A Numerical Study of a Submerged Water Jet Impinging on a Stationary Wall
Abstract
:1. Introduction
2. Modeling and Numerical Methods
2.1. Model Building
2.2. Numerical Methods and Boundary Conditions
- (1)
- Inlet boundary: the nozzle inlet face was set up as a velocity inlet;
- (2)
- Outlet boundary: the outlet was far from the impact origin, and the turbulent flow reached relative equilibrium, so a pressure outlet was used;
- (3)
- Wall condition: the solid wall was set up as a non-slip wall surface.
2.3. Grid Independence Analysis
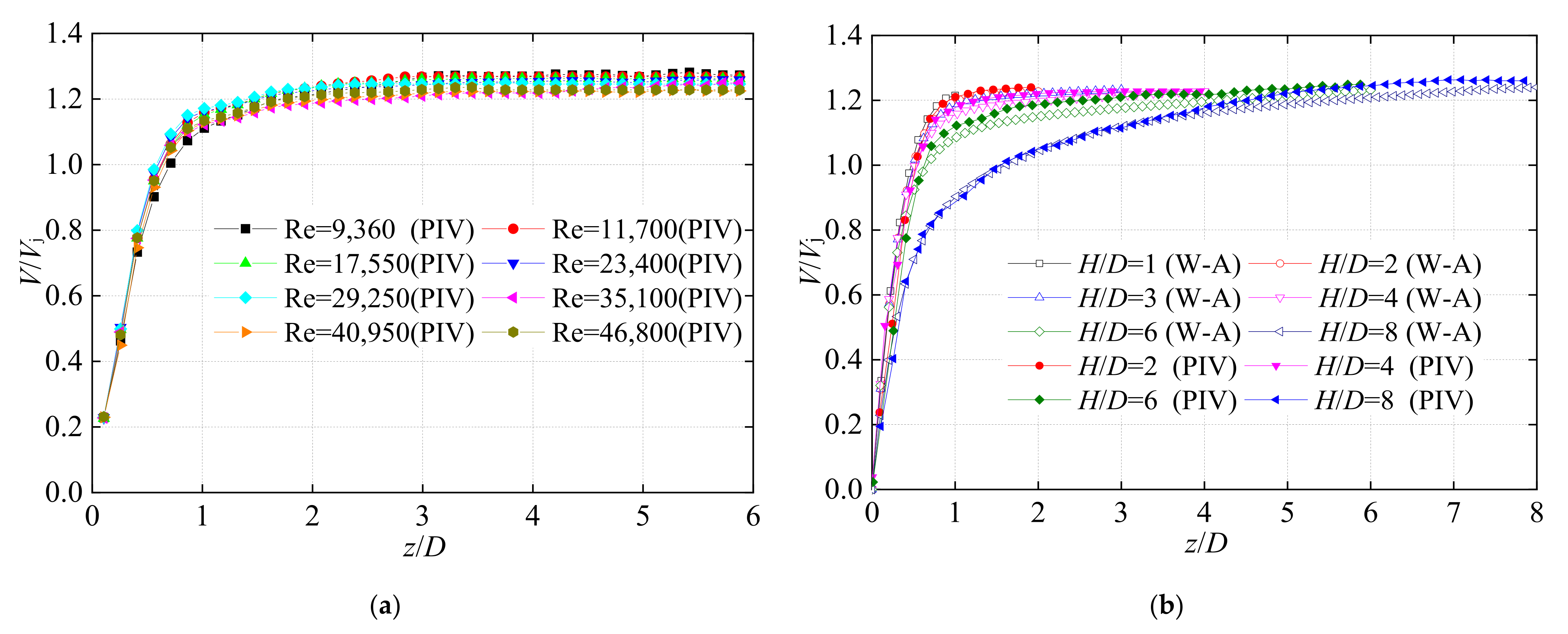
2.4. Turbulence Model Verification
2.5. Nozzle Length Analysis
2.5.1. Choice of Nozzle Length
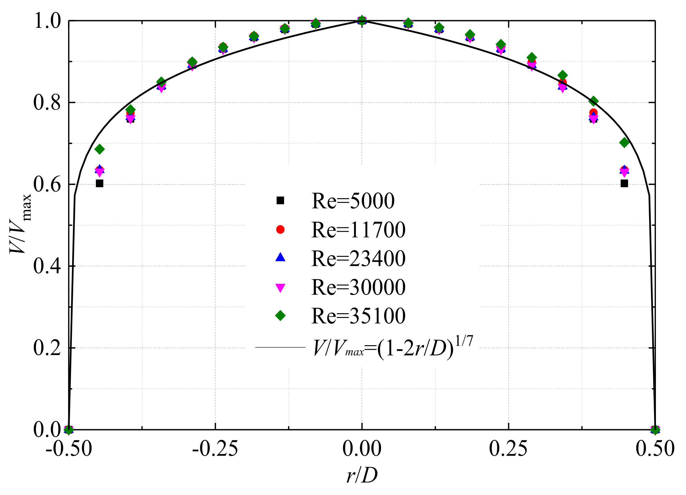
2.5.2. Demonstration of the Full Development of Turbulence
3. Research on Continuous Jet Impacting on Static Wall
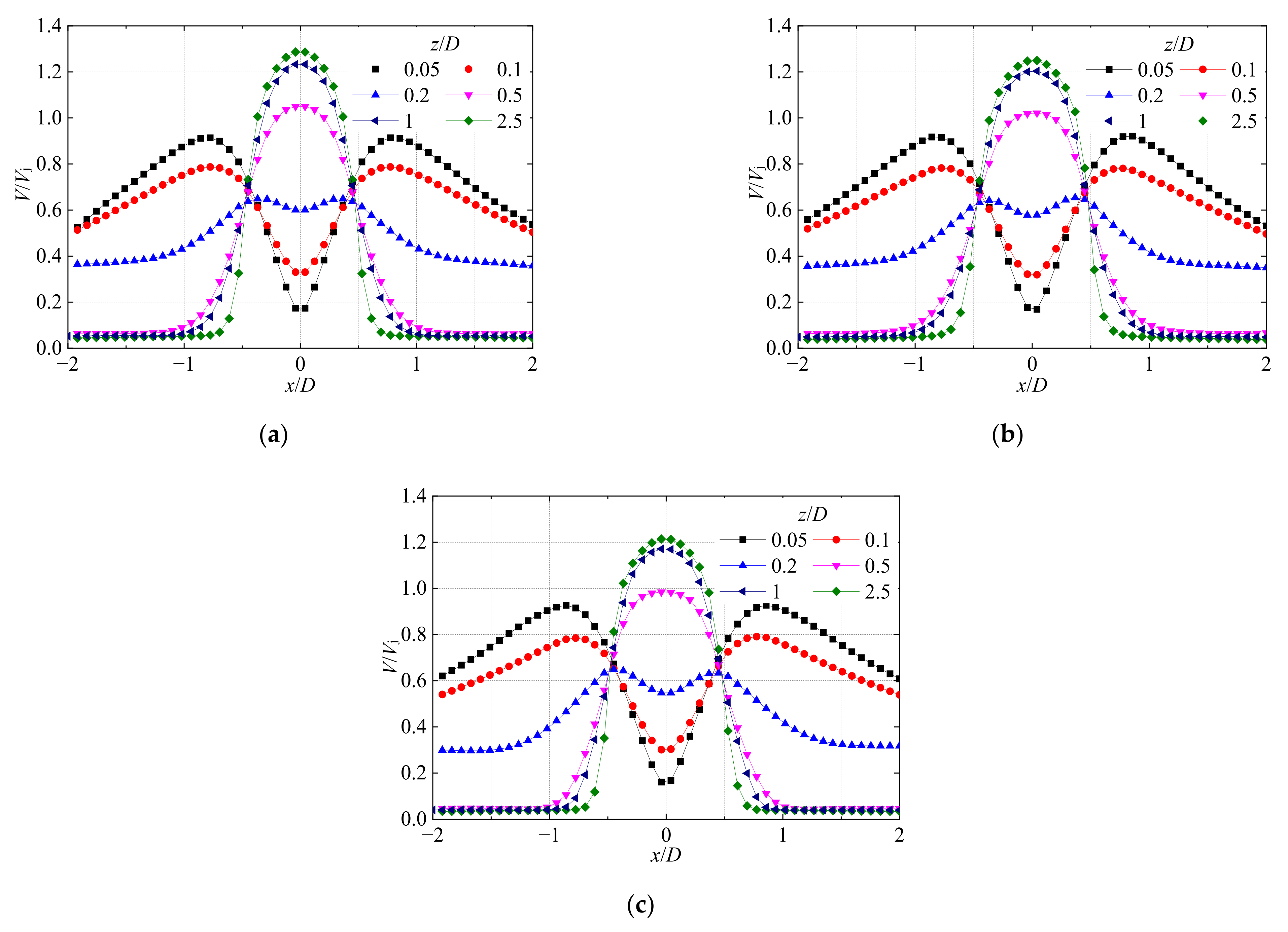
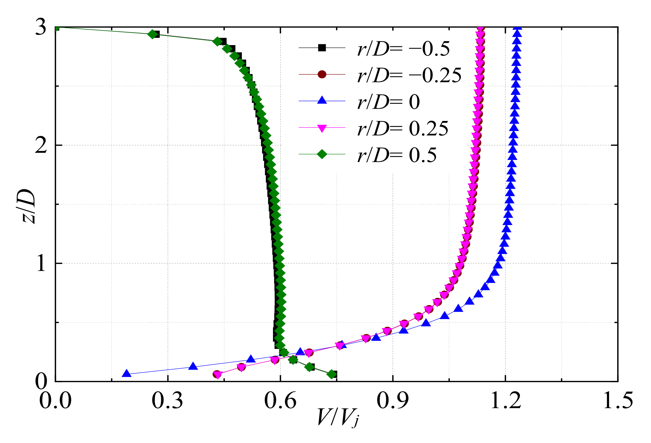
3.1. Flow Field Analysis of Impinging Jet
3.2. Analysis of the Flow Field of the Impact Jet with Different Impact Heights
