Experimental and Numerical Study on the Hydraulic Characteristics of an S-Type Bidirectional Shaft Tubular Pump
Abstract
:1. Introduction
2. Experimental Model and Set-Up
2.1. Experimental Model
2.2. Laboratory Apparatus
2.3. Test System
3. Experimental and Numerical Results
3.1. Experimental Energy Characteristics
3.2. Numerical Energy Characteristics
3.3. Cavitation Characteristics
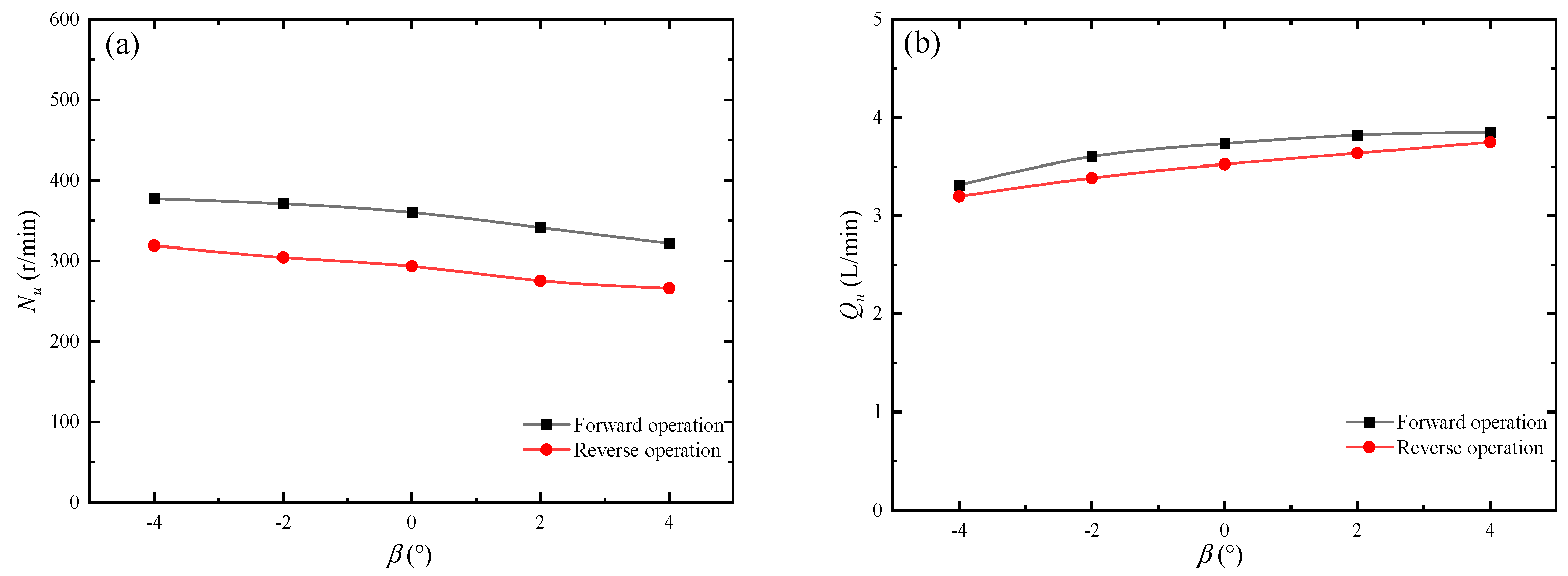
3.4. Runaway Characteristics
4. Conclusions
Author Contributions
Funding
Institutional Review Board Statement
Informed Consent Statement
Data Availability Statement
Conflicts of Interest
References
- Bozorgi, A.; Javidpour, E.; Riasi, A.; Nourbakhsh, A. Numerical and experimental study of using axial pump as turbine in Pico hydropower plants. Renew. Energy 2012, 53, 258–264. [Google Scholar] [CrossRef]
- Fu, S.; Zheng, Y.; Kan, K.; Chen, H.; Han, X.; Liang, X.; Liu, H.; Tian, X. Numerical simulation and experimental study of transient characteristics in an axial flow pump during start-up. Renew. Energy 2020, 146, 1879–1887. [Google Scholar] [CrossRef]
- Shi, L.; Zhu, J.; Tang, F.; Wang, C. Multi-Disciplinary Optimization Design of Axial-Flow Pump Impellers Based on the Approximation Model. Energies 2020, 13, 779. [Google Scholar] [CrossRef] [Green Version]
- Zhang, D.; Shi, W.; Bin, C.; Guan, X. Unsteady Flow Analysis and Experimental Investigation of Axial-Flow Pump. J. Hydrodyn. 2010, 22, 35–43. [Google Scholar] [CrossRef]
- Kan, K.; Zheng, Y.; Chen, H.; Zhou, D.; Dai, J.; Binama, M.; Yu, A. Numerical simulation of transient flow in a shaft extension tubular pump unit during runaway process caused by power failure. Renew. Energy 2020, 154, 1153–1164. [Google Scholar] [CrossRef]
- Shi, L.; Yuan, Y.; Jiao, H.; Tang, F.; Cheng, L.; Yang, F.; Jin, Y.; Zhu, J. Numerical investigation and experiment on pressure pulsation characteristics in a full tubular pump. Renew. Energy 2020, 163, 987–1000. [Google Scholar] [CrossRef]
- Zhao, W.; Zhang, J.; Yu, X.; Zhou, D.; Calamak, M. Multiobjective optimization of a tubular pump to improve the applicable operating head and hydraulic performance. Proc. Inst. Mech. Eng. Part C J. Mech. Eng. Sci. 2020, 235, 1555–1566. [Google Scholar] [CrossRef]
- Cheng, K.; Li, S.; Cheng, L.; Sun, T.; Zhang, B.; Jiao, W. Experiment on Influence of Blade Angle on Hydraulic Characteristics of the Shaft Tubular Pumping Device. Processes 2022, 10, 590. [Google Scholar] [CrossRef]
- Kan, K.; Zheng, Y.; Fu, S.; Liu, H.; Yang, C.; Zhang, X. Dynamic stress of impeller blade of shaft extension tubular pump device based on bidirectional fluid-structure interaction. J. Mech. Sci. Technol. 2017, 31, 1561–1568. [Google Scholar] [CrossRef]
