A Numerical Study of Long-Return Period Near-Bottom Ocean Currents in Lower Cook Inlet, Alaska
Abstract
:1. Introduction
1.1. Purpose of Study
1.2. Oceanographic and Meteorological Forcing Regime in Lower Cook Inlet
2. Analysis of Near-Bottom Ocean Current Observations
2.1. Current Meter Observations
2.2. Frequency Components of Deep-Water Currents
- Low-pass band—filtered with a four-point Butterworth filter with a thirty-hour cut-off,
- High-pass band—filtered with a four-point Butterworth filter with a five-hour cut-off
- Mid-pass band—between 5 and 30 h—computed as the variance of the residual detided time series.
3. Ocean Current Modelling
3.1. Model Domain and Development
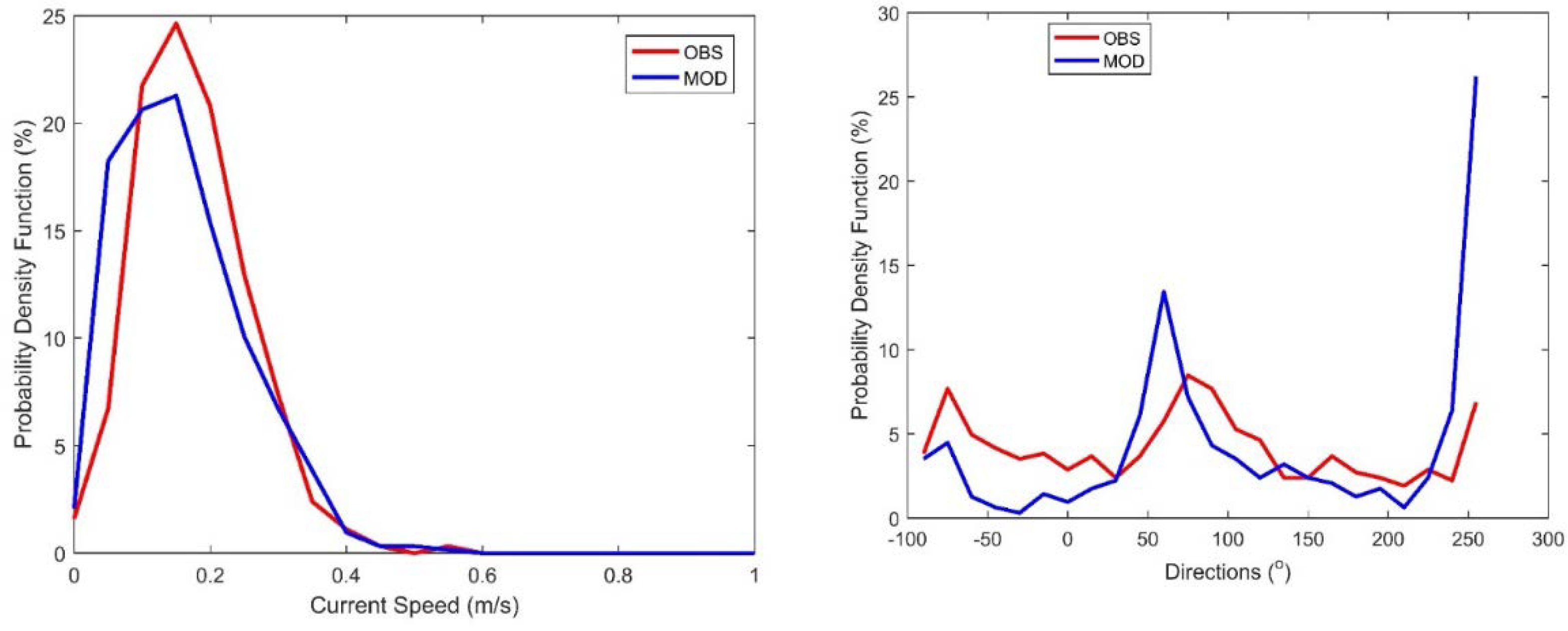
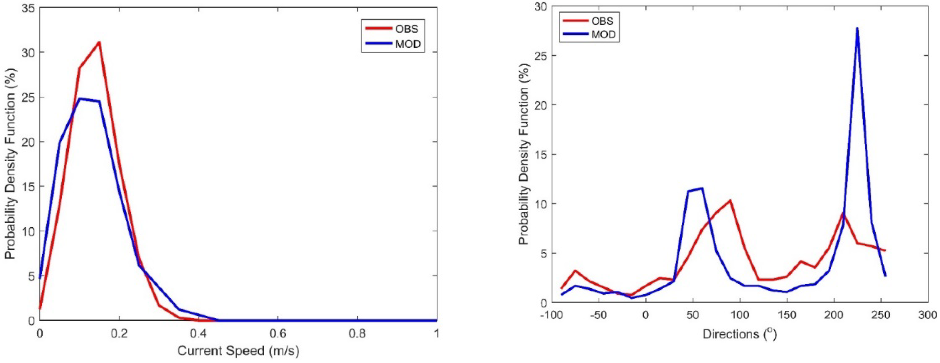
3.2. Model Calibration and Verification
3.3. Scenarios for Extreme Values of Near Bottom Currents
3.4. Model Runs for 1 Year, 10 Year and 100 Year Return Values for Near Bottom Currents
4. Summary and Conclusions
Author Contributions
Funding
Institutional Review Board Statement
Informed Consent Statement
Data Availability Statement
Acknowledgments
Conflicts of Interest
References
- Muench, R.D.; Mofjeld, H.O.; Charnell, R.L. Oceanographic conditions in lower Cook Inlet, spring and summer 1973. J. Geophys. Res. 1978, 83, 5090–5098. [Google Scholar] [CrossRef]
- Johnson, M.A. Subtidal surface circulation in lower Cook Inlet and Kachemak Bay, Alaska. Reg. Stud. Mar. Sci. 2021, 41, 101609. [Google Scholar] [CrossRef]
- Johnson, M.A. Water and Ice Dynamics in Cook Inlet; Coastal Marine Institute, University of Alaska Fairbanks: Fairbanks, AK, USA, 2008. [Google Scholar]
- Danielson, S.L.; Hedstrom, K.S.; Curchitser, E. Cook Inlet Model Calculations, Final Report to Bureau of Ocean Energy Management, M14AC00014, OCS Study, 2016, BOEM 2015-050; University of Alaska Fairbanks: Fairbanks, AK, USA; 149p.