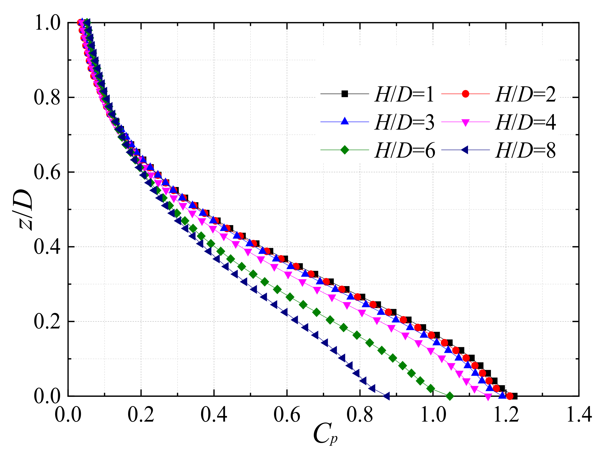
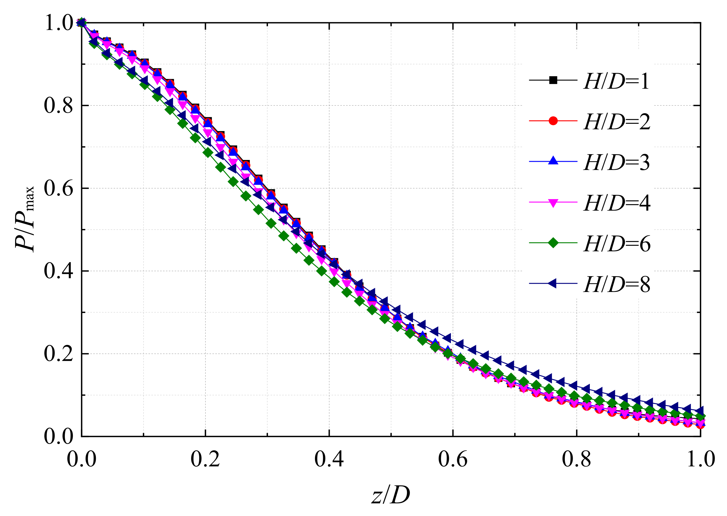
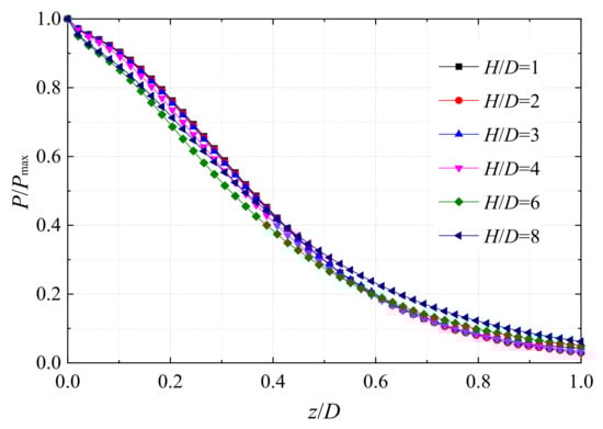
3.3. Time-Averaged Pressure Distribution of Impinging Jet
4. Conclusions
- (1)
- The Wray–Agarwal turbulence model is able to better predict the flow characteristics when a continuous jet impinges on a stationary wall. It is found through numerical simulations that the jet flow structure depends on impact height H/D and is relatively independent of the Reynolds number.
