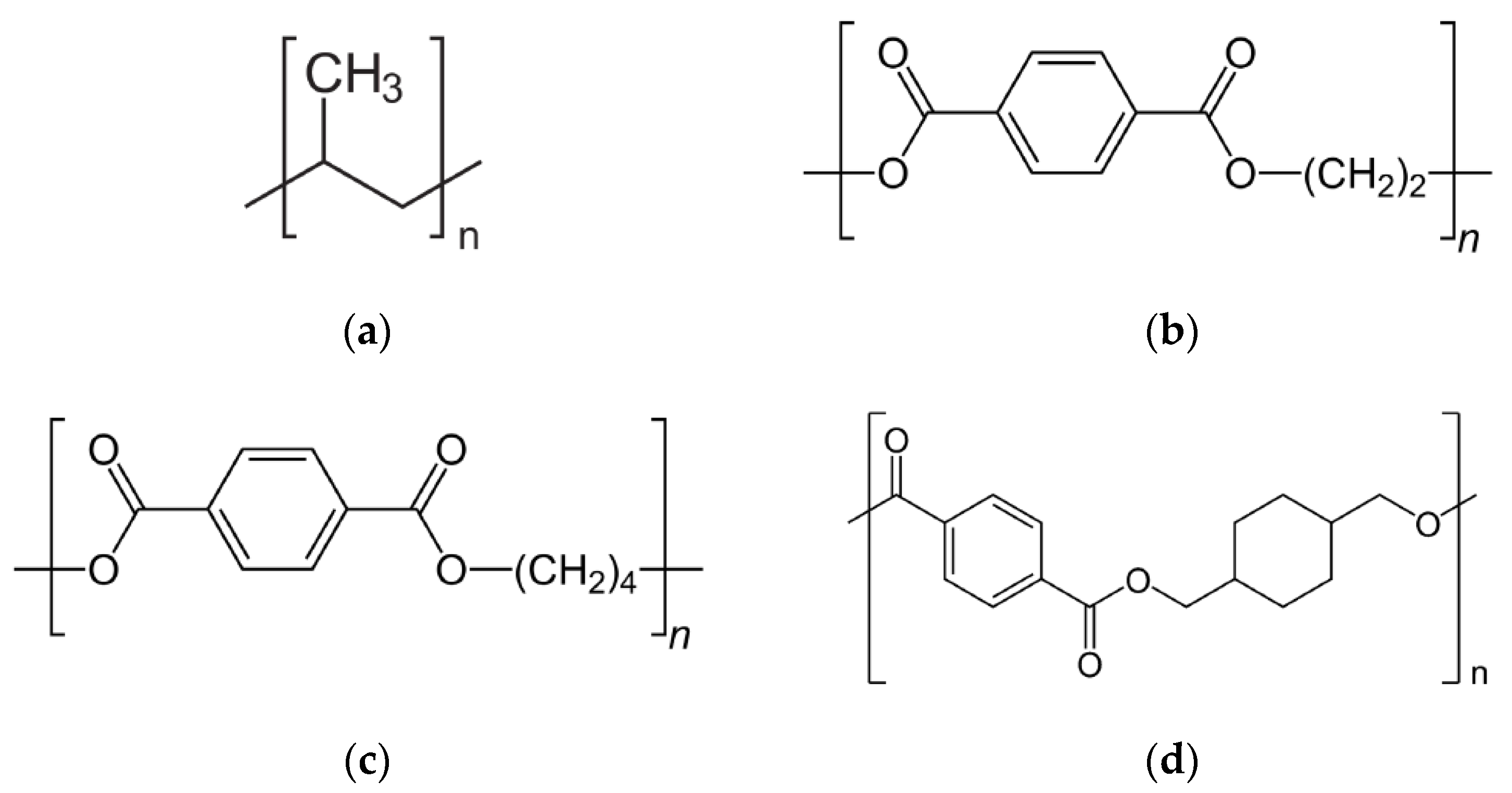
4.1. Types of Material
| Sample | Material, Probability of Match | Crystallinity | Strain at Break |
|---|---|---|---|
| Geotextile (Dornit ECO 300, virgin), Figure 8a | 74.1% PET | 29.3% | 42.2 ± 9.8% |
| Geotextile (Ryb01, aged Dornit), Figure 8b | 71.9% PET | 39.6% | 15.5 ± 0.8% |
| Geomat (virgin), Figure 8c | 98.0% PP | 35.3% | See Table 3 |
| Geomat (aged) | 98.0% PP | 39.1% | See Table 3 |
| Sample | Max. Load (N) | Number of Longitudinal Filaments (pcs.) | Avg. Max. Load Per Filament (N) | Maximum Deformation until Failure (mm) | Loss of Elasticity |
|---|---|---|---|---|---|
| Reference sample | 18 ± 0.5 | 6 | 3.0 ± 0.5 | 29 ± 0.5 | 0% (reference) |
| P7D_Shd-Grass, in the shade, covered with grass | 30 ± 0.5 | 9 | 3.3 ± 0.5 | 8 ± 0.5 | 72% |
| P7D_Shd, in the shade | 16 ± 0.5 | 10 | 1.6 ± 0.5 | 9 ± 0.5 | 69% |
| P8D_Sun, in the sun | 26 ± 0.5 | 9 | 2.9 ± 0.5 | 16 ± 0.5 | 45% |
| P10D_Slid, under the soil landslide layer | 18 ± 0.5 | 6 | 3.0 ± 0.5 | 11 ± 0.5 | 62% |
4.2. Strain at Break Analyses
5. Conclusive Remarks
Author Contributions
Funding
Conflicts of Interest
| 1 | According to the server http://www.pogodaiklimat.ru/. |
| 2 | According to the server http://www.pogodaiklimat.ru/. |
References
- Pruszak, Z.; Ostrowski, R.; Skaja, M.; Szmytkiewicz, M. Wave climate and large-scale coastal processes in terms of boundary conditions. Coast. Eng. J. 2000, 42, 31–56. [Google Scholar] [CrossRef]
- Karmanov, K.; Burnashov, E.; Chubarenko, B. Contemporary Dynamics of the Sea Shore of Kaliningrad Oblast. Arch. Hydro-Eng. Environ. Mech. 2018, 65, 143–159. [Google Scholar] [CrossRef]
- Navrotskaya, S.E.; Chubarenko, B.V. Trends in the variations of the sea level in the lagoons of the Southeastern Baltic. Oceanology 2013, 53, 13–23. [Google Scholar] [CrossRef]
- Christensen, O.B.; Kjellström, E.; Dieterich, C.; Gröger, M.; Meier, H.E.M. Atmospheric regional climate projections for the Baltic Sea Region until 2100. Earth Syst. Dynam. 2022, 13, 613–631. [Google Scholar] [CrossRef]
- Meier, H.E.M.; Kniebusch, M.; Dieterich, C.; Gröger, M.; Zorita, E.; Elmgren, R.; Myrberg, K.; Ahola, M.; Bartosova, A.; Bonsdorff, E.; et al. Climate change in the Baltic Sea region: A summary. Earth Syst. Dyn. 2022, 13, 457–593. [Google Scholar] [CrossRef]
- Ostrowski, R.; Pruszak, Z.; Schönhofer, J.; Szmytkiewicz, M. Groins and submerged breakwaters—New modeling and empirical experience. Oceanol. Hydrobiol. Stud. 2016, 45, 20–34. [Google Scholar] [CrossRef]
- Hojan, M.; Rurek, M.; Krupa, A. The Impact of Sea Shore Protection on Aeolian Processes Using the Example of the Beach in Rowy, N Poland. Geosciences 2019, 9, 179. [Google Scholar] [CrossRef]
