Comparison of Velocity Obstacle and Artificial Potential Field Methods for Collision Avoidance in Swarm Operation of Unmanned Surface Vehicles
Abstract
1. Introduction
2. Basic Algorithm
2.1. USV Dynamic Model
2.2. Guidance and Control
2.3. Virtual Matrix Approach
2.4. Command Optimization
3. Methodology
3.1. APF Method
3.2. B-APF Method
3.3. VO Method
- Definition of collision cone ;

- Definition of velocity obstacle ;
3.4. Estination of CRI
4. Simulation
Swarm Operation Simulation
5. Conclusions
Author Contributions
Funding
Institutional Review Board Statement
Informed Consent Statement
Conflicts of Interest
Appendix A
Appendix A.1. Validation of APF Method
| Parameter | Value |
|---|---|
| Simulation time | 100 s |
| Max. control size | 4 |
| Virtual matrix size | 2 × 2 |
| Number of agents | 2 |
| Coefficient | Minimum Distance (m) | Distance (m) | ErrorWP (m) | Battery Usage (%) | ||||
|---|---|---|---|---|---|---|---|---|
| a | b | Agent 1 | Agent 2 | Agent 1 | Agent 2 | Agent 1 | Agent 2 | |
| 2 | 6/64 | 3.46 | 40.54 | 59.52 | 9.84 | 17.39 | 0.087 | 0.168 |
| 3 | 6/64 | 3.93 | 40.86 | 60.25 | 9.86 | 17.54 | 0.088 | 0.171 |
| 4 | 6/64 | 4.31 | 41.12 | 60.77 | 9.89 | 17.66 | 0.089 | 0.173 |
| 5 | 6/64 | 4.64 | 41.36 | 61.14 | 9.91 | 17.75 | 0.090 | 0.175 |
| 6 | 6/64 | 4.90 | 41.54 | 61.49 | 9.94 | 17.82 | 0.091 | 0.177 |
| 7 | 6/64 | 5.12 | 41.63 | 61.65 | 9.96 | 17.88 | 0.091 | 0.177 |
| 8 | 6/64 | 5.30 | 41.69 | 61.70 | 9.97 | 17.92 | 0.091 | 0.178 |
| 9 | 6/64 | 5.45 | 41.78 | 61.85 | 9.99 | 17.95 | 0.092 | 0.178 |
| 10 | 6/64 | 5.57 | 41.81 | 61.88 | 10.00 | 17.97 | 0.092 | 0.178 |
| 2 | 1/64 | 7.10 | 40.74 | 61.47 | 10.69 | 19.34 | 0.086 | 0.175 |
| 2 | 2/64 | 5.53 | 41.06 | 61.36 | 10.16 | 18.33 | 0.088 | 0.176 |
| 2 | 3/64 | 4.68 | 40.92 | 60.77 | 9.99 | 17.89 | 0.088 | 0.174 |
| 2 | 4/64 | 4.13 | 40.75 | 60.35 | 9.91 | 17.66 | 0.088 | 0.172 |
| 2 | 5/64 | 3.75 | 40.66 | 59.94 | 9.86 | 17.49 | 0.087 | 0.170 |
| 2 | 6/64 | 3.46 | 40.54 | 59.52 | 9.84 | 17.39 | 0.087 | 0.168 |
| 2 | 7/64 | 3.23 | 40.46 | 59.27 | 9.83 | 17.31 | 0.087 | 0.167 |
| 2 | 8/64 | 3.04 | 40.42 | 59.04 | 9.83 | 17.26 | 0.087 | 0.165 |





