Statistical Damage Model of Rock Based on Compaction Stage and Post-Peak Shape under Chemical-Freezing-Thawing-Loading
Abstract
:1. Introduction
2. Statistical Damage Model of Rock under Chemical-Freezing-Thawing-Loading
2.1. Chemical-Freeze-Thaw Damage Variable and Damage Model
2.2. Statistical Distribution Function
2.3. The Representation of Micro Units’ Strength
2.4. Statistical Damage Constitutive Model Considering Chemical-Freezing-Thawing Effect in Compaction Stage
3. Determination of Constitutive Model Parameters
3.1. Determine the Parameters and
3.2. Determine the Parameter α
3.3. Determine the Parameter
4. Model Verification and Analysis
5. Conclusions
- (1)
- The compaction index α is introduced to characterize the compaction performance of the internal pores in the rock compaction stage, and fully reflect the nonlinear curve shape of the stress-strain in the undamaged stage. As the compaction index decreases, the compaction effect of the pores in the rock gradually weakens.
- (2)
- Taking the Drucker–Prager strength criterion as the damage basis of rock micro units, considering the damage threshold and the post-peak correction coefficient, a statistical damage constitutive model of rock under chemical-freezing-thawing-loading based on the Weibull distribution is established, and the determination of each parameter of the model was clarified.
- (3)
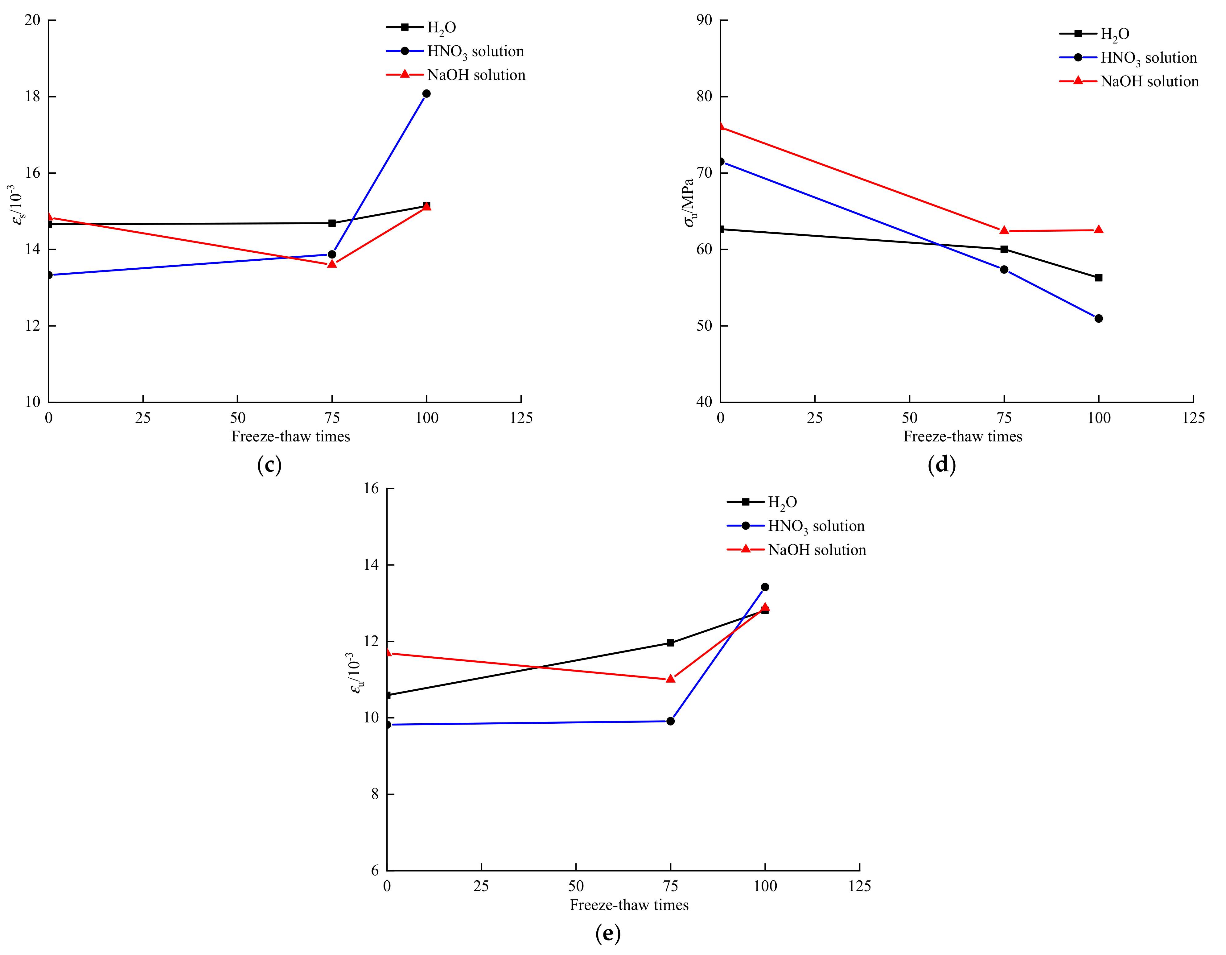
- There is a good correlation between the experimental curve and the theoretical curve calculated by the constitutive model, which can better describe the uniaxial stress-strain relationship under different chemical solutions and freeze-thaw cycles. With the increase in number of freeze-thaw cycles, the rock damage deteriorated seriously, the peak stress, elastic model and threshold stress became smaller, and the increase of plasticity led to the increase of peak strain and threshold strain. Under the same number of freeze-thaw cycles, the HNO3 solution is more likely to cause damage to the granite, followed by the H2O solution, and the NaOH solution has the least damage. From the damage evolution curve, it can be seen that some initial damage has occurred in the rock after chemical-freezing-thawing. During the uniaxial compression process, the damage variable remains unchanged at first, and then begin to change and rapidly increase to one after loading to the yield point. It shows that the model is accurate and reasonable and can provide a theoretical basis for the study of deformation and failure under multi-field coupling conditions.
- (4)
- The Hoek–Brown strength criterion can be used for further research on the method of measuring the strength of rock micro units, and the model results of the Drucker–Prager strength criterion can be compared and analyzed, hoping to obtain some new discoveries.
Author Contributions
