Effects of Different Slope Limiters on Stratified Shear Flow Simulation in a Non-hydrostatic Model
Abstract
1. Introduction
2. Non-Hydrostatic Model (NHWAVE) and Slope Limiter
2.1. Governing Equations
2.2. Numerical Methods
2.3. Slope Limiter
3. Numerical Experiments
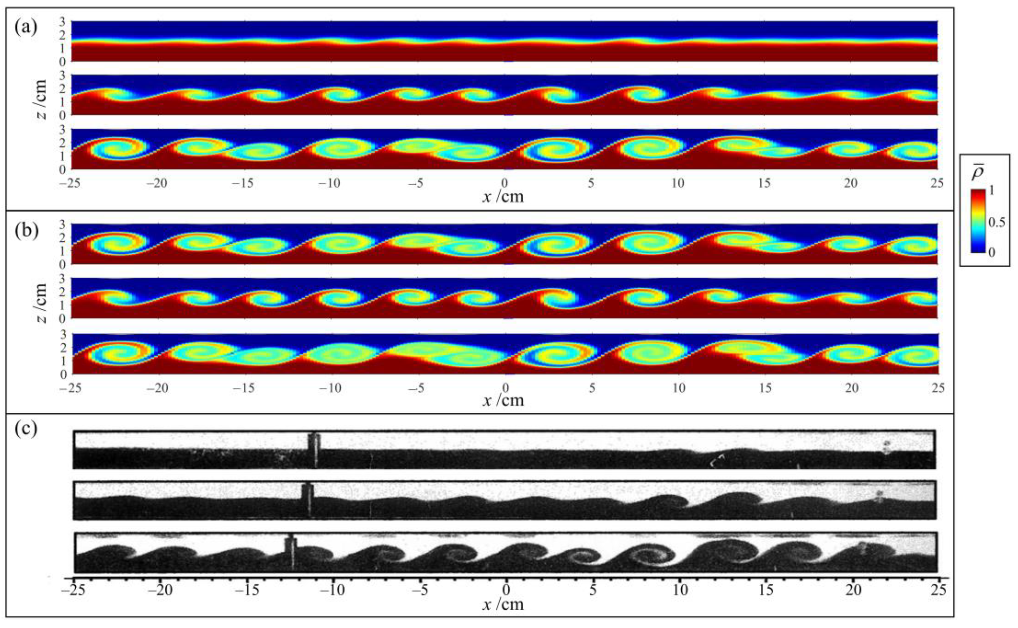
3.1. Shear Instability
3.2. Lock-Exchange Problem
3.2.1. Inviscid Cases
3.2.2. Constant Viscosity Cases
4. Discussion
4.1. Numerical Dissipation
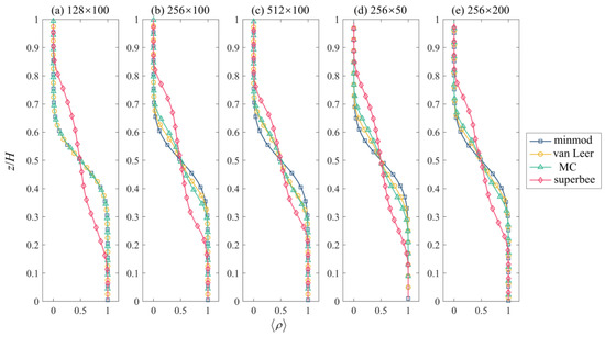
4.2. The Influence of Grid Resolution
4.3. The Validity and Limitation of the Present Method of Slope Limiting
5. Conclusions
- The performances of slope limiters were associated with their different dissipation characteristics. The dissipation can be regarded as ‘damping effects’ in simulation, which can suppress the generation of K-H instability and slow down the development of mixing. Anti-dissipation easily led to over-prediction of mixing and sometimes introduced numerical oscillation to trigger the calculating instability.
- Grid resolution can influence the limiters’ performances. Specifically, the horizontal resolution had a notable influence on simulations with different slope limiters in stratified shear flow simulations. Refining the grids can make the results of different limiters become more similar, but it may not work to reproduce a result in higher quality. Additionally, in application, an effective and suitable limiter ought to be prioritized over further refining the computational mesh.