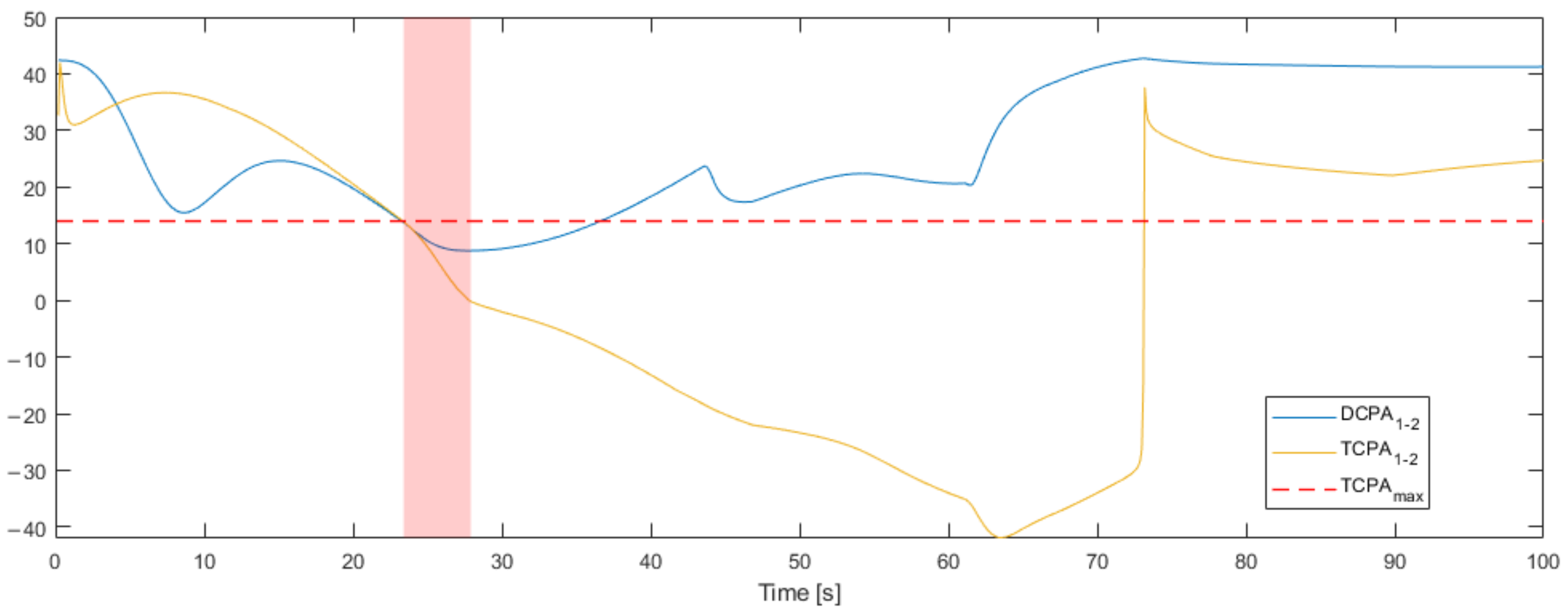
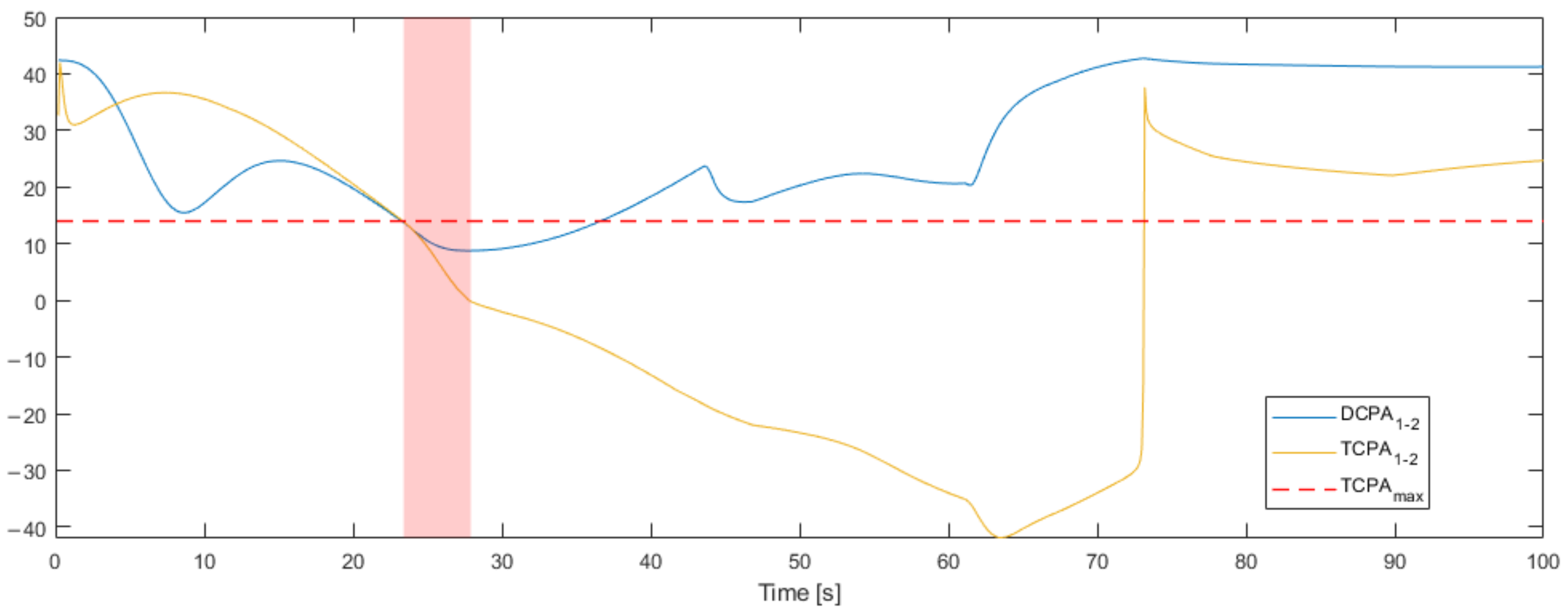
Appendix A.2. Validation of VO Method
| Parameter | Value |
|---|---|
| Simulation time | 100 s |
| Virtual matrix size | 2 × 2 |
| Number of agents | 2 |
| TCPAmax (s) | DCPAmin (m) | Minimum Distance (m) | Distance (m) | ErrorWP (m) | Battery Usage (%) | |||
|---|---|---|---|---|---|---|---|---|
| Agent 1 | Agent 2 | Agent 1 | Agent 2 | Agent 1 | Agent 2 | |||
| ∞ | 6 | 3.10 | 48.75 | 59.39 | 8.34 | 10.87 | 0.147 | 0.196 |
| ∞ | 8 | 4.37 | 48.88 | 60.39 | 8.40 | 11.13 | 0.147 | 0.201 |
| ∞ | 10 | 5.82 | 49.23 | 61.14 | 8.50 | 11.37 | 0.148 | 0.204 |
| ∞ | 12 | 7.55 | 49.59 | 61.66 | 8.63 | 11.59 | 0.149 | 0.206 |
| ∞ | 14 | 8.75 | 49.42 | 61.76 | 8.77 | 11.83 | 0.147 | 0.205 |
| 6 | ∞ | 3.22 | 48.80 | 59.47 | 8.34 | 10.89 | 0.147 | 0.197 |
| 8 | ∞ | 4.37 | 48.88 | 60.39 | 8.40 | 11.13 | 0.147 | 0.201 |
| 10 | ∞ | 5.99 | 49.24 | 61.41 | 8.53 | 11.43 | 0.148 | 0.205 |
| 12 | ∞ | 7.65 | 49.41 | 61.58 | 8.62 | 11.60 | 0.148 | 0.205 |
| 14 | ∞ | 8.81 | 49.44 | 61.89 | 8.75 | 11.82 | 0.147 | 0.206 |



References
- Belleter, D.J.W.; Pettersen, K.Y. Underactuated leader-follower synchronisation for multi-agent systems with rejection of unknown disturbances. In Proceedings of the 2015 American Control Conference (ACC), Chicago, IL, USA, 1–3 July 2015. [Google Scholar]
- Cui, R.; Sam Ge, S.; Voon Ee How, B.; Sang Choo, Y. Leader–follower formation control of underactuated autonomous underwater vehicles. Ocean Eng. 2010, 37, 1491–1502. [Google Scholar] [CrossRef]
- Kanjanawanishkul, K. Coordinated path following for mobile robots using a virtual structure strategy with model predictive control. Automatika 2014, 55, 287–298. [Google Scholar] [CrossRef]
- Mehrjerdi, H.; Ghommam, J.; Saad, M. Nonlinear Coordination Control for a group of mobile robots using a virtual structure. Mechatronics 2011, 21, 1147–1155. [Google Scholar] [CrossRef]
- Chen, J.; Gan, M.; Huang, J.; Dou, L.; Fang, H. Formation control of multiple Euler-Lagrange systems via null-space-based behavioral control. Sci. China Inf. Sci. 2015, 59, 1–11. [Google Scholar] [CrossRef]