Funding
Institutional Review Board Statement
Informed Consent Statement
Data Availability Statement
Conflicts of Interest
References
- Liu, Z.; He, X.; Fan, J.; Zhou, C. Study on the Softening Mechanism and Control of Red-Bed Soft Rock under Seawater Conditions. J. Mar. Sci. Eng. 2019, 7, 235. [Google Scholar] [CrossRef] [Green Version]
- Gao, W.; Ge, M. Fracture of rock affected by chemical erosion environment. Geomech. Eng. 2016, 11, 373–383. [Google Scholar] [CrossRef]
- Fang, W.; Jiang, N.; Luo, X. Establishment of damage statistical constitutive model of loaded rock and method for determining its parameters under freeze-thaw condition. Cold Reg. Sci. Technol. 2019, 160, 31–38. [Google Scholar] [CrossRef]
- Yuan, W.; Chen, C. Experimental study on mechanical characteristics of freeze-thaw damage of fractured rock mass and its failure mechanism. Fresen. Environ. Bull. 2021, 30, 11388–11394. [Google Scholar]
- Abdolghanizadeh, K.; Hosseini, M.; Saghafiyazdi, M. Effect of freezing temperature and number of freeze-thaw cycles on mode I and mode II fracture toughness of sandstone. Theor. Appl. Fract. Mech. 2020, 105, 102428. [Google Scholar] [CrossRef]
- Hutchinson, A.; Johnson, J.; Thompson, G.; Wood, G.; Sage, P.; Cooke, M. Stone degradation due to wet deposition of pollutants. Corros. Sci. 1993, 34, 1881–1898. [Google Scholar] [CrossRef]
- Cai, Y.; Yu, J.; Fu, G.; Li, H. Experimental investigation on the relevance of mechanical properties and porosity of sandstone after hydrochemical erosion. J. Mt. Sci.-Engl. 2016, 13, 2053–2068. [Google Scholar] [CrossRef]
- Li, N.; Zhu, Y.; Zhang, P.; Ge, X. A chemical damage model of sandstone in acid environment. Chin. J. Geotech. Eng. 2003, 25, 395–399. [Google Scholar]
- Gong, C.; Wang, W.; Shao, J.; Wang, R.; Feng, X. Quantifying microstructural damage of sandstone after hydrochemical corrosion. Acta Geotech. 2020, 16, 1083–1099. [Google Scholar] [CrossRef]
- Han, T.; Shi, J.; Chen, Y.; Cao, X. Quantifying microstructural damage of sandstone after hydrochemical corrosion. Int. J. Geomech. 2018, 18, 04018121. [Google Scholar] [CrossRef]
- Yang, G.; Zhang, Q.; Pu, Y. Preliminary study on meso-damage propagation characteristics of rock under condition of freezing temperature. Rock Soil Mech. 2004, 25, 1409–1412. [Google Scholar]
- Zhou, K.; Li, B.; Li, J.; Deng, H.; Bin, F. Microscopic damage and dynamic mechanical properties of rock under freeze-thaw environment. Trans. Nonferrous Met. Soc. China 2015, 25, 1254–1261. [Google Scholar] [CrossRef]
- Yahaghi, J.; Liu, H.; Li, J.; Chan, A.; Fukuda, D. Experimental and numerical studies on failure behaviours of sandstones subject to freeze-thaw cycles. Transp. Geotech. 2021, 31, 100655. [Google Scholar] [CrossRef]