- (2)
- The dimensionless average velocity V/Vj along the centerline of the jet remains constant in the core region but drops rapidly in the transition and impact region. As the impact height increases, the degree of diffusion of the jet reaching the impact region increases, and the velocity gradually decreases. Near the stagnation point (x/D = 0), the fluid radial velocity first increases and then decreases.
- (3)
- The pressure coefficient Cp on the jet axis increases gradually with the decrease in the axial position z/D, and the increasing trend first increases and then decreases. As the impact height increases, the maximum pressure coefficient Cpmax gradually decreases, and the rate of decrease gradually increases.
- (4)
- The dimensionless pressure P/Pmax distribution basically coincides under different impact heights, and all reach the maximum impact pressure at the impact wall.
Author Contributions
Funding
Institutional Review Board Statement
Informed Consent Statement
Data Availability Statement
Conflicts of Interest
References
- Dong, Z. Impinging Jets; China Ocean Press: Beijing, China, 1997. [Google Scholar]
- Wang, L.; Wang, G. Experimental and Theoretical Study on the Critical Breaking Velocity of Marine Natural Gas Hydrate Sediments Breaking by Water Jet. Energies 2020, 13, 1725. [Google Scholar] [CrossRef] [Green Version]
- Liu, G.; Yuan, Z.; Incecik, A.; Leng, D.; Wang, S.; Li, Z. A new biomimetic antifouling method based on water jet for marine structures. Proc. Inst. Mech. Eng. Part M J. Eng. Marit. Environ. 2020, 234, 573–584. [Google Scholar] [CrossRef]
- Song, C.; Cui, W. Review of underwater ship hull cleaning technologies. J. Mar. Sci. Appl. 2020, 19, 415–429. [Google Scholar] [CrossRef]
- Atangana Njock, P.G.; Zheng, Q.; Zhang, N.; Xu, Y.S. Perspective Review on Subsea Jet Trenching Technology and Modeling. J. Mar. Sci. Eng. 2020, 8, 460. [Google Scholar] [CrossRef]
- Liu, G.; Jiang, W.; Yuan, Z.; Xie, Y.; Tian, X.; Leng, D.; Atilla, I.; Li, Z. Design and optimization of a water jet-based biomimetic antifouling model for marine structures. Phys. Fluids 2020, 32, 097101. [Google Scholar] [CrossRef]
- Fitzgerald, J.A.; Garimella, S.V. A study of the flow field of a confined and submerged impinging jet. Int. J. Heat Mass Transf. 1998, 41, 1025–1034. [Google Scholar] [CrossRef]
- Abdel-Fattah, A. Numerical and experimental study of turbulent impinging twin-jet flow. Exp. Therm. Fluid Sci. 2007, 31, 1061–1072. [Google Scholar] [CrossRef]
- Hassan, M.E.; Assoum, H.H.; Sobolik, V.; Abed-Meraim, K.; Sakout, A. Experimental investigation of the wall shear stress in a circular impinging jet. Phys. Fluids 2013, 25, 106–115. [Google Scholar] [CrossRef]
- Charmiyan, M.; Azimian, A.R.; Shirani, E.; Aloui, F.; Degouet, C.; Michaelis, D. 3D tomographic PIV, POD and vortex identification of turbulent slot jet flow impinging on a flat plate. J. Mech. Sci. Technol. 2017, 31, 5347–5357. [Google Scholar] [CrossRef]
- Pieris, S.; Zhang, X.; Yarusevych, S.; Peterson, S.D. Evolution of coherent structures in a two-dimensional impinging jet. In Tenth International Symposium on Turbulence and Shear Flow Phenomena; Tsfp Digital Library Online; Begel House Inc.: Danbury, CT, USA, 2017. [Google Scholar]
- Markal, B.; Aydin, O. Experimental Investigation of Coaxial Impinging Air Jets. Appl. Therm. Eng. 2018, 141, 1120–1130. [Google Scholar] [CrossRef]