- National Data Buoy Center, NOAA. Available online: https://www.ndbc.noaa.gov/ (accessed on 1 June 2019).
- Wang, T.; Yang, Z. A Tidal Hydrodynamic Model for Cook Inlet, Alaska, to Support Tidal Energy Resource Characterization. J. Mar. Sci. Eng. 2020, 8, 254. [Google Scholar] [CrossRef]
- Moore, S.E.; Shelden, K.E.W.; Litzky, L.K.; Mahoney, B.A.; Beluga, D.J.R. Delphinapterus leucas, Habitat Associations in Cook Inlet, Alaska. Mar. Fish. Rev. 2000, 62, 60–80. [Google Scholar]
- Stabeno, P.J.; Reed, R.K.; Schumacher, J.D. The Alaska Coastal Current: Continuity of transport and forcing. J. Geophys. Res. 1995, 100, 2477–2485. [Google Scholar] [CrossRef]
- Stabeno, P.J.; Bell, S.; Cheng, W.; Danielson, S.; Kachel, N.B.; Mordy, C.W. Long-term observations of Alaska Coastal Current in the northern Gulf of Alaska. Deep Sea Res. Part II Top. Stud. Oceanogr. 2016, 132, 24–40. [Google Scholar] [CrossRef]
- Royer, T.C. Coastal processes in the northern north Pacific. In The Sea; Robinson, A.R., Brink, K.H., Eds.; John Wiley & Sons, Inc.: New York, NY, USA, 1998; Volume 11, pp. 395–413. [Google Scholar]
- Schumacher, J.D. Alaska Coastal Current Influence on Lower Cook Inlet. In Proceedings of the Cook Inlet Physical Oceanography Workshop, Homer, AK, USA, 21–22 February 2005. [Google Scholar]
- Shi, L.; Lanerolle, L.; Chen, Y.; Cao, D.; Patchen, R.; Zhang, A.; Myers, E.P. NOS Cook Inlet Operational Forecast System: Model Development and Hindcast Skill Assessment; NOAA Technical Report NOS CS 40; NOAA: Silver Spring, MD, USA, 2020. [Google Scholar]
- Okkonen, S.R.; Howell, S.S. Measurements of Temperature, Salinity and Circulation in Cook Inlet, Alaska; OCS Study, 2003 MMS 2003-036; US Minerals Management Service: Washington, DC, USA, 2003.