- Li, J.; Zhou, K.; Liu, W.; Zhang, Y. Analysis of the effect of freeze-thaw cycles on the degradation of mechanical parameters and slope stability. Bull. Eng. Geol. Environ. 2018, 77, 573–580. [Google Scholar] [CrossRef]
- Chen, S. Meso-Mechanism and Its Constitutive Model of Rock Damage under Chemical Erosion. Ph.D. Dissertation, Northeastern University, Harbin, China, 2003. [Google Scholar]
- Chen, B.; Feng, X.; Ding, W.; Yang, C. Evolutionary Neural network constitutive model for complete stress-strain relationship of rock under chemical corrosion. J. Northeast Univ. Nat. Sci. 2004, 25, 695–698. [Google Scholar]
- Lin, Y.; Gao, F.; Zhou, K.; Gao, R.; Guo, H. Mechanical properties and statistical damage constitutive model of rock under a coupled chemical-mechanical condition. Geofluids 2019, 2019, 7349584. [Google Scholar] [CrossRef]
- Huang, S.; Liu, Q.; Cheng, A.; Liu, Y. A statistical damage constitutive model under freeze-thaw and loading for rock and its engineering application. Cold Reg. Sci. Technol. 2018, 145, 142–145. [Google Scholar] [CrossRef]
- Feng, Q.; Jin, J.; Zhang, S.; Li, W.; Yang, X.; Li, W. Study on a damage model and uniaxial compression simulation method of frozen-thawed rock. Rock Mech. Rock Eng. 2021, 55, 187–211. [Google Scholar] [CrossRef]
- Zhang, H.; Yang, G. Research on damage model of rock under coupling action of freeze-thaw and load. Chin. J. Rock Mech. Eng. 2010, 29, 471–476. [Google Scholar]
- Chen, Y.; Wang, P.; Zhang, X.; Du, X. Experimental research on mechanical properties of granite in chemical dissolution under freeze-thaw cycles. Chin. J. Geotech. Eng. 2014, 36, 2226–2235. [Google Scholar]
- Chen, Y.; Xiao, P.; Du, X.; Wang, S.; Wang, Z.; Azzam, R. Study on damage statistical constitutive model of triaxial compression of acid-etched rock under coupling effect of temperature and confining pressure. Materials 2021, 14, 7414. [Google Scholar] [CrossRef] [PubMed]
- Liao, H.; Chen, Y.; Li, S.; Yin, Y.; Peng, C.; Li, Z. Mechanical properties of sandstone under freeze-thaw cycling and chemical corrosion. J. Disaster Prev. Mitig. Eng. 2020, 40, 1009–1017. [Google Scholar]
- Li, X.; Chen, Y.; Xu, P.; Zhong, M.; Wang, Q. Experiment on mechanical property of triaxial compression of white sandstone after effect of chemical solution and freeze-thaw cycle. J. Water Resour. Water Eng. 2015, 26, 212–218. [Google Scholar]
- Wang, L.; Wang, X.; Han, J.; Wang, J. Strength degradation and forecast model of siltstone under combined effect of chemical solutions and freeze-thaw cycles. J. Cent. South Univ. Sci. Technol. 2020, 51, 2361–2372. [Google Scholar]
- Li, J.; Kaunda, R.; Zhu, L.; Zhou, K.; Gao, F. Experimental study of the pore structure deterioration of sandstones under freeze-thaw cycles and chemical erosion. Adv. Civ. Eng. 2019, 2019, 9687843. [Google Scholar] [CrossRef]
- Li, X.; Qu, D.; Luo, Y.; Ma, R.; Xu, K.; Wang, G. Damage evolution model of sandstone under coupled chemical solution and freeze-thaw process. Cold Reg. Sci. Technol. 2019, 162, 88–95. [Google Scholar] [CrossRef]