- Zhang, L.; Wang, C.; Zhang, Y.; Xiang, W.; He, Z.; Shi, W. Numerical study of coupled flow in blocking pulsed jet impinging on a rotating wall. J. Braz. Soc. Mech. Sci. Eng. 2021, 43, 508. [Google Scholar] [CrossRef]
- Xu, K.; Zhang, P. Numerical prediction of turbulent heat transfer in a semi-confined impinging jet. J. Trans. Beijing Inst. Technol. 2003, 23, 540–544. [Google Scholar]
- Chen, Q.; Xu, Z.; Zhang, Y. Numerical Simulation of Turbulent Impinging Jet Flow Using a Modified Renormalization Group Model. J. Xian Jiaotong Univ. 2002, 36, 916–920. [Google Scholar]
- Jiao, L.; Wang, L.; Xu, R.; Li, J. Numerical Predicting of The Effect of Jet-To-Target Plate Spacing on Submerged Impinging Jet Flow. J. Eng. Thermophys. 2005, 26, 773–775. [Google Scholar]
- Bhatti, M.M.; Alamri, S.Z.; Ellahi, R.; Abdelsalam, S.I. Intra-uterine particle–fluid motion through a compliant asymmetric tapered channel with heat transfer. J. Therm. Anal. Calorim. 2021, 144, 2259–2267. [Google Scholar] [CrossRef]
- Bhatti, M.M.; Abdelsalam, S.I. Thermodynamic entropy of a magnetized Ree-Eyring particle-fluid motion with irreversibility process: A mathematical paradigm. ZAMM J. Appl. Math. Mech. 2020, 101, e202000186. [Google Scholar] [CrossRef]
- Abumandour, R.M.; Eldesoky, I.M.; Kamel, M.H.; Ahmed, M.M.; Abdelsalam, S.I. Peristaltic thrusting of a thermal-viscosity nanofluid through a resilient vertical pipe. Z. Nat. A 2020, 75, 727–738. [Google Scholar] [CrossRef]
- Abdelsalam, S.I.; Zaher, A.Z. Leveraging elasticity to uncover the role of rabinowitsch suspension through a wavelike conduit: Consolidated blood suspension application. Mathematics 2021, 9, 2008. [Google Scholar] [CrossRef]
- Raza, R.; Mabood, F.; Naz, R.; Abdelsalam, S.I. Thermal transport of radiative Williamson fluid over stretchable curved surface. J. Therm. Sci. Eng. Prog. 2021, 23, 100887. [Google Scholar] [CrossRef]
- Bhatti, M.M.; Abdelsalam, S.I. Bio-inspired peristaltic propulsion of hybrid nanofluid flow with Tantalum (Ta) and Gold (Au) nanoparticles under magnetic effects. Waves Random Complex Media 2021, 1–26. [Google Scholar] [CrossRef]
- Huo, W.; Li, Z.; Wang, J.; Yao, C.; Zhang, K.; Huang, Y. Multiple hydrological models comparison and an improved Bayesian model averaging approach for ensemble prediction over semi-humid regions. Stoch. Environ. Res. Risk Assess. 2019, 33, 217–238. [Google Scholar] [CrossRef]
- Zhang, Z.; Luo, C.; Zhao, Z. Application of probabilistic method in maximum tsunami height prediction considering stochastic seabed topography. Nat. Hazards 2020, 104, 2511–2530. [Google Scholar] [CrossRef]
- Xu, J.; Lan, W.; Ren, C.; Zhou, X.; Wang, S.; Yuan, J. Modeling of coupled transfer of water, heat and solute in saline loess considering sodium sulfate crystallization. J. Cold Reg. Sci. Technol. 2021, 189, 103335. [Google Scholar] [CrossRef]
- Zhang, Y.; Zhang, F.; Xu, Y.; Huang, W.; Wu, L.; Dong, Z.; Zhang, Y.; Dong, B.; Zhang, X.; Zhang, H. Epitaxial Growth of Topological Insulators on Semiconductors (Bi2Se3/Te@ Se) toward High-Performance Photodetectors. Small Methods 2019, 3, 1900349. [Google Scholar] [CrossRef]
- Wang, J.; Ai, K.; Lu, L. Flame-retardant porous hexagonal boron nitride for safe and effective radioactive iodine capture. J. Mater. Chem. A. 2019, 7, 16850–16858. [Google Scholar] [CrossRef]