- Li, C.; Zheng, Y.; Zhang, Y.; Kan, K.; Xue, X.; Fernandez-Rodriguez, E. Stability Optimization and Analysis of a Bidirectional Shaft Extension Pump. J. Fluids Eng. 2020, 142, 071203. Available online: https://asmedigitalcollection.asme.org/fluidsengineering/article-abstract/142/7/071203/1074627/Stability-Optimization-and-Analysis-of-a (accessed on 20 April 2022). [CrossRef]
- Ma, P.; Wang, J.; Li, H. Numerical Analysis of Pressure Pulsation for a Bidirectional Pump under Positive and Reverse Operation. Adv. Mech. Eng. 2014, 6, 730280. [Google Scholar] [CrossRef] [Green Version]
- Pei, J.; Meng, F.; Li, Y.; Yuan, S.; Chen, J. Fluid–structure coupling analysis of deformation and stress in impeller of an axial-flow pump with two-way passage. Adv. Mech. Eng. 2016, 8, 168. [Google Scholar] [CrossRef] [Green Version]
- Zhu, J.; Zeng, F. Experimental study on two-way flow passages in pumping system. J. Mech. Sci. Technol. 2008, 22, 1966–1970. [Google Scholar] [CrossRef]
- Pei, J.; Meng, F.; Li, Y.; Yuan, S.; Chen, J. Effects of distance between impeller and guide vane on losses in a low head pump by entropy production analysis. Adv. Mech. Eng. 2016, 8, 168. [Google Scholar] [CrossRef] [Green Version]
- Kan, K.; Zhang, Q.; Xu, Z.; Chen, H.; Zheng, Y.; Zhou, D.; Binama, M. Study on a horizontal axial flow pump during runaway process with bidirectional operating conditions. Sci. Rep. 2021, 11, 1–21. [Google Scholar] [CrossRef]
- Kang, C.; Mao, N.; Pan, C.; Zhou, Y. Turbulent Flow Characteristics in an Axial-flow Pump at Direct and Reverse Modes. J. Appl. Sci. Eng. 2016, 19, 447–458. [Google Scholar] [CrossRef]
- Ma, P.; Wang, J. An analysis on the flow characteristics of bi-directional axial-flow pump under reverse operation. Proc. Inst. Mech. Eng. Part A J. Power Energy 2017, 231, 239–249. [Google Scholar] [CrossRef]
- Ma, P.; Wang, J.; Wang, H. Investigation of performances and flow characteristics of two bi-directional pumps with different airfoil blades. Sci. China Technol. Sci. 2018, 61, 1588–1599. [Google Scholar] [CrossRef]
- Meng, F.; Li, Y.; Yuan, S.; Wang, W.; Zheng, Y.; Osman, M.K. Multiobjective Combination Optimization of an Impeller and Diffuser in a Reversible Axial-Flow Pump Based on a Two-Layer Artificial Neural Network. Processes 2020, 8, 309. [Google Scholar] [CrossRef] [Green Version]
- Zhang, X.; Tang, F.; Chen, Y.; Huang, C.; Chen, Y.; Wang, L.; Shi, L. Experimental Study on the Internal Pressure Pulsation Characteristics of a Bidirectional Axial Flow Pump Operating in Forward and Reverse Directions. Machines 2022, 10, 167. [Google Scholar] [CrossRef]
- Yang, F.; Chang, P.; Li, C.; Shen, Q.; Qian, J.; Li, J. Numerical analysis of pressure pulsation in vertical submersible axial flow pump device under bidirectional operation. AIP Adv. 2022, 12, 025107. [Google Scholar] [CrossRef]



