- Cao, W.; Zhang, S.; Zhao, M. Study on a statistical damage constitutive model with conversion between softening and hardening properties of rock. Eng. Mech. 2006, 23, 110–115. [Google Scholar]
- Zhang, M.; Li, Z.; Su, X. Probabilistic volume element modeling in elastic damage analysis of quasi-brittle materials. Chin. J. Rock Mech. Eng. 2005, 24, 4282–4288. [Google Scholar]
- Zhang, C.; Yang, Q.; Cao, W. Study of damage constitutive model of brittle rock considering post-peak stress dropping rate. Rock Soil Mech. 2019, 40, 3099–3106. [Google Scholar]
- Bilen, C.; Er, S.; Tugrul, A.; Yilmaz, M. A new approach for the prediction of brittleness index based on chemical properties of basaltic rocks. Acta Geodyn. Geomater. 2019, 18, 285–299. [Google Scholar] [CrossRef]
- Tang, L.; Wang, S. Analysis on mechanism and quantitative methods of chemical damage in water-rock interaction. Chin. J. Rock Mech. Eng. 2002, 21, 314–319. [Google Scholar]
- Zhang, Q.; Yang, G.; Ren, J. New study of damage variable and constitutive equation of rock. Chin. J. Rock Mech. Eng. 2003, 22, 30–34. [Google Scholar]
- Chen, X.; He, P.; Qin, Z.; Li, J.; Gong, Y. Statistical damage model of altered granite under dry-wet cycles. Symmetry 2019, 11, 41. [Google Scholar] [CrossRef] [Green Version]
- Sanchidrián, J.A.; Ouchterlony, F.; Segarra, P.; Moser, P. Size distribution functions for rock fragments–ScienceDirect. Int. J. Rock Mech. Min. 2014, 71, 381–394. [Google Scholar] [CrossRef]
- Chen, S.; Qiao, C.; Ye, Q.; Khan, M. Comparative study on three-dimensional statistical damage constitutive modified model of rock based on power function and Weibull distribution. Environ. Earth Sci. 2018, 77, 108. [Google Scholar] [CrossRef]
- Xiang, L.; Cao, W.; Su, Y. A statistical damage constitutive model for softening behavior of rocks. Eng. Geol. 2012, 143–144, 1–17. [Google Scholar]
- Lemaitre, J. A continuous damage mechanics model for ductile fracture. J. Eng. Mater.-Technol. ASME 2005, 24, 4282–4288. [Google Scholar] [CrossRef]
- Liang, M.; Miao, S.; Cai, M.; Huang, Z.; Yang, J. A damage constitutive model of rock with consideration of dilatation and post-peakshape of the stress-strain curve. Chin. J. Rock Mech. Eng. 2021, 40, 2392–2401. [Google Scholar]
- Cai, M.; He, M.; Liu, D. Rock Mechanics and Engineering, 2nd ed.; Science Press: Beijing, China, 2013; pp. 54–57. [Google Scholar]
- Han, T.; Shi, J.; Chen, Y. Laboratory investigations on the mechanical properties degradation of sandstone under the combined action between water chemical corrosion and freezing and thawing cycles. J. Hydraul. Eng. 2016, 47, 644–655. [Google Scholar]







| Solution Category | Soaking Time/d | Freeze-Thaw Range/°C | Freeze-Thaw Time/h | Freeze-Thaw Times n | Loading Rate/MPa/s | Number of Samples |
