A Theory for Estuarine Delta Formation with Finite Beach Length under Sediment Supplied from the River
Abstract
:1. Introduction
2. Theory for Delta Formation
2.1. One-Line Model

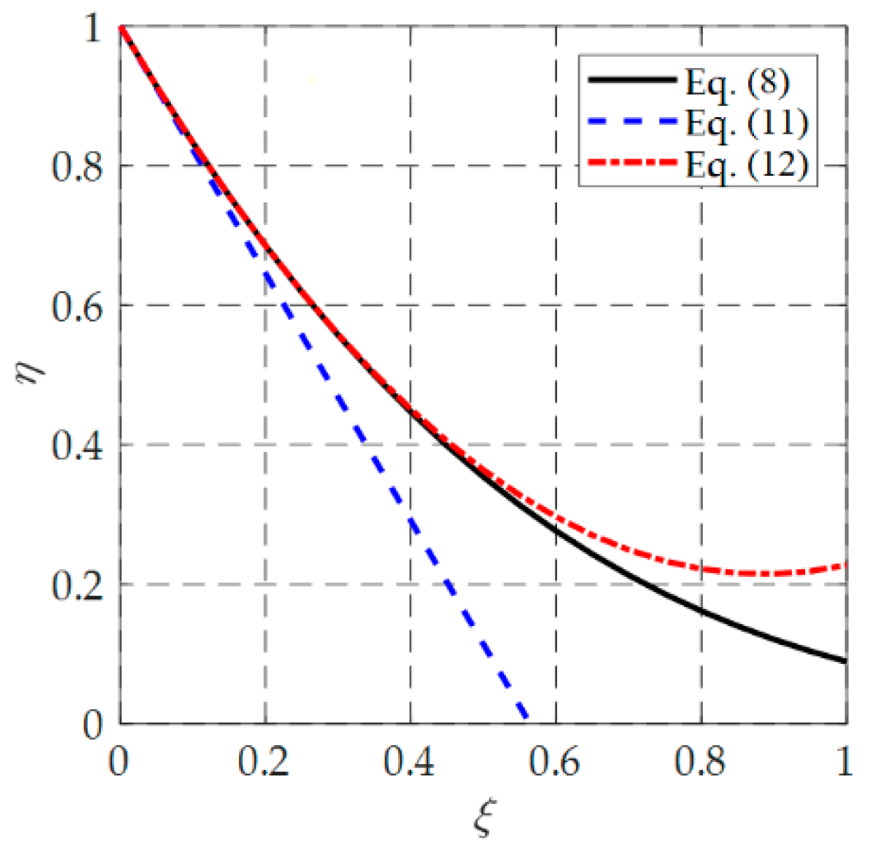
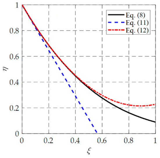
2.2. A Theory for Delta Formation with Infinite Sandy-Beach Length
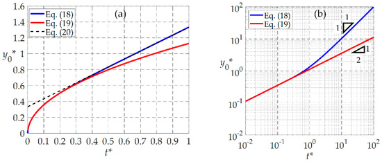
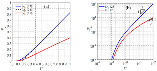
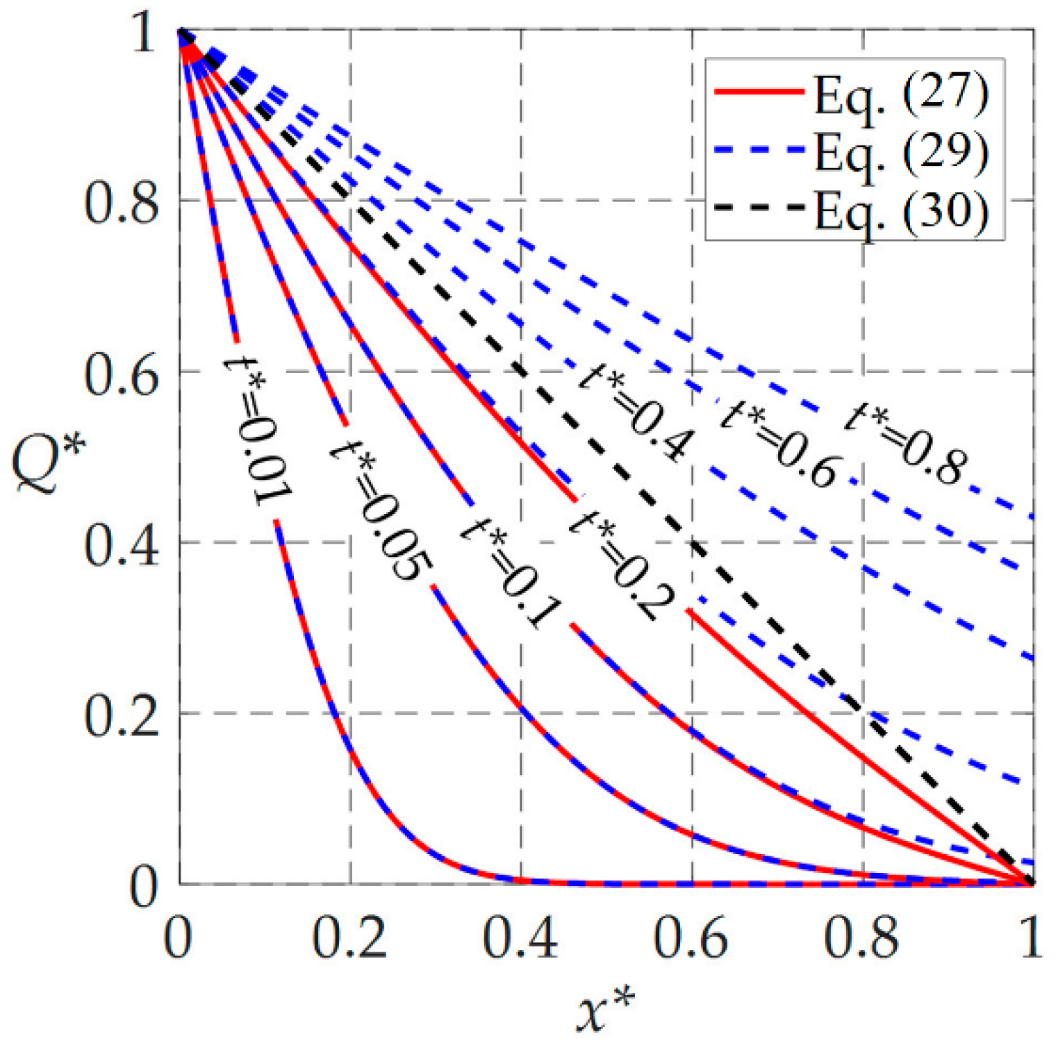
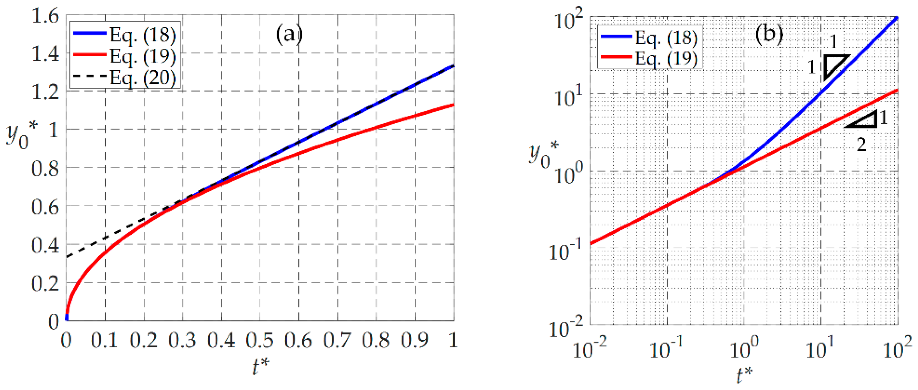
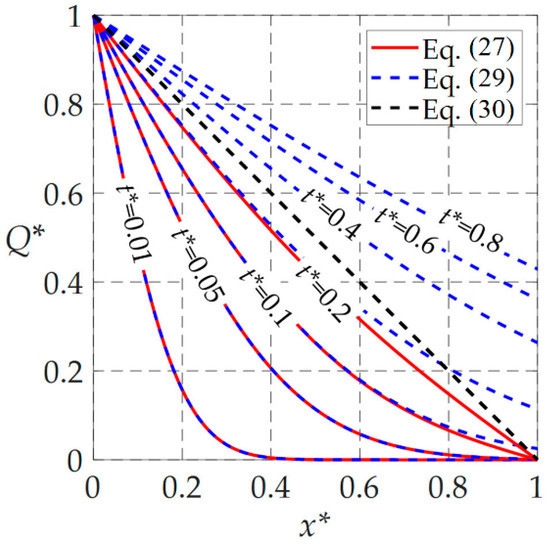
2.3. A Theory for Delta Formation with Finite-Sandy-Beach Length
2.4. A Theory for Delta Deformation with Infinite- and Finite-Sandy-Beach Length
3. Application of the Theory to a Laboratory Experiment
4. Application of the Theory to Field Data
4.1. Study Area
4.1.1. Ombrone River Delta
4.1.2. Funatsu River Delta
4.2. Application of the Theory to the Ombrone River Delta
| Parameters | Values |
|---|---|
| Diffusion Coefficient, ε (m2/day) | Unknown |
| Sediment supply from the river, q0 (m3/y) | 405,000 [36] |
| Formation time, t0 (yr) | 1000 [38] |
| Depth of closure, DC (m) | 8 [41] |
| Berm height, DB (m) | 1 [41] |
| Length of the shoreline, L (m) | 6000 |
4.3. Application of the Theory to the Funatsu River Delta
5. Classification of Delta with Finite- and Infinite-Beach Length
6. Conclusions
Author Contributions
Funding
Data Availability Statement
Acknowledgments
Conflicts of Interest
References
- Anthony, E.J. Wave influence in the construction, shaping and destruction of river deltas: A review. Mar. Geol. 2015, 361, 53–78. [Google Scholar] [CrossRef]
- Refaat, H.E.A.A. The Formation and Reduction Processes of River Deltas and Their Control; Kyoto University: Kyoto, Japan, 1990; p. 227. [Google Scholar]
- Larson, M.; Hanson, H.; Kraus, N.C. Analytical Solutions of the One-Line Model of Shoreline Change; Technical Report CERC-87-15; US Army Corps of Engineers: Washington, DC, USA, 1987. [Google Scholar]
- Besset, M.; Anthony, E.J.; Sabatier, F. River delta shoreline reworking and erosion in the Mediterranean and Black Seas: The potential roles of fluvial sediment starvation and other factors. Elem. Sci. Anthr. 2017, 5, 54. [Google Scholar] [CrossRef] [Green Version]