- Wang, X.; Lyu, X. Experimental study on vertical water entry of twin spheres side-by-side. Ocean Eng. 2021, 221, 108508. [Google Scholar] [CrossRef]
- Wu, H.; Zhang, F.; Zhang, Z. Droplet breakup and coalescence of an internal-mixing twin-fluid spray. Phys. Fluids 2021, 33, 013317. [Google Scholar] [CrossRef]
- Bhatti, M.M.; Marin, M.I.; Zeeshan, A.; Abdelsalam, S.I. Recent trends in computational fluid dynamics. Front. Phys. 2020, 8, 453. [Google Scholar] [CrossRef]
- Zhu, Y.; Li, G.; Wang, R.; Tang, S.; Su, H.; Cao, K. Intelligent fault diagnosis of hydraulic piston pump combining improved lenet-5 and pso hyperparameter optimization. Appl. Acoust. 2021, 183, 108336. [Google Scholar] [CrossRef]
- Shi, L.; Zhu, J.; Tang, F.; Wang, C. Multi-Disciplinary optimization design of axial-flow pump impellers based on the approximation model. Energies 2020, 13, 779. [Google Scholar] [CrossRef] [Green Version]
- Zhou, J.; Zhao, M.; Wang, C.; Gao, Z. Optimal design of diversion piers of lateral intake pumping station based on orthogonal test. Shock. Vib. 2021, 5, 1–9. [Google Scholar] [CrossRef]
- Wang, H.; Hu, Q.; Yang, Y.; Wang, C. Performance differences of electrical submersible pump under variable speed schemes. Int. J. Simul. Model. 2021, 20, 76–86. [Google Scholar] [CrossRef]
- Lin, Y.; Li, X.; Li, B.; Jia, X.; Zhu, Z. Influence of impeller sinusoidal tubercle trailing edge on pressure pulsation in a centrifugal pump at nominal flow rate. ASME J. Fluids Eng. 2021, 143, 091205. [Google Scholar] [CrossRef]
- Lin, T.; Zhu, Z.; Li, X.; Li, J.; Lin, Y. Theoretical, experimental, and numerical methods to predict the best efficiency point of centrifugal pump as turbine. Renew. Energy 2021, 168, 31–44. [Google Scholar] [CrossRef]
- Khan, A.; Irfan, M.; Niazi, U.M.; Shah, I.; Legutko, S.; Rahman, S.; Alwadie, A.S.; Jalalah, M.; Glowacz, A.; Khan, M.K.A. Centrifugal Compressor Stall Control by the Application of Engineered Surface Roughness on Diffuser Shroud Using Numerical Simulations. Materials 2021, 14, 2033. [Google Scholar] [CrossRef] [PubMed]
- Yang, Y.; Zhou, L.; Hang, J.; Du, D.; Shi, W.; He, Z. Energy characteristics and optimal design of diffuser meridian in an electrical submersible pump. Renew. Energy 2021, 167, 718–727. [Google Scholar] [CrossRef]
- Wang, H.; Long, B.; Wang, C.; Han, C.; Li, L. Effects of the impeller blade with a slot structure on the centrifugal pump performance. Energies 2020, 13, 1628. [Google Scholar] [CrossRef]
- Li, X.; Shen, T.; Li, P.; Guo, X.; Zhu, Z. Extended compressible thermal cavitation model for the numerical simulation of cryogenic cavitating flow. Int. J. Hydrog. Energy 2020, 45, 10104–10118. [Google Scholar] [CrossRef]
- Yang, Y.; Zhou, L.; Shi, W.; He, Z.; Han, Y.; Xiao, Y. Interstage difference of pressure pulsation in a three-stage electrical submersible pump. J. Pet. Sci. Eng. 2021, 196, 107653. [Google Scholar] [CrossRef]
- Yang, Y.; Zhou, L.; Bai, L.; Xu, H.; Lv, W.; Shi, W.; Wang, H. Numerical Investigation of Tip Clearance Effects On the Performance and Flow Pattern within a Sewage Pump. J. Fluids Eng. 2022, FE-21-1345. [Google Scholar] [CrossRef]
- Zhang, X.; Agarwal, R.K.; Gao, H.; Zhou, L. Numerical Investigation of a Submerged Water Jet Impinging at Various Angles on Ground. In Proceedings of the AIAA Scitech 2020 Forum, Orlando, FL, USA, 6–10 January 2020; p. 2038. [Google Scholar]