- Lim, A.L.K.; Siew, K.H. Geotextile Tube for Coastal Protection and Land Reclamation. In Scour- and Erosion-Related Issues; Lecture Notes in Civil Engineering 177; Reddy, C.N.S., Sassa, S., Eds.; Springer: Singapore, 2022. [Google Scholar] [CrossRef]
- Elias, T.; Shirlal, K.G. Coastal Protection Using Geosynthetic Containment Systems—An Indian Timeline. In Proceedings of the Fifth International Conference in Ocean Engineering (ICOE2019) 38; Springer: Singapore, 2021. [Google Scholar] [CrossRef]
- Corbella, S.; Stretch, D.D. Geotextile sand filled containers as coastal defence: South African experience. Geotext. Geomembr. 2012, 35, 120–130. [Google Scholar] [CrossRef]
- Oyegbile, B.O.; Oyegbile, B.A. Applications of geosynthetic membranes in soil stabilization and coastal defence structures. Int. J. Sustain. Built Environ. 2017, 6, 636–662. [Google Scholar] [CrossRef]
- Saathoff, F.; Oumeraci, H.; Restall, S. Australian and German experiences on the use of geotextile containers. Geotext. Geomembr. 2007, 25, 251–263. [Google Scholar] [CrossRef]
- Uno, Y.; Goda, Y.; Ono, N. Suspended-sediment-based beach morphology model applied to submerged groin system. Coast. Eng. Proc. 2011, 1, 35. [Google Scholar] [CrossRef]
- Wu, H.; Yao, C.; Li, C.; Miao, M.; Zhong, Y.; Lu, Y.; Liu, T. Review of Application and Innovation of Geotextiles in Geotechnical Engineering (Review). Materials 2020, 13, 1774. [Google Scholar] [CrossRef]
- Carneiro, J.R.; Morais, M.; Lopes, M.D.L. Degradation of polypropylene geotextiles with different chemical stabilisations in marine environments. Constr. Build Mater. 2018, 165, 877–886. [Google Scholar] [CrossRef]
- Esiukova, E.; Chubarenko, B.; Simon, F.G. Debris of geosynthetic materials on the shore of South-Eastern Baltic (Kaliningrad Oblast, Russian Federation). In Proceedings of the 7th IEEE/OES Baltic Symposium “Clean and Safe Baltic Sea and Energy Security for the Baltic Countries”, Klaipėda, Lithuania, 12–15 June 2018; pp. 1–6. [Google Scholar] [CrossRef]
- Flourizel, I.; Opeoluwa, A.G.; Gideon, I.E. A review on the effects of plastic debris on aquatic life (fish and wildlife) in aquatic ecosystems. Int. J. Environ. Pollut. Res. 2021, 9, 51–60. [Google Scholar] [CrossRef]
- Hsieh, C.; Chiu, Y.F.; Wang, J.B. Weathering properties of geotextiles in ocean environments. Geosynth. Int. 2006, 13, 210–217. [Google Scholar] [CrossRef]
- Jankauskas, B.; Jankauskiene, G.; Fullen, M.A. A field experiment on the use of biogeotextiles for the conservation of sand-dunes of the Baltic coast in Lithuania. Hung. Geogr. Bull. 2012, 61, 3–17. [Google Scholar]