- In these two tests, the MC limiter had the best performance in simulating the well-defined structures of K-H vortex and did not introduce noticeable numerical errors in terms of energy conservation. Apart from that, the minmod limiter suppressed the generation of K-H instability and development of mixing noticeably because of its significant numerical dissipation; the superbee limiter could lead to non-physical vortices and over-predict mixing effects, and sometimes failed to control oscillation; the performance of the van Leer limiter was similar to that of the MC limiter, while in terms of the capture of interfacial structures, the MC limiter obtained a result that was much closer to DNS’s results in the case of the lock-exchange problem.
- Although the van Leer and MC limiters were similar on robust implementation and model accuracy, their different characteristics could lead to distinct-different simulated results in terms of the mixing features even in a very fine mesh. Their differences in the simulation can affect our understanding about the generation of shear instability and mixing and the hydrodynamical structures stratified flows.
Author Contributions
Funding
Institutional Review Board Statement
Informed Consent Statement
Data Availability Statement
Acknowledgments
Conflicts of Interest
References
- Geyer, W.R.; Lavery, A.; Scully, M.E.; Trowbridge, J.H. Mixing by shear instability at high Reynolds number. Geophys. Res. Lett. 2010, 37, L22607. [Google Scholar] [CrossRef]
- Ivey, G.N.; Winters, K.B.; Koseff, J.R. Density Stratification, Turbulence, but How Much Mixing? Annu. Rev. Fluid Mech. 2008, 40, 169–184. [Google Scholar] [CrossRef]
- Huang, H.; Imran, J.; Pirmez, C. Numerical Model of Turbidity Currents with a Deforming Bottom Boundary. J. Hydraul. Eng. 2005, 131, 283–293. [Google Scholar] [CrossRef]
- Shi, J. Non-Hydrostatic Modelling of Vertical Mxing in Estuaries. Ph.D. Thesis, Hohai University, Nanjing, China, 2016. [Google Scholar]
- Vlasenko, V.; Stashchuk, N.; McEwan, R. High-resolution modelling of a large-scale river plume. Ocean Dyn. 2013, 63, 1307–1320. [Google Scholar] [CrossRef]
- Shi, J.; Tong, C.; Zheng, J.; Zhang, C.; Gao, X. Kelvin-Helmholtz Billows Induced by Shear Instability along the North Passage of the Yangtze River Estuary, China. J. Mar. Sci. Eng. 2019, 7, 92. [Google Scholar] [CrossRef]
- Özgökmen, T.M.; Johns, W.E.; Peters, H.; Matt, S. Turbulent Mixing in the Red Sea Outflow Plume from a High-Resolution Nonhydrostatic Model. J. Phys. Oceanogr. 2003, 33, 1846–1869. [Google Scholar] [CrossRef]
- Zhou, Z.; Yu, X.; Hsu, T.; Shi, F.; Geyer, W.R.; Kirby, J.T. On nonhydrostatic coastal model simulations of shear instabilities in a stratified shear flow at high R eynolds number. J. Geophys. Res. Oceans 2017, 122, 3081–3105. [Google Scholar] [CrossRef]
- Özgökmen, T.M.; Fischer, P.F.; Duan, J.; Iliescu, T. Three-Dimensional Turbulent Bottom Density Currents from a High-Order Nonhydrostatic Spectral Element Model. J. Phys. Oceanogr. 2004, 34, 2006–2026. [Google Scholar] [CrossRef]
- Özgökmen, T.M.; Fischer, P.F.; Duan, J.; Iliescu, T. Entrainment in bottom gravity currents over complex topography from three-dimensional nonhydrostatic simulations. Geophys. Res. Lett. 2004, 31, L13212. [Google Scholar] [CrossRef]