- Coleman, J.M. Deltas: Processes of Deposition and Models for Exploration; Springer: Dordrecht, The Netherlands, 1982. [Google Scholar]
- Liu, H.; Kishimoto, S.; Takagawa, T.; Shirai, M.; Sato, S. Investigation of the Sediment Movement along the Tenryu–Enshunada Fluvial System Based on Feldspar Thermoluminescence Properties. J. Coast. Res. 2009, 255, 1096–1105. [Google Scholar] [CrossRef]
- Komar, P.D. Computer Models of Delta Growth due to Sediment Input from Rivers and Longshore Transport. GSA Bull. 1973, 84, 2217–2226. [Google Scholar] [CrossRef]
- Milliman, J.D.; Farnsworth, K.L. River Discharge to the Coastal Ocean: A Global Synthesis; Cambridge University Press: New York, NY, USA, 2011; p. 394. [Google Scholar]
- Pranzini, E. A Model for Cuspate Delta Erosion. In Proceedings of the Coastal Zone ‘89—6th Symposium on Coastal and Ocean Management, Charleston, SC, USA, 11–14 July 1989; pp. 4345–4357. [Google Scholar]
- Thao, N.D.; Takagi, H.; Esteban, M. Coastal Disasters and Climate Change in Vietnam; Elsevier: Amsterdam, The Netherlands, 2014; p. 393. [Google Scholar]
- Wright, L.D.; Coleman, J.M. River Delta Morphology: Wave Climate and the Role of the Subaqueous Profile. Science 1972, 176, 282–284. [Google Scholar] [CrossRef] [PubMed]
- Stanley, D.J. Nile delta: Extreme case of sediment entrapment on a delta plain and consequent coastal land loss. Mar. Geol. 1996, 129, 189–195. [Google Scholar] [CrossRef]
- Blum, M.D.; Roberts, H.H. Drowning of the Mississippi Delta due to insufficient sediment supply and global sea-level rise. Nat. Geosci. 2009, 2, 488–491. [Google Scholar] [CrossRef]
- Yang, S.L.; Milliman, J.; Li, P.; Xu, K. 50,000 dams later: Erosion of the Yangtze River and its delta. Glob. Planet. Change 2011, 75, 14–20. [Google Scholar] [CrossRef]
- Huang, G. Time lag between reduction of sediment supply and coastal erosion. Int. J. Sediment Res. 2011, 26, 27–35. [Google Scholar] [CrossRef]