- Glotzbach, T.; Schneider, M.; Otto, P. Cooperative line of sight target tracking for heterogeneous unmanned Marine Vehicle Teams: From Theory to practice. Robot. Auton. Syst. 2015, 67, 53–60. [Google Scholar] [CrossRef]
- Lee, G.; Chwa, D. Decentralized behavior-based formation control of multiple robots considering obstacle avoidance. Intell. Serv. Robot. 2017, 11, 127–138. [Google Scholar] [CrossRef]
- Edwards, D.B.; Bean, T.A.; Odell, D.L.; Anderson, M.J. A leader-follower algorithm for multiple AUV formations. In Proceedings of the 2004 IEEE/OES Autonomous Underwater Vehicles (IEEE Cat. No.04CH37578), Sebasco, ME, USA, 17–18 June 2004. [Google Scholar]
- Wang, P.K. Navigation Strategies for multiple autonomous mobile robots moving in formation. J. Robot. Syst. 1991, 8, 177–195. [Google Scholar] [CrossRef]
- Fahimi, F. Sliding-mode formation control for underactuated surface vessels. IEEE Trans. Robot. 2007, 23, 617–622. [Google Scholar] [CrossRef]
- Lewis, M.A.; Tan, K.-H. High precision formation control of mobile robots using virtual structures. Auton. Robot. 1997, 4, 387–403. [Google Scholar] [CrossRef]
- Beard, R.W.; Lawton, J.; Hadaegh, F.Y. A coordination architecture for spacecraft formation control. IEEE Trans. Control Syst. Technol. 2001, 9, 777–790. [Google Scholar] [CrossRef]
- Beard, R.W.; Lawton, J.; Hadaegh, F.Y. A feedback architecture for formation control. In Proceedings of the 2000 American Control Conference. ACC (IEEE Cat. No.00CH36334), Chicago, IL, USA, 28–30 June 2000. [Google Scholar]
- Askari, A.; Mortazavi, M.; Talebi, H.A. UAV formation control via the virtual structure approach. J. Aerosp. Eng. 2015, 28, 04014047. [Google Scholar] [CrossRef]
- Russell Carpenter, J. Decentralized control of satellite formations. Int. J. Robust Nonlinear Control 2002, 12, 141–161. [Google Scholar] [CrossRef]
- Kim, S.-R.; Jo, H.-J.; Kim, J.-H.; Park, J.-Y. Formation control of swarming vessels using a virtual matrix approach and ISOT guidance algorithm. Processes 2021, 9, 1581. [Google Scholar] [CrossRef]