- Okkonen, S.R.; Pegau, S.; Saupe, S.M. Seasonality of Boundary Conditions for Cook Inlet, Alaska; Coastal Marine Institute, University of Alaska Fairbanks: Fairbanks, AK, USA, 2009. [Google Scholar]
- Muench, R.D.; Schumacher, J.D.; Pearson, C.A. Circulation in the Lower Cook Inlet, Alaska; NOAA Technical Memorandum; 1981 ERL PMEL-28; NOAA: Seattle, WA, USA, 1981; p. 26. [Google Scholar]
- NOAA Current Measurements Interface for the Study of Tides (C-MIST). Available online: https://cmist.noaa.gov/cmist/ssl/login.do (accessed on 30 June 2022).
- Khokhlov, A.; Sultan, N.J.; Pickering, J.W.; Wood, J. Ice Measurements in Cook Inlet, Alaska with an Acoustic Doppler Profiler. In Proceedings of the IceTech Conference, Anchorage, AK, USA, 17–20 September 2012; Available online: https://www.pndengineers.com/home/showpublisheddocument/1338/636268165137230000 (accessed on 17 May 2019).
- Pebble Partnership. Pebble Project Final Environmental Impact Statement, Chapter 3 Affected Environment, 2020. Available online: https://www.arlis.org/docs/vol1/Pebble/Final-EIS/Pebble-FEIS-ch3_sec18-22.pdf (accessed on 5 August 2022).
- Codiga, D.L. Unified Tidal Analysis and Prediction Using the UTide Matlab Functions. Technical Report 2011-01. Graduate School of Oceanography, University of Rhode Island, Narragansett, RI. 59p. 2011. Available online: www.po.gso.uri.edu/pub/downloads/codiga/pubs/2011Codiga-UTide-Report.pdf (accessed on 1 June 2019).
- Deltares, 2015. Software Simulation Products and Solutions. Available online: www.deltares.nl/en/software-solutions/ (accessed on 1 June 2019).
- Amoudry, L.O.; Souza, A.J. Deterministic coastal morphological and sediment transport modeling: A review and discussion. Rev. Geophys. 2011, 49, RG2002. [Google Scholar] [CrossRef]
- NOAA National Centers for Environmental Information (NCEI). Available online: http://www.ngdc.noaa.gov (accessed on 15 May 2019).
- GEBCO Gridded Bathymetry Data. Available online: https://www.gebco.net/data_and_products/gridded_bathymetry_data (accessed on 15 May 2019).
- NOAA National Center for Environmental Information, Access to World Ocean Atlas. 2018. Available online: https://www.ncei.noaa.gov/access/world-ocean-atlas-2018/ (accessed on 1 June 2019).
- Taylor, S.V. Northerly Surface Wind Events over the Eastern North Pacific Ocean: Spatial Distribution, Seasonality, Atmospheric Circulation, and Forcing; University of California: San Diego, CA, USA, 2006. [Google Scholar]
- Feser, F.; Krueger, O.; Woth, K.; van Garderen, L. North Atlantic winter storm activity in modern reanalyses and pressure-based observations. J. Clim. 2021, 34, 2411–2428. [Google Scholar] [CrossRef]

















| Start Date | # of 6 h Points | Correlation | Lag (Days) | 95% Sig. Level | Mean Transport (106 m3 s−1) |