- Shi, F.; Chickadel, C.C.; Hsu, T.-J.; Kirby, J.T.; Farquharson, G.; Ma, G. High-Resolution Non-Hydrostatic Modeling of Frontal Features in the Mouth of the Columbia River. Estuaries Coasts 2016, 40, 296–309. [Google Scholar] [CrossRef]
- Stashchuk, N.; Vlasenko, V. Generation of internal waves by a supercritical stratified plume. J. Geophys. Res. Earth Surf. 2009, 114, C01004. [Google Scholar] [CrossRef]
- Vlasenko, V.; Stashchuk, N.; Inall, M.E.; Hopkins, J.E. Tidal energy conversion in a global hot spot: On the 3-D dynamics of baroclinic tides at the Celtic Sea shelf break. J. Geophys. Res. Oceans 2014, 119, 3249–3265. [Google Scholar] [CrossRef]
- Cao, X.; Zheng, J.; Shi, J.; Zhang, C.; Zhang, J. Evaluating the influence of slope limiters on nearshore wave simulation in a non-hydrostatic model. Appl. Ocean Res. 2021, 112, 102683. [Google Scholar] [CrossRef]
- LeVeque, R.J. Finite Volume Methods for Hyperbolic Problems; Cambridge University Press: Cambridge, UK, 2002; Volume 31. [Google Scholar]
- Erduran, K.S.; Kutija, V.; Hewett, C.J.M. Performance of finite volume solutions to the shallow water equations with shock-capturing schemes. Int. J. Numer. Methods Fluids 2002, 40, 1237–1273. [Google Scholar] [CrossRef]
- Bai, F.-P.; Yang, Z.-H.; Zhou, W.-G. Study of total variation diminishing (TVD) slope limiters in dam-break flow simulation. Water Sci. Eng. 2018, 11, 68–74. [Google Scholar] [CrossRef]
- Ma, G.; Shi, F.; Kirby, J.T. Shock-capturing non-hydrostatic model for fully dispersive surface wave processes. Ocean Model. 2012, 43–44, 22–35. [Google Scholar] [CrossRef]
- Bourgault, D.; Kelley, D.E. A Laterally Averaged Nonhydrostatic Ocean Model. J. Atmospheric Ocean. Technol. 2004, 21, 1910–1924. [Google Scholar] [CrossRef][Green Version]
- González-Avilés, J.J.; Cruz-Osorio, A.; Lora-Clavijo, F.D.; Guzmán, F.S. Newtonian cafe: A new ideal MHD code to study the solar atmosphere. Mon. Not. R. Astron. Soc. 2015, 454, 1871–1885. [Google Scholar] [CrossRef][Green Version]
- Van Leer, B. Towards the ultimate conservative difference scheme. V. A second-order sequel to Godunov′s method. J. Comput. Phys. 1979, 32, 101–136. [Google Scholar] [CrossRef]
- van Leer, B. Towards the ultimate conservative difference scheme. II. Monotonicity and conservation combined in a second-order scheme. J. Comput. Phys. 1974, 14, 361–370. [Google Scholar] [CrossRef]
- Van Leer, B. Towards the ultimate conservative difference scheme. IV. A new approach to numerical convection. J. Comput. Phys. 1977, 23, 276–299. [Google Scholar] [CrossRef]
- Sweby, P.K. High Resolution Schemes Using Flux Limiters for Hyperbolic Conservation Laws. SIAM J. Numer. Anal. 1984, 21, 995–1011. [Google Scholar] [CrossRef]
- Choi, Y.-K.; Shi, F.; Malej, M.; Smith, J.M. Performance of various shock-capturing-type reconstruction schemes in the Boussinesq wave model, FUNWAVE-TVD. Ocean Model. 2018, 131, 86–100. [Google Scholar] [CrossRef]
- Kirby, J.T. Boussinesq Models and Their Application to Coastal Processes across a Wide Range of Scales. J. Waterw. Port Coastal Ocean Eng. 2016, 142, 03116005. [Google Scholar] [CrossRef]
- Ma, G.; Kirby, J.T.; Shi, F. Numerical simulation of tsunami waves generated by deformable submarine landslides. Ocean Model. 2013, 69, 146–165. [Google Scholar] [CrossRef]