- Scholz, P.; Putna-Nimane, I.; Barda, I.; Liepina-Leimane, I.; Strode, E.; Kileso, A.; Esiukova, E.; Chubarenko, B.; Purina, I.; Simon, F.G. Environmental Impact of Geosynthetics in Coastal Protection. Materials 2021, 14, 634. [Google Scholar] [CrossRef]
- Domnin, D.; Burnashov, E. Geographical information dataset “Geosynthetics in coastal protection of the South-East Baltic”. Data Brief 2021, 40, 107693. [Google Scholar] [CrossRef]
- Łabuz, T.A. Environmental Impacts—Coastal Erosion and Coastline Changes. In Second Assessment of Climate Change for the Baltic Sea Basin. Regional Climate Studies; The BACC II Author Team, Ed.; Springer: Cham, Switzerland, 2015. [Google Scholar] [CrossRef]
- Chubarenko, I.; Efimova, I.; Bagaeva, M.; Bagaev, A.; Isachenko, I. On mechanical fragmentation of single-use plastics in the sea swash zone with different types of bottom sediments: Insights from laboratory experiments. Mar. Pollut. Bull. 2020, 150, 110726. [Google Scholar] [CrossRef]
- Zobkov, M.B.; Esiukova, E.E.; Zyubin, A.Y.; Samusev, I.G. Microplastic content variation in water column: The observations with novel sampling to olinstratified Baltic Sea. Mar. Pollut. Bull. 2019, 138, 193–205. [Google Scholar] [CrossRef]
- Mangor, K.; Dronen, N.K.; Kaergaard, K.H.; Kristensen, S.E. Shoreline Management Guidelines; DHI: Hoersholm, Denmark, 2017; ISBN 978-87-90634-04-9. [Google Scholar]
- Koerner, G.R.; Hsuan, Y.G.; Koerner, R.M. The durability of geosynthetics. In Geosynthetics in Civil Engineering; Sarsby, R.W., Ed.; Woodhead Publishing Ltd.: Sawston, UK, 2007; pp. 36–65. [Google Scholar]
- Bandow, N.; Will, V.; Wachtendorf, V.; Simon, F.G. Contaminant release from aged microplastic. Environ. Chem. 2017, 14, 394–405. [Google Scholar] [CrossRef]
- Ryabchuk, D.; Sergeev, A.; Burnashev, E.; Khorikov, V.; Neevin, I.; Kovaleva, O.; Budanov, L.; Zhamoida, V.; Danchenkov, A. Coastal processes in the Russian Baltic (eastern Gulf of Finland and Kaliningrad area). Q. J. Eng. Geol. Hydrogeol. 2020, 54, 1. [Google Scholar] [CrossRef]
- Zhindarev, L.A.; Ryabkova, O.I.; Sivkov, V.V. Geology and geomorphology of sea coasts. In Oil and Environment of the Kaliningrad Region (The Sea); Sivkov, V.V., Kadzhoyan, Y.S., Pichuzhkina, O.E., Feldman, V.N., Eds.; Terra Baltica: Kaliningrad, Russia, 2012; Volume 3, pp. 19–36. [Google Scholar]
- Rao, K.S.; Lakshmi, P.; Chatterji, Z. (Eds.) Handbook for Geosynthetics; Bombay Textile Research Association: Mumbai, India, 2013; p. 154. Available online: http://txcindia.gov.in/technotex/Geotextiles/Handbook%20for%20Geosynthetics.pdf (accessed on 1 December 2022).
- Müller, W.W.; Saathoff, F. Geosynthetics in geoenvironmental engineering. Sci. Technol. Adv. Mater. 2015, 16, 1–20. [Google Scholar] [CrossRef]