| Measuring Quantity | Instrument | Instrument Type | Measurement Range | Calibration Accuracy |
|---|---|---|---|---|
| Head | Difference pressure transmitter | EJA110A | 0~250 kPa 0~100 kPa | ±0.076% |
| absolute pressure sensor | EJA130 | 1~100 kPa | ±0.065% | |
| Standard resistance | RX70-0.25 | 250 Ω | ±0.01% | |
| Digital multimeter | 7150 | ±0.002% | ||
| Flow Rate | Electromagnetic flowmeter | E-mag | DN400 mm | ±0.2% |
| Torque | Speed torque sensor | JC1A | 200 Nm | ±0.2% |
| Speed torque sensor indicator | TS-800B | ±0.01% | ||
| Dynamic pressure sensor | CYG505 | −0.1 Mpa–0.15 Mpa | ±0.2% |
| Blade Angles β (°) | Forward Operation NPSHc (m) |
Forward Dynamic Pressure-Drop Coefficient λ2 |
Reverse Operation NPSHc (m) |
Reverse Dynamic Pressure-Drop Coefficient λ2′ |
|---|---|---|---|---|
| −4° | 3.02 | 0.374 | 3.62 | 0.218 |
| −2° | 3.36 | 0.340 | 3.65 | 0.236 |
| 0° | 3.76 | 0.322 | 3.68 | 0.258 |
| +2° | 5.22 | 0.388 | 4.52 | 0.398 |
| +4° | 5.62 | 0.459 | 5.35 | 0.419 |
| Blade Angles β (°) | Resistance Coefficient s1 (m−5s2) | Resistance Coefficient s2 (m−5s2) | Blade Outlet Angle β2 (°) | Guide Vane Inlet Angle α3 (°) |
|---|---|---|---|---|
| −4° | 11.23 | 11.88 | 21 | 74.2 |
| −2° | 9.51 | 10.70 | 23 | 74.2 |
| 0° | 8.85 | 9.98 | 25 | 74.2 |
| +2° | 8.45 | 9.33 | 27 | 74.2 |
| +4° | 8.3 | 8.79 | 29 | 74.2 |
Publisher’s Note: MDPI stays neutral with regard to jurisdictional claims in published maps and institutional affiliations. |
© 2022 by the authors. Licensee MDPI, Basel, Switzerland. This article is an open access article distributed under the terms and conditions of the Creative Commons Attribution (CC BY) license (https://creativecommons.org/licenses/by/4.0/).
Share and Cite
Chen, J.; Mao, J.; Shi, H.; Wang, X. Experimental and Numerical Study on the Hydraulic Characteristics of an S-Type Bidirectional Shaft Tubular Pump. J. Mar. Sci. Eng. 2022, 10, 671. https://doi.org/10.3390/jmse10050671
Chen J, Mao J, Shi H, Wang X. Experimental and Numerical Study on the Hydraulic Characteristics of an S-Type Bidirectional Shaft Tubular Pump. Journal of Marine Science and Engineering. 2022; 10(5):671. https://doi.org/10.3390/jmse10050671
Chicago/Turabian StyleChen, Jiaqi, Jieyun Mao, Hongbo Shi, and Xikun Wang. 2022. "Experimental and Numerical Study on the Hydraulic Characteristics of an S-Type Bidirectional Shaft Tubular Pump" Journal of Marine Science and Engineering 10, no. 5: 671. https://doi.org/10.3390/jmse10050671
APA StyleChen, J., Mao, J., Shi, H., & Wang, X. (2022). Experimental and Numerical Study on the Hydraulic Characteristics of an S-Type Bidirectional Shaft Tubular Pump. Journal of Marine Science and Engineering, 10(5), 671. https://doi.org/10.3390/jmse10050671