- Lee, H.J.; Rhee, K.P. Development of collision avoidance system by using expert system and search algorithm. Int. Shipbuild. Prog. 2001, 48, 197–212. [Google Scholar]
- Kijima, K.; Furukawa, Y. Automatic collision avoidance system using the concept of blocking area. IFAC Proc. Vol. 2003, 36, 223–228. [Google Scholar] [CrossRef]
- Larson, J.; Bruch, M.; Halterman, R.; Rogers, J.; Webster, R. Advances in Autonomous Obstacle Avoidance for Unmanned Surface Vehicles; Space and Naval Warfare Systems Center: San Diego, CA, USA, 2007. [Google Scholar]
- Xie, S.; Wu, P.; Peng, Y.; Luo, J.; Qu, D.; Li, Q.; Gu, J. The obstacle avoidance planning of USV based on improved artificial potential field. In Proceedings of the 2014 IEEE International Conference on Information and Automation (ICIA), Hailar, China, 28–30 July 2014. [Google Scholar]
- Kuwata, Y.; Wolf, M.T.; Zarzhitsky, D.; Huntsberger, T.L. Safe maritime autonomous navigation with Colregs, using velocity obstacles. IEEE J. Ocean. Eng. 2014, 39, 110–119. [Google Scholar] [CrossRef]
- Woo, J.; Kim, N. Collision avoidance for an unmanned surface vehicle using deep reinforcement learning. Ocean Eng. 2020, 199, 107001. [Google Scholar] [CrossRef]
- Woo, J.; Yu, C.; Kim, N. Deep reinforcement learning-based Controller for path following of an unmanned surface vehicle. Ocean Eng. 2019, 183, 155–166. [Google Scholar] [CrossRef]
- IWASAKI, H.; HARA, K. A fuzzy reasoning model to decide the collision avoidance action. J. Jpn. Inst. Navig. 1986, 75, 69–77. [Google Scholar]
- Kijima, K.; Furukawa, Y. Development of collision avoidance algorithm using fuzzy inference. In Proceedings of the Fifth ISOPE Pacific/Asia Offshore Mechanics Symposium, Daejeon, Korea, 17–20 November 2002. [Google Scholar]
- Park, J.; Kim, J. Predictive evaluation of ship collision risk using the concept of probability flow. IEEE J. Ocean. Eng. 2017, 42, 836–845. [Google Scholar] [CrossRef]
- Fujii, Y.; Tanaka, K. Traffic capacity. J. Navig. 1971, 24, 543–552. [Google Scholar] [CrossRef]
- Goodwin, E.M. A statistical study of ship domains. J. Navig. 1975, 28, 328–344. [Google Scholar] [CrossRef]