- Uda, T. Japan’s Beach Erosion: Reality and Future Measures; World Scientific: Singapore, 2010; Volume 31, p. 418. [Google Scholar]
- Hoang, V.C.; Viet, N.T.; Tanaka, H. Morphological change on Cua Dai Beach, Vietnam: Part II theoretical analysis. Tohoku J. Nat. Disaster Sci. 2015, 51, 87–92. [Google Scholar]
- Viet, N.T.; Hoang, V.C.; Tanaka, H. Morphological change on Cua Dai Beach, Vietnam: Part I image analysis. Tohoku J. Nat. Disaster Sci. 2015, 51, 81–86. [Google Scholar]
- Pelnard-Considere, R. Essai de Theorie de l’Evolution des Forms de Rivages en Plage de Sable et de Galets. Energ. Mer C R. Quatr. J. Hydraul. 1956, 3, 289–298. [Google Scholar]
- Bakker, W.T.; Edelman, T. The coastline of river-deltas. In Proceedings of the 9th Conference on Coastal Engineering, Lisbon, Portugal, June 1964; pp. 199–218. [Google Scholar]
- Bakker, W.T.; Breteler, E.H.J.K.; Roos, A. The dynamics of a coast with a groyne system. Coast. Eng. Proc. 1970, 1, 1001–1020. [Google Scholar] [CrossRef] [Green Version]
- Iwagaki, Y. A Treatise on Beach Erosion. In Proceedings of the Summer Seminar on Hydraulics Engineering, 1966; pp. B-17.1–B-17.17. [Google Scholar]
- Tsuchiya, Y. Coastal Sediment Balance and Beach Change. In Proceedings of the Summer Seminar on Hydraulics Engineering, 1973; pp. B-3.1–B-3.19. [Google Scholar]
- Tsuchiya, Y. Beach Erosion and Its Prediction; DPRI Annuals; Kyoto University: Kyoto, Japan, 1978; pp. 1–18. [Google Scholar]
- Tsuchiya, Y.; Yasuda, T. A Mathematical Model for Beach Change. In Proceedings of the Japanese Conference on Coastal Engineering, Yokohama, Japan, November 1978; pp. 36–40. [Google Scholar]
- Hanson, H.; Larson, M. Comparison of Analytic and Numerical Solutions of the One-Line Model of Shoreline Change. In Proceedings of the Coastal Sediment ‘87, New Orleans, LA, USA, 12–14 May 1987; pp. 500–514. [Google Scholar]
- Kraus, N.C.; Hanson, H.; Harikai, S. Shoreline Change at Oarai Beach: Past, Present and Future. Coast. Eng. Proc. 1984, 1, 2107–2123. [Google Scholar] [CrossRef] [Green Version]
- Galloway, W.E. Process Framework for Describing the Morphologic and Stratigraphic Evolution of Deltaic Depositional Systems. In Deltas: Models for Exploration; Houston Geological Society: Houston, TX, USA, 1975. [Google Scholar]