|---|---|---|---|---|---|
| Kennedy-Stevenson—2 moorings (3 in 1991) | |||||
| 10 May 1991 | 512 | 0.54 | 0.75 | 0.15 | 0.43 |
| 10 May 2011 | 512 | 0.70 | 0.75 | 0.28 | 0.56 |
| 10 May 2013 | 512 | 0.38 | 0.75 | 0.16 | 0.21 |
| Gore Point—3 moorings (7 in 1991) | |||||
| 1 June 1991 | 420 | 0.60 | 0.75 | 0.18 | 0.74 |
| 10 May 1994 | 504 | 0.60 | 0.50 | 0.19 | 0.62 |
| 13 May 2001 | 486 | 0.46 | 0.50 | 0.17 | 0.57 |
| 28 May 2002 | 432 | 0.44 | 0.75 | 0.18 | 0.39 |
| 10 May 2003 | 500 | 0.45 | 0.75 | 0.14 | 0.59 |
| 10 May 2004 | 324 | 0.63 | 0.75 | 0.24 | 0.41 |
| 10 May 2011 | 500 | 0.65 | 0.50 | 0.25 | 0.44 |
| 10 May 2013 | 504 | 0.41 | 0.50 | 0.15 | 0.89 |
| 1 October 2001 | 400 | 0.42 | 0.75 | 0.23 | 1.50 |
| 1 October 2002 | 810 | 0.43 | 0.75 | 0.12 | 1.30 |
| 1 October 2003 | 810 | 0.46 | 0.75 | 0.13 | 1.31 |
| 1 October 2013 | 360 | 0.45 | 0.75 | 0.15 | 1.39 |
| NOAA Site Name | Position | Deployment Depth (m) | Sampling Interval (Seconds) | Deepest Data— Height off Bottom (m) | Start Date/Time (UTC) | End Date/Time (UTC) | Duration (Days) |
|---|---|---|---|---|---|---|---|
| Anchor Point (East) | 59.818° N, 152.156° W | 41.4 | 360 | 11.5 | 2004/08/15 16:58 | 2004/09/15 14:42 | 30.9 |
| Augustine Island | 59.302° N, 152.930° W | 80.2 | 360 | 17.0 | 2005/07/15 02:35 | 2005/08/15 02:12 | 31.0 |
| Model Runs | Site/Location | Height above Seabed (m) | Date Start | Date End | Duration (Days) | RMSE of Current Speeds (m s−1) |
|---|---|---|---|---|---|---|
| C1 | Anchor Point (East) | 11.5 | 18 August 2004 | 14 September 2004 | 27 | 0.13 |
| V1 | Augustine Island | 17.0 | 17 July 2005 | 15 August 2005 | 29 | 0.15 |
| V2 | Entrance #3 | 2.5 | 18 October 2012 | 13 November 2012 | 26 | 0.14 |
| V3 | Kamishak Bay Site B | 1.63 | 1 January 2019 | 30 January 2019 | 29 | 0.08 |
| Site | Year | Water Depth (m) | Height above Seabed (m) | Return Period (Years) | Forecast at Measured Height above Seabed (m s−1) | ||
|---|---|---|---|---|---|---|---|
| Data Analysis | Model | Difference | |||||
| Anchor Point (East) | 2004 | 41.4 | 11.5 | 1 | 1.78 | 1.69 | −0.09 |
| 10 | - | 1.86 | - | ||||
| 100 | - | 2.00 | - | ||||
| Augustine Island | 2005 | 80.2 | 17.0 | 1 | 0.79 | 0.98 | 0.19 |
| 10 | - | 1.25 | - | ||||
| 100 | - | 1.45 | - | ||||
| Entrance #3 | 2011–2012 | 18 | 2.5 | 1 | 0.66 | 0.63 | −0.03 |
| 10 | 0.83 | 0.80 | −0.03 | ||||
| 100 | - | 0.98 | - | ||||
| Kamishak Site B | 2018–2019 | 14 | 1.63 | 1 | 0.46 | 0.47 | 0.01 |
| 10 | 0.53 | 0.58 | 0.05 | ||||
| 100 | - | 0.69 | - | ||||
| Nominal Return Period | Model Runs | Extreme-Case Scenarios |
|---|---|---|
| one-year | 1 | Avg. Flood + 1 yr Max ACC (Single) |
| 2 | 1 yr Max Flood (Single) | |
| 3 | Avg. Ebb + 1 yr Min ACC (Single) | |
| 4 | 1 yr Max Ebb (Single) | |
| 5 | Avg. Ebb + 1 yr Max Wind (Single) | |