- Pawlak, A.; Galeski, A. Crystallization of Polypropylene. In Polypropylene Handbook; Karger-Kocsis, J., Bárány, T., Eds.; Springer Nature: Cham, Switzerland, 2019; pp. 185–242. [Google Scholar] [CrossRef]
- Alzerreca, M.; Paris, M.; Boyron, O.; Orditz, D.; Louarn, G.; Correc, O. Mechanical properties and molecular structures of virgin and recycled HDPE polymers used in gravity sewer systems. Polym. Test. 2015, 46, 1–8. [Google Scholar] [CrossRef]
- Islam, M.Z.; Rowe, R.K. Permeation of BTEX through Unaged and Aged HDPE Geomembranes. J. Geotech. Geoenviron. Eng. 2009, 135, 1130–1140. [Google Scholar] [CrossRef]
- Leitsin, V.N.; Tovpinets, A.O.; Chubarenko, B.V.; Domnin, D.A.; Esiukova, E.E.; Burnashov, E.M. Approach to evaluating the change of properties of the geosynthetic material used to stabilize the marine landscape slopes. IOP Conf. Ser. Mater. Sci. Eng. 2020, 911, 012004. [Google Scholar] [CrossRef]
- Prambauer, M.; Wendeler, C.; Weitzenböck, J.; Burgstaller, C. Biodegradable geotextiles—An overview of existing and potential materials. Geotext. Geomembr. 2019, 47, 48–59. [Google Scholar] [CrossRef]
- Chubarenko, B.; Kileso, A.; Esiukova, E.; Pinchuk, V.; Simon, F.G. Dataset on geosynthetic material debris contamination of the South-East Baltic shore. Data Brief 2022, 40, 107778. [Google Scholar] [CrossRef]








| Point Identifier * | Latitude (° N) | Longitude (° E) | Description of the Ambient Conditions |
|---|---|---|---|
| P1U_Sun | 54.947211 | 20.161953 | The upper part of the slope in the illuminated area; the section is not covered with a steel mesh; the sample was taken from the edge, in the sun, near the tree; everything is covered with rot. |
| P1U_Sun-Grass | 54.947211 | 20.161953 | The upper part of the slope; the section is not covered with a steel mesh; the sample was taken from the edge, in the grass, under partial shade from the tree. |
| P2U_Sun-Grass | 54.947131 | 20.161564 | The upper part of the slope; the section is not covered with a steel mesh; the sample was taken at the edge of the slope in the sun. |
| P3U_Shd | 54.9463 | 20.158081 | The upper part of the slope, covered with steel mesh, in the shade. |
| P4U_Sun | 54.946244 | 20.156722 | The upper part of the slope; the section is not covered with a steel mesh; the sample was taken from the edge of the slope in the sun. |
| P5U_Shd | 54.946162 | 20.155824 | The upper part of the slope, covered with steel mesh; the sample was taken in the shade, with clay and rot. |
| P6D_Shd | 54.946516 | 20.155227 | The lower part of the slope, covered with a steel mesh; the sample was taken in the shade. |