- Komar, P.D.; Gaughan, M.K. Airy wave theories and breaker height prediction. In Proceedings of the 13th Coastal Engineering Conference, Vancouver, BC, Canada, 10–14 July 1972; pp. 405–418. [Google Scholar]
- Hanson, H.; Kraus, N.C. GENESIS: Generalized Model for Simulating Shoreline Change; Report 1, Technical Reference; US Army Engineer Waterways Experiment Station; Coastal Engineering Research Center: Vicksburg, MS, USA, 1989; p. 247. [Google Scholar]
- Carslaw, H.; Jaeger, J. Conduction of Heat in Solids; Clarendon Press: Oxford, UK, 1959; p. 510. [Google Scholar]
- Crank, J. The Mathematics of Diffusion, 2nd ed.; Oxford University Press: Oxford, UK, 1975; p. 421. [Google Scholar]
- Hiep, N.T.; Tanaka, H.; Viet, N.T.; Tinh, N.X.; Hoa, T.D. Modeling river mouth evolution under migration process. J. Jpn. Soc. Civ. Eng. Ser. A2 2020, 76, I_431–I_438. [Google Scholar] [CrossRef]
- Petruzzeli, V.; Petrillo, A.F.; Gironella, X.; Marzeddu, A. Non-conventional materials for movable-bed coastal physical models at high scale of reduction. In Proceedings of the 4th International Conference on the Application of Physical Modelling to Port and Coastal Protection (Coastlab12), Ghent, Belgium, 17–20 September 2012; pp. 689–698. [Google Scholar]
- Rosati, J.D.; Walton, T.L.; Bodge, K. Longshore Sediment Transport (Chapter III-2). In Coastal Engineering Manual 1110-2-1100; U.S. Army Corps of Engineers: Washington, DC, USA, 2002; p. 113. [Google Scholar]
- Bartolini, C.; Pranzini, E. Fan delta erosion in southern Tuscany as evaluated from hydrographic surveys of 1883 and the late ‘70. Mar. Geol. 1984, 62, 181–187. [Google Scholar] [CrossRef]
- Bellotti, P.; Caputo, C.; Davoli, L.; Evangelista, S.; Garzanti, E.; Pugliese, F.; Valeri, P. Morpho-sedimentary characteristics and Holocene evolution of the emergent part of the Ombrone River delta (southern Tuscany). Geomorphology 2004, 61, 71–90. [Google Scholar] [CrossRef]