| 10-year | 1 | Avg. Flood + 10 yr Max ACC (Single) |
| 2 | Spring Flood + 1 yr Max ACC (Joint) | |
| 3 | 10 yr Max Flood (Single) | |
| 4 | Avg. Ebb + 10 yr Min ACC (Single) | |
| 5 | Spring Ebb + 1 yr Min ACC (Joint) | |
| 6 | 10 yr Max Ebb (Single) | |
| 7 | Avg. Ebb + 10 yr Max Wind (Single) | |
| 8 | Spring Ebb + 1 yr Max Wind (Joint) | |
| 100-year | 1 | Ave Flood + 100 yr Max ACC (Rescaled, single) |
| 2 | Spring Flood + 10 yr Max ACC (Joint) | |
| 3 | 100 yr Max Flood (Single) | |
| 4 | Ave Ebb + 100 yr Min ACC (Rescaled, single) | |
| 5 | Spring Ebb + 10 yr Min ACC (Joint) | |
| 6 | 100 yr Max Ebb (Single) | |
| 7 | Ave Ebb + 100 yr Max Wind (Rescaled) | |
| 8 | Spring Ebb + 10 yr Max Wind (Joint) |
| Segment ID | Area | Length (km) | Water Depths (m) | 1 Yr. Btm. Speeds | 1 Yr. Regime | 10 Yr. Btm. Speeds | 10 Yr. Regime | 100 Yr. Btm. Speeds | 100 Yr. Regime | Seq.1 | Seq.L | KP-1 | KP-L | KP-Mid | x (m) | y (m) | x-Adj (m) | y-Adj (m) | Lat-Mid | Lon-Mid |
|---|---|---|---|---|---|---|---|---|---|---|---|---|---|---|---|---|---|---|---|---|
| A | Inshore Kenai Peninsula | 4 | 9–20 | 0.70–0.77 | 4 | 0.93–1.01 | 8 | 1.05–1.12 | 5 | 2 | 7 | 2 | 7 | 3 | 618,637.8 | 650,320.3 | 562,001.5 | 6,627,381.3 | 59.7796 | −151.8957 |
| B | Offshore Kenai Peninsula | 13.5 | 33–44 | 0.99- 1.10 | 4 | 1.27–1.35 | 5,8 | 1.44–1.52 | 5 | 16 | 22 | 8.5 | 22 | 14 | 607,685.1 | 649,591.4 | 551,048.8 | 6,626,652.5 | ||
| C1 | Deep Trench to NE Cook Inlet-1 | 9 | 51–74 | 0.63–0.69 | 4 | 0.75–0.86 | 5 | 0.84–1.82 | 5 | 22 | 31 | |||||||||
| C2 | Deep Trench to NE Cook Inlet-2 | 15.5 | 70–81 | 0.67–0.91 | 4 | 0.79–1.05 | 5 | 0.86–1.12 | 5 | 29 | 39 | 31 | 46.5 | 40 | 586,073.1 | 636,137.4 | ||||
| D | SW - NE Transect-W side (part 1) | 17 | 53–60 | 0.85–0.88 | 4 | 0.80–1.03 | 5 | 0.96–1.09 | 5 | 41 | 44 | 47 | 62 | 51 | 578,164.0 | 628,917.3 | ||||
| E | SW - NE Transect-W side (part 2) | 30.5 | 57–68 | 0.60–0.65 | 3,1 | 0.79–0.80 | 4 | 0.93–0.98 | 4 | 47 | 50 | 64.5 | 95 | 77.5 | 566,283.9 | 605,411.4 | 509,647.5 | 6,582,472.5 | 59.3808 | −152.8302 |
| F | Offshore Augustine Island | 18 | 48–67 | 0.63–0.69 | 1 | 0.81–0.82 | 4 | 0.95–1.01 | 5 | 54 | 54 | 98 | 116 | 107 | 549,369.0 | 582,873.0 | 492,732.7 | 6,559,934.1 | 59.1785 | −153.1272 |
| G | Shelf W. of Augustine I.-Offshore | 11.5 | 37–47 | 0.62–0.66 | 1 | 0.79–0.86 | 4,2 | 0.98–1.05 | 5 | 55 | 65 | 116 | 127.5 | 121 | 536,489.2 | 579,046.0 | ||||
| H | Shelf W. of Augustine I.-Middle | 20 | 25–36 | 0.62–0.97 | 1 | 0.79–1.24 | 2 | 0.98–1.36 | 5 | 66 | 66 | 127.5 | 147.5 | 137.5 | 520,307 | 582,173 | ||||
| I | Shelf W. of Augustine I.-Inshore | 13 | 12–24 | 0.70- 0.82 | 1,5 | 0.93–1.02 | 2,5 | 1.00–1.20 | 2,5 | 67 | 76 | 147.5 | 160.5 | 151 | 507,075.2 | 584,751.5 | 450,438.9 | 6,561,812.5 | ||