- Shi, J.; Shi, F.; Kirby, J.T.; Ma, G.; Wu, G.; Tong, C.; Zheng, J. Pressure Decimation and Interpolation (PDI) method for a baroclinic non-hydrostatic model. Ocean Model. 2015, 96, 265–279. [Google Scholar] [CrossRef]
- Derakhti, M.; Kirby, J.T.; Shi, F.; Ma, G. NHWAVE: Model Revisions and Tests of Wave Breaking in Shallow and Deep Water; University of Delaware: Newark, DE, USA, 2015. [Google Scholar]
- Phillips, N.A. A Coordinate System having Some Special Advantages for Numerical Forecasting. J. Meteorol. 1957, 14, 184–185. [Google Scholar] [CrossRef]
- Gottlieb, S.; Shu, C.-W.; Tadmor, E. Strong Stability-Preserving High-Order Time Discretization Methods. SIAM Rev. 2001, 43, 89–112. [Google Scholar] [CrossRef]
- Toro, E.F.; Spruce, M.; Speares, W. Restoration of the contact surface in the HLL-Riemann solver. Shock Waves 1994, 4, 25–34. [Google Scholar] [CrossRef]
- Zhou, J.; Causon, D.; Mingham, C.; Ingram, D. The Surface Gradient Method for the Treatment of Source Terms in the Shallow-Water Equations. J. Comput. Phys. 2001, 168, 1–25. [Google Scholar] [CrossRef]
- Zhu, J. A low-diffusive and oscillation-free convection scheme. Commun. Appl. Numer. Methods 1991, 7, 225–232. [Google Scholar] [CrossRef]
- Roe, P.L. Some Contributions to the Modeling of Discontinuous Flows. Lect. Appl. Math. 1985, 22, 163–193. [Google Scholar]
- Velechovsky, J.; Francois, M.; Masser, T. Direction-aware slope limiter for three-dimensional cubic grids with adaptive mesh refinement. Comput. Math. Appl. 2019, 78, 670–687. [Google Scholar] [CrossRef]
- Thorpe, S.A. A method of producing a shear flow in a stratified fluid. J. Fluid Mech. 1968, 32, 693–704. [Google Scholar] [CrossRef]
- Miles, J.W. On the stability of heterogeneous shear flows. J. Fluid Mech. 1961, 10, 496–508. [Google Scholar] [CrossRef]
- Fructus, D.; Carr, M.; Grue, J.; Jensen, A.; Davies, P.A. Shear-induced breaking of large internal solitary waves. J. Fluid Mech. 2009, 620, 1–29. [Google Scholar] [CrossRef]
- Barad, M.F.; Fringer, O.B. Simulations of shear instabilities in interfacial gravity waves. J. Fluid Mech. 2010, 644, 61–95. [Google Scholar] [CrossRef]
- Lamb, K.G.; Farmer, D. Instabilities in an Internal Solitary-like Wave on the Oregon Shelf. J. Phys. Oceanogr. 2011, 41, 67–87. [Google Scholar] [CrossRef]
- Härtel, C.; Meiburg, E.; Necker, F. Analysis and direct numerical simulation of the flow at a gravity-current head. Part 1. Flow topology and front speed for slip and no-slip boundaries. J. Fluid Mech. 2000, 418, 189–212. [Google Scholar] [CrossRef]
- Fringer, O.; Gerritsen, M.; Street, R. An unstructured-grid, finite-volume, nonhydrostatic, parallel coastal ocean simulator. Ocean Model. 2006, 14, 139–173. [Google Scholar] [CrossRef]
- Lai, Z.; Chen, C.; Cowles, G.W.; Beardsley, R.C. A nonhydrostatic version of FVCOM: 1. Validation experiments. J. Geophys. Res. Earth Surf. 2010, 115, C11010. [Google Scholar] [CrossRef]
- Shin, J.O.; Dalziel, S.B.; Linden, P.F. Gravity currents produced by lock exchange. J. Fluid Mech. 2004, 521, 1–34. [Google Scholar] [CrossRef]
- Berger, M.; Aftosmis, M.; Muman, S. Analysis of Slope Limiters on Irregular Grids; American Institute of Aeronautics and Astronautics: Reno, NV, USA, 2005. [Google Scholar] [CrossRef]
- Lin, L.; Liu, Z. TVDal: Total variation diminishing scheme with alternating limiters to balance numerical compression and diffusion. Ocean Model. 2019, 134, 42–50. [Google Scholar] [CrossRef]