- Coldwell, T.G. Marine traffic behaviour in Restricted Waters. J. Navig. 1983, 36, 430–444. [Google Scholar] [CrossRef]
- Davis, P.V.; Dove, M.J.; Stockel, C.T. A Computer Simulation of Marine Traffic Using Domains and arenas. J. Navig. 1980, 33, 215–222. [Google Scholar] [CrossRef]
- Pietrzykowski, Z.; Uriasz, J. The ship domain—A criterion of navigational safety assessment in an open sea area. J. Navig. 2008, 62, 93–108. [Google Scholar] [CrossRef]
- Smierzchalski, R. On-line trajectory planning in collision situations at sea by evolutionary computation-experiments. IFAC Proc. Vol. 2001, 34, 407–412. [Google Scholar] [CrossRef]
- Zhu, X.; Xu, H.; Lin, J. Domain and its model based on Neural Networks. J. Navig. 2001, 54, 97–103. [Google Scholar] [CrossRef]
- Yan, X.; Jiang, D.; Miao, R.; Li, Y. Formation control and obstacle avoidance algorithm of a Multi-USV system based on virtual structure and artificial potential field. J. Mar. Sci. Eng. 2021, 9, 161. [Google Scholar] [CrossRef]
- Sun, X.; Wang, G.; Fan, Y.; Mu, D.; Qiu, B. A formation collision avoidance system for unmanned surface vehicles with leader-follower structure. IEEE Access 2019, 7, 24691–24702. [Google Scholar] [CrossRef]
- Woo, J.; Park, J.; Yu, C.; Kim, N. Dynamic model identification of unmanned surface vehicles using Deep Learning Network. Appl. Ocean Res. 2018, 78, 123–133. [Google Scholar] [CrossRef]
























| Parameter | Value | |
|---|---|---|
| Simulation time | 50 s | |
| Max. control size | 8 | |
| Virtual matrix size | 1 × 2 | |
| Number of agents | 2 | |
| Original coefficient | 4 | |
| 2/64 | ||
| Agent 1 | Agent 2 | |
|---|---|---|
| Attractive force | ||
| Repulsive force |
| Parameter | Value | |
|---|---|---|
| Simulation time | 50 s | |
| Max. control size | 8 | |
| Number of agents | 2 | |
| Original coefficient | 4 | |
| 2/64 | ||
| Biased coefficient | 3 | |
| 1/48 | ||
| Parameter | Value | |
|---|---|---|
| Simulation time | 3400 s | |
| Max. control size | 8 | |
| Number of agents | 30 | |
| drow | 25 m | |
| dcol | 25 m | |
| TCPAmax | 20 s | |
| DCPAmin | 24 m | |
| V max | 1.5 m/s | |
| Original coefficient | 4 | |
| 2/64 | ||