| P7D_Shd | 54.946571 | 20.155495 | The lower part of the slope, covered with a steel mesh; the sample was taken in the shade. |
| P7D_Shd-Grass | 54.946571 | 20.155495 | The lower part of the slope, covered with a steel mesh; the sample was taken in the shade, in the grass. |
| P8D_Sun | 54.947183 | 20.159987 | The lower part of the slope, not covered with a steel mesh; the sample was taken in the sun. |
| P9D_Sun | 54.947278 | 20.160439 | The lower part of the slope, covered with a steel mesh; the sample was taken in the sun. |
| P10D_Slid | 54.946647 | 20.156215 | The lower part of the slope, not covered with a steel mesh; the sample was taken from under a layer of landslide soil. |
Disclaimer/Publisher’s Note: The statements, opinions and data contained in all publications are solely those of the individual author(s) and contributor(s) and not of MDPI and/or the editor(s). MDPI and/or the editor(s) disclaim responsibility for any injury to people or property resulting from any ideas, methods, instructions or products referred to in the content. |
© 2023 by the authors. Licensee MDPI, Basel, Switzerland. This article is an open access article distributed under the terms and conditions of the Creative Commons Attribution (CC BY) license (https://creativecommons.org/licenses/by/4.0/).
Share and Cite
Chubarenko, B.; Domnin, D.; Simon, F.-G.; Scholz, P.; Leitsin, V.; Tovpinets, A.; Karmanov, K.; Esiukova, E. Change over Time in the Mechanical Properties of Geosynthetics Used in Coastal Protection in the South-Eastern Baltic. J. Mar. Sci. Eng. 2023, 11, 113. https://doi.org/10.3390/jmse11010113
Chubarenko B, Domnin D, Simon F-G, Scholz P, Leitsin V, Tovpinets A, Karmanov K, Esiukova E. Change over Time in the Mechanical Properties of Geosynthetics Used in Coastal Protection in the South-Eastern Baltic. Journal of Marine Science and Engineering. 2023; 11(1):113. https://doi.org/10.3390/jmse11010113
Chicago/Turabian StyleChubarenko, Boris, Dmitry Domnin, Franz-Georg Simon, Philipp Scholz, Vladimir Leitsin, Aleksander Tovpinets, Konstantin Karmanov, and Elena Esiukova. 2023. "Change over Time in the Mechanical Properties of Geosynthetics Used in Coastal Protection in the South-Eastern Baltic" Journal of Marine Science and Engineering 11, no. 1: 113. https://doi.org/10.3390/jmse11010113
APA StyleChubarenko, B., Domnin, D., Simon, F.-G., Scholz, P., Leitsin, V., Tovpinets, A., Karmanov, K., & Esiukova, E. (2023). Change over Time in the Mechanical Properties of Geosynthetics Used in Coastal Protection in the South-Eastern Baltic. Journal of Marine Science and Engineering, 11(1), 113. https://doi.org/10.3390/jmse11010113