|---|---|---|---|---|---|---|
| H2O | 90 | −15~20 | 4 | 0 | 0.8 | 4 |
| HNO3 | 4 | |||||
| NaOH | 4 | |||||
| H2O | 90 | −15~20 | 4 | 75 | 0.8 | 4 |
| HNO3 | 4 | |||||
| NaOH | 4 | |||||
| H2O | 90 | −15~20 | 4 | 100 | 0.8 | 4 |
| HNO3 | 4 | |||||
| NaOH | 4 |
| Freeze-Thaw Times n | Solution Category | Elastic Modulus E/GPa |
Peak Stress σs/MPa |
Peak Strain εs/10−3 |
Threshold Stress σu/MPa |
Threshold Strain εu/10−3 |
|---|---|---|---|---|---|---|
| 0 | H2O | 16.25 | 105.86 | 14.66 | 62.65 | 10.59 |
| HNO3 | 13.58 | 108.31 | 13.33 | 71.49 | 9.82 | |
| NaOH | 16.18 | 115.29 | 14.84 | 76.01 | 11.69 | |
| 75 | H2O | 13.79 | 90.52 | 14.69 | 60.03 | 11.96 |
| HNO3 | 11.45 | 83.71 | 13.87 | 57.38 | 9.91 | |
| NaOH | 15.85 | 94.98 | 13.60 | 62.41 | 11.00 | |
| 100 | H2O | 12.98 | 84.74 | 15.14 | 56.30 | 12.81 |
| HNO3 | 10.22 | 81.48 | 18.08 | 50.96 | 13.42 | |
| NaOH | 14.90 | 93.33 | 15.10 | 62.52 | 12.88 |
| Freeze-Thaw Cycles | Solution Category | α | m | F | λ |
|---|---|---|---|---|---|
| 0 | H2O | 2.51 | 15.15 | 41.57 | 0.95 |
| HNO3 | 1.83 | 9.95 | 38.40 | 0.90 | |
| NaOH | 2.82 | 14.50 | 32.39 | 0.96 | |
| 75 | H2O | 3.85 | 1.16 | 126.29 | 1.81 |
| HNO3 | 2.92 | 1.06 | 95.68 | 1.49 | |
| NaOH | 3.01 | 4.68 | 42.50 | 0.72 | |
| 100 | H2O | 2.71 | 2.59 | 35.23 | 1.02 |
| HNO3 | 2.98 | 2.57 | 78.99 | 2.01 | |
| NaOH | 3.09 | 2.54 | 38.63 | 0.98 |
Publisher’s Note: MDPI stays neutral with regard to jurisdictional claims in published maps and institutional affiliations. |
© 2022 by the authors. Licensee MDPI, Basel, Switzerland. This article is an open access article distributed under the terms and conditions of the Creative Commons Attribution (CC BY) license (https://creativecommons.org/licenses/by/4.0/).
Share and Cite
Hu, B.; Zhang, Z.; Li, J.; Xiao, H.; Cui, K. Statistical Damage Model of Rock Based on Compaction Stage and Post-Peak Shape under Chemical-Freezing-Thawing-Loading. J. Mar. Sci. Eng. 2022, 10, 696. https://doi.org/10.3390/jmse10050696
Hu B, Zhang Z, Li J, Xiao H, Cui K. Statistical Damage Model of Rock Based on Compaction Stage and Post-Peak Shape under Chemical-Freezing-Thawing-Loading. Journal of Marine Science and Engineering. 2022; 10(5):696. https://doi.org/10.3390/jmse10050696
Chicago/Turabian StyleHu, Bin, Zhen Zhang, Jing Li, Huiping Xiao, and Kai Cui. 2022. "Statistical Damage Model of Rock Based on Compaction Stage and Post-Peak Shape under Chemical-Freezing-Thawing-Loading" Journal of Marine Science and Engineering 10, no. 5: 696. https://doi.org/10.3390/jmse10050696
APA StyleHu, B., Zhang, Z., Li, J., Xiao, H., & Cui, K. (2022). Statistical Damage Model of Rock Based on Compaction Stage and Post-Peak Shape under Chemical-Freezing-Thawing-Loading. Journal of Marine Science and Engineering, 10(5), 696. https://doi.org/10.3390/jmse10050696