| 13 | ||||||||||||||||||||
| J | Shelf E of Augustine I.-Offshore | 18 | 38–47 | 0.69–0.73 | 3 | 0.91–0.94 | 4 | 1.05–1.12 | 4 | 57 | 75 | 66 | 564,177.94 | 623,383.5 | ||||||
| K | Shelf E of Augustine I.-Middle | 11 | 28–35 | 0.73–0.75 | 1 | 0.98–1.03 | 4 | 1.19–1.24 | 4 | 79 | 90 | 84.5 | 547,033 | 616,433.5 | ||||||
| L | Shelf E of Augustine I.-Inshore | 15 | 12–27 | 0.70–0.73 | 1 | 0.78–0.84 | 4 | 0.93–1.04 | 4 | 93.5 | 109 | 101 | 531,103 | 613,062.75 | 474,466.7 | 6,590,123.8 | ||||
| 1 | Anchor Point (East) CM | n/a | 41 | 0.72 | 4 | 0.93 | 5 | 1.00 | 5 | 547,334 | 6,631,444 | 59.818 | −152.156 | |||||||
| 2 | Augustine Island CM | n/a | 80 | 0.46 | 3 | 0.55 | 4 | 0.68 | 4 | 503,986 | 6,573,683 | 59.302 | −152.93 | |||||||
| 3 | Entrance #3 CM | n/a | 18 | 0.62 | 5 | 0.73 | 5 | 0.83 | 5 | 477,972 | 6,604,703 | 59.58 | −153.39 | |||||||
| 4 | Kamishak Bay Site B CM | n/a | 14 | 0.47 | 1 | 0.58 | 4 | 0.69 | 4 | 440,097 | 6,567,248 | 59.24 | −154.05 | |||||||
| Law of the Wall computations | Scal.Factor | −3714.8 | 4791.5 | |||||||||||||||||
| 1 | Anchor Point (East) CM | n/a | 41 | 1.22 | 4 | 1.34 | 5 | 1.44 | 5 | 0.72 | S.End-E | 559,334.0 | 589,906.7 | 502,697.7 | 6,566,967.8 | |||||
| 2 | Augustine Island CM | n/a | 80 | 0.80 | 3 | 1.03 | 4 | 1.19 | 4 | 0.82 | W.End-I | 497,641.7 | 585,705.8 | 441,005.3 | 6,562,766.8 | |||||
| 3 | Entrance #3 CM | n/a | 18 | 0.59 | 5 | 0.74 | 5 | 0.91 | 5 | 0.93 | ||||||||||
| 4 | Kamishak Bay Site B CM | n/a | 14 | 0.45 | 1 | 0.56 | 4 | 0.66 | 4 | 0.96 |
Publisher’s Note: MDPI stays neutral with regard to jurisdictional claims in published maps and institutional affiliations. |
© 2022 by the authors. Licensee MDPI, Basel, Switzerland. This article is an open access article distributed under the terms and conditions of the Creative Commons Attribution (CC BY) license (https://creativecommons.org/licenses/by/4.0/).
Share and Cite
Fissel, D.B.; Lin, Y. A Numerical Study of Long-Return Period Near-Bottom Ocean Currents in Lower Cook Inlet, Alaska. J. Mar. Sci. Eng. 2022, 10, 1287. https://doi.org/10.3390/jmse10091287
Fissel DB, Lin Y. A Numerical Study of Long-Return Period Near-Bottom Ocean Currents in Lower Cook Inlet, Alaska. Journal of Marine Science and Engineering. 2022; 10(9):1287. https://doi.org/10.3390/jmse10091287
Chicago/Turabian StyleFissel, David B., and Yuehua Lin. 2022. "A Numerical Study of Long-Return Period Near-Bottom Ocean Currents in Lower Cook Inlet, Alaska" Journal of Marine Science and Engineering 10, no. 9: 1287. https://doi.org/10.3390/jmse10091287
APA StyleFissel, D. B., & Lin, Y. (2022). A Numerical Study of Long-Return Period Near-Bottom Ocean Currents in Lower Cook Inlet, Alaska. Journal of Marine Science and Engineering, 10(9), 1287. https://doi.org/10.3390/jmse10091287