- Han, Y.; Zhou, L.; Bai, L.; Shi, W.; Agarwal, R. Comparison and validation of various turbulence models for U-bend flow with a magnetic resonance velocimetry experiment. Phys. Fluids 2021, 33, 125117. [Google Scholar] [CrossRef]
- Cooper, D.; Jackson, D.C.; Launder, B.E.; Liao, G.X. Impinging jet studies for turjulence model assessment—I. Flow-field experiments. Int. J. Heat Mass Transf. 1993, 36, 2675–2684. [Google Scholar] [CrossRef]



















| Existing Literature | Turbulence Model Used | The Improvements of This Paper Compared with the Literature |
|---|---|---|
| Xu et al. [14] | Standard k–ε RNG k–ε with wall function Low Reynolds number k–ε | In the literature, all three turbulence models failed to predict the flow characteristics and heat transfer properties of the impinging jet field completely and accurately, but the Wray–Agarwal turbulence model used in this paper agrees well with the experimental data and predicts the flow structure of the impinging jet more accurately. |
| Chen et al. [15] | Improved RNG k–ε | The accuracy of the improved RNG k–ε turbulence model used in the literature has been improved somewhat, but there are still some errors in the prediction of the mean velocity and turbulent kinetic energy in the near-wall region. However, compared with the Particle Image Velocimetry (PIV) experimental results, the Wray–Agarwal turbulence model used in this paper solves the prediction problem of the flow in the near-wall region better and the error is better controlled. |
| Jiao et al. [16] | Standard k–ε | The literature and the previous two have reached similar conclusions that the standard model cannot accurately predict the flow structure and turbulence intensity distribution in the impact zone and near-wall flow of a water jet impinging on a flat plate. With reference to the high-precision PIV experimental data, the numerical simulation results in this paper have strongly demonstrated that the Wray–Agarwal turbulence model has good results in simulating the flow in the near-wall region of the impinging jet. |
Publisher’s Note: MDPI stays neutral with regard to jurisdictional claims in published maps and institutional affiliations. |
© 2022 by the authors. Licensee MDPI, Basel, Switzerland. This article is an open access article distributed under the terms and conditions of the Creative Commons Attribution (CC BY) license (https://creativecommons.org/licenses/by/4.0/).
Share and Cite
Hu, B.; Wang, H.; Liu, J.; Zhu, Y.; Wang, C.; Ge, J.; Zhang, Y. A Numerical Study of a Submerged Water Jet Impinging on a Stationary Wall. J. Mar. Sci. Eng. 2022, 10, 228. https://doi.org/10.3390/jmse10020228
Hu B, Wang H, Liu J, Zhu Y, Wang C, Ge J, Zhang Y. A Numerical Study of a Submerged Water Jet Impinging on a Stationary Wall. Journal of Marine Science and Engineering. 2022; 10(2):228. https://doi.org/10.3390/jmse10020228
Chicago/Turabian StyleHu, Bo, Hui Wang, Jinhua Liu, Yong Zhu, Chuan Wang, Jie Ge, and Yingchong Zhang. 2022. "A Numerical Study of a Submerged Water Jet Impinging on a Stationary Wall" Journal of Marine Science and Engineering 10, no. 2: 228. https://doi.org/10.3390/jmse10020228
APA StyleHu, B., Wang, H., Liu, J., Zhu, Y., Wang, C., Ge, J., & Zhang, Y. (2022). A Numerical Study of a Submerged Water Jet Impinging on a Stationary Wall. Journal of Marine Science and Engineering, 10(2), 228. https://doi.org/10.3390/jmse10020228