- Patankar, S.V. Numerical Heat Transfer and Fluid Flow, 1st ed.; CRC Press: Boca Raton, FL, USA, 1980; ISBN 9781315275130. [Google Scholar]
- Shi, J.; Shi, F.; Zheng, J.; Zhang, C.; Malej, M.; Wu, G. Interplay between grid resolution and pressure decimation in non-hydrostatic modeling of internal waves. Ocean Eng. 2019, 186, 106110. [Google Scholar] [CrossRef]
- Wadzuk, B.M.; Hodges, B.R. Hydrostatic versus Nonhydrostatic Euler-Equation Modeling of Nonlinear Internal Waves. J. Eng. Mech. 2009, 135, 1069–1080. [Google Scholar] [CrossRef]
- Kim, K.H.; Kim, C. Accurate, efficient and monotonic numerical methods for multi-dimensional compressible flows: Part II: Multi-dimensional limiting process. J. Comput. Phys. 2005, 208, 570–615. [Google Scholar] [CrossRef]
- Yoon, S.-H.; Kim, C.; Kim, K.-H. Multi-dimensional limiting process for three-dimensional flow physics analyses. J. Comput. Phys. 2008, 227, 6001–6043. [Google Scholar] [CrossRef]
- An, H.; Yu, S. An accurate multidimensional limiter on quadtree grids for shallow water flow simulation. J. Hydraul. Res. 2014, 52, 565–574. [Google Scholar] [CrossRef]
- Kang, H.-M.; Kim, K.H.; Lee, D.-H. A new approach of a limiting process for multi-dimensional flows. J. Comput. Phys. 2010, 229, 7102–7128. [Google Scholar] [CrossRef]
- Zhang, S.-T.; Chen, F.; Liu, H. Assessment of Limiting Processes of Numerical Schemes on Hypersonic Aeroheating Predictions. J. Thermophys. Heat Transf. 2016, 30, 754–769. [Google Scholar] [CrossRef]
















| Case No. | Nx × Nz * | Δx (m) | Δσ | |
|---|---|---|---|---|
| 1 | 128 × 100 | 0.004 | 0.010 | |
| 2 | 256 × 100 | 0.002 | 0.010 | baseline case |
| 3 | 512 × 100 | 0.001 | 0.010 | |
| 4 | 256 × 50 | 0.002 | 0.020 | |
| 5 | 256 × 200 | 0.002 | 0.005 |
| Case No. | Nx × Nz * | Δx (m) | Δσ | |
|---|---|---|---|---|
| 1 | 200 × 100 | 0.004 | 0.010 | |
| 2 | 400 × 100 | 0.002 | 0.010 | baseline case |
| 3 | 800 × 100 | 0.001 | 0.010 | |
| 4 | 400 × 50 | 0.002 | 0.020 | |
| 5 | 400 × 200 | 0.002 | 0.005 |
Publisher’s Note: MDPI stays neutral with regard to jurisdictional claims in published maps and institutional affiliations. |
© 2022 by the authors. Licensee MDPI, Basel, Switzerland. This article is an open access article distributed under the terms and conditions of the Creative Commons Attribution (CC BY) license (https://creativecommons.org/licenses/by/4.0/).
Share and Cite
Hu, L.; Xu, J.; Wang, L.; Zhu, H. Effects of Different Slope Limiters on Stratified Shear Flow Simulation in a Non-hydrostatic Model. J. Mar. Sci. Eng. 2022, 10, 489. https://doi.org/10.3390/jmse10040489
Hu L, Xu J, Wang L, Zhu H. Effects of Different Slope Limiters on Stratified Shear Flow Simulation in a Non-hydrostatic Model. Journal of Marine Science and Engineering. 2022; 10(4):489. https://doi.org/10.3390/jmse10040489
Chicago/Turabian StyleHu, Lihan, Jin Xu, Lingling Wang, and Hai Zhu. 2022. "Effects of Different Slope Limiters on Stratified Shear Flow Simulation in a Non-hydrostatic Model" Journal of Marine Science and Engineering 10, no. 4: 489. https://doi.org/10.3390/jmse10040489
APA StyleHu, L., Xu, J., Wang, L., & Zhu, H. (2022). Effects of Different Slope Limiters on Stratified Shear Flow Simulation in a Non-hydrostatic Model. Journal of Marine Science and Engineering, 10(4), 489. https://doi.org/10.3390/jmse10040489