- Tortora, P.; Bellotti, P.; Valeri, P. Late-Pleistocene and Holocene deposition along the coasts and continental shelves of the Italian peninsula. In Anatomy of an Orogen: The Apennines and Adjacent Mediterranean Basins; Vai, G.B., Martini, I.P., Eds.; Springer: Dordrecht, The Netherlands, 2001; pp. 455–477. [Google Scholar]
- Matsumoto, H. Rivers flowing into Lake Inawashiro. Acad. Rep. 1999, 10, 15–20. [Google Scholar]
- Tanaka, H.; Fujita, Y.; Okajima, N. Morphology and sediment transport in Lake Inawashiro Japan. In Proceedings of the International Conference on Coastal Sediments 03, Clearwater Beach, FL, USA, 18–23 May 2003. [Google Scholar]
- De Filippi, G.L.; Duchini, E.; Pranzini, E. Closure Depth estimation along the Tuscan coast aimed at short and long term coastal monitoring. In BeachMed-e/OpTIMAL Project Beach Erosion Monitoring; Pranzini, E., Wetzel, L., Eds.; Nuova Grafica Fiorentina: Florence, Italy, 2008; pp. 33–50. [Google Scholar]
- Cipriani, L.E.; Pranzini, E.; Vitale, G.; Wetzel, L. Adaptation to beach erosion at Maremma Regional Park (Tuscany, Italy). Geo-Eco-Marina 2013, 19, 65–75. [Google Scholar]
- Pranzini, E. The erosion of the Ombrone River delta. In Proceedings of the EUROCOAST, Lisbon, Portugal, 26–29 September 1994; pp. 133–147. [Google Scholar]
- Silva, M.D.; Guarducci, A.; Rombai, L. The Grosseto plain (Tuscany, Italy) in historical maps (18th–20th centuries): Georeferencing of historic landscape. e-Perimetron 2013, 8, 21–36. [Google Scholar]
- Tanaka, H.; Fujita, Y.; Okajima, N. Relationship between Sediment deposit in an Intake Pond of the Asaka Channel and Sedimentary Environment in Lake Inawashiro. J. JSNDS 2004, 22, 455–465. [Google Scholar]

















| No. | River | Length of the Shorelines (km) | |
|---|---|---|---|
| Left | Right | ||
| 1 | Ombrone (Italy) | 6.0 | 16 |
| 2 | Funatsu (Japan) | 0.5 | 4.5 |
| Parameters | Values |
|---|---|
| Diffusion Coefficient (Calibrated), ε (m2/day) | 45 |
| Sediment supply from the river, q0 (m3/y) | 345,000 |
| Formation time, t0 (yr) | 900 |
| Depth of closure, DC (m) | 8 [41] |
| Berm height, DB (m) | 1 [41] |
| Length of the shoreline, L (m) | 6000 |
| Reduction rate, R | 0.75 [43] |
| Time when erosion happened, t1 | 1883 [44] |
| Parameters | Initial Data | Calibrated Data |
|---|---|---|
| Diffusion coefficient, ε (m2/day) | Unknown | 4.5 |
| Sediment supply from the river, q0 (m3/y) | 1700 [45] | 1100 |
| Formation time, t0 (yr) | 33 | 33 |
| Total depth of closure and berm height, DC + DB (m) | 1.36 [45] | 1.36 |
| Length of the shoreline, L (m) | 450 | 450 |
| Ombrone River Delta | |
|---|---|
| L= 6000 m, ε = 45 m2/day | |
| No. in Figure 18 | t (yr) |
| 1 | 100 |
| 2 | 300 |
| 3 | 500 |
| 4 | 700 |
| 5 | 900 |
| Funatsu River delta | |
| L= 490 m,ε=4.5 m2/day | |
| No. in Figure 18 | t (yr) |
| 1 | 5 |
| 2 | 10 |
| 3 | 15 |
| 4 | 20 |
| 5 | 25 |
| 6 | 30 |
| 7 | 35 |
Publisher’s Note: MDPI stays neutral with regard to jurisdictional claims in published maps and institutional affiliations. |
© 2022 by the authors. Licensee MDPI, Basel, Switzerland. This article is an open access article distributed under the terms and conditions of the Creative Commons Attribution (CC BY) license (https://creativecommons.org/licenses/by/4.0/).
Share and Cite
Duy, D.V.; Tanaka, H.; Larson, M.; Viet, N.T. A Theory for Estuarine Delta Formation with Finite Beach Length under Sediment Supplied from the River. J. Mar. Sci. Eng. 2022, 10, 947. https://doi.org/10.3390/jmse10070947
Duy DV, Tanaka H, Larson M, Viet NT. A Theory for Estuarine Delta Formation with Finite Beach Length under Sediment Supplied from the River. Journal of Marine Science and Engineering. 2022; 10(7):947. https://doi.org/10.3390/jmse10070947
Chicago/Turabian StyleDuy, Dinh Van, Hitoshi Tanaka, Magnus Larson, and Nguyen Trung Viet. 2022. "A Theory for Estuarine Delta Formation with Finite Beach Length under Sediment Supplied from the River" Journal of Marine Science and Engineering 10, no. 7: 947. https://doi.org/10.3390/jmse10070947
APA StyleDuy, D. V., Tanaka, H., Larson, M., & Viet, N. T. (2022). A Theory for Estuarine Delta Formation with Finite Beach Length under Sediment Supplied from the River. Journal of Marine Science and Engineering, 10(7), 947. https://doi.org/10.3390/jmse10070947