| Biased coefficient | 3 | |
| 1/48 | ||
| Phase | Time (s) | Virtual Matrix Size | Formation |
|---|---|---|---|
| Phase 1 | 0–200 | 16 × 9 | Arrow |
| Phase 2 | 200–700 | 16 × 9 | Inverted arrow |
| Phase 3 | 700–1100 | 8 × 16 | V |
| Phase 4 | 1100–1600 | 8 × 16 | Inverted V |
| Phase 5 | 1600–2000 | 13 × 11 | Multi-wedge |
| Phase 6 | 2000–2400 | 13 × 11 | Inverted multi-wedge |
| Phase 7 | 2400–3000 | 16 × 15 | T |
| Phase 8 | 3000–3400 | 15 × 15 | Circle |
| Formation | Formation | ||
|---|---|---|---|
| Arrow | Inverted arrow | ||
| V | Inverted V | ||
| Multi-wedge | Inverted multi-wedge | ||
| T | Circle |
| B-APF | VO | |||||
|---|---|---|---|---|---|---|
| Distance (m) | ErrorWP (m) | Battery Usage (%) | Distance (m) | ErrorWP (m) | Battery Usage (%) | |
| Average | 2523.16 | 16.52 | 9.789 | 2518.65 | 17.37 | 9.615 |
| Agent 1 | 2226.41 | 5.53 | 7.311 | 2145.24 | 5.81 | 6.988 |
| Agent 2 | 2293.12 | 4.52 | 7.519 | 2092.34 | 4.45 | 6.524 |
| Agent 3 | 2076.41 | 3.36 | 6.294 | 2279.30 | 4.14 | 7.455 |
| Agent 4 | 2012.19 | 5.31 | 6.175 | 2155.24 | 5.57 | 6.754 |
| Agent 5 | 2133.22 | 5.19 | 6.515 | 2245.62 | 4.61 | 7.229 |
| Agent 6 | 1879.95 | 2.78 | 5.044 | 1799.02 | 2.79 | 4.655 |
| Agent 7 | 2314.46 | 4.37 | 7.870 | 2293.98 | 4.61 | 7.555 |
| Agent 8 | 2075.63 | 3.98 | 6.550 | 2052.36 | 3.62 | 6.216 |
| Agent 9 | 2181.64 | 5.67 | 7.364 | 1981.40 | 3.14 | 5.562 |
| Agent 10 | 2035.52 | 2.26 | 6.006 | 2093.28 | 3.43 | 6.293 |
| Agent 11 | 2221.84 | 7.47 | 7.213 | 2378.99 | 6.83 | 8.233 |
| Agent 12 | 2000.67 | 5.49 | 6.228 | 2143.98 | 6.76 | 7.265 |
| Agent 13 | 2560.36 | 4.28 | 9.126 | 2427.30 | 2.84 | 7.999 |
| Agent 14 | 2137.91 | 12.78 | 7.720 | 2247.92 | 15.44 | 8.101 |
| Agent 15 | 2844.55 | 22.87 | 12.277 | 2691.93 | 22.09 | 10.798 |
| Agent 16 | 2422.16 | 4.64 | 8.391 | 2235.00 | 14.53 | 7.843 |
| Agent 17 | 2769.51 | 25.96 | 11.436 | 2752.40 | 23.46 | 11.251 |
| Agent 18 | 2276.78 | 15.44 | 8.073 | 2448.38 | 17.35 | 9.300 |
| Agent 19 | 2716.55 | 9.65 | 10.535 | 2712.93 | 8.39 | 10.295 |
| Agent 20 | 2446.81 | 19.26 | 9.704 | 2385.86 | 19.78 | 8.797 |
| Agent 21 | 2680.07 | 10.26 | 10.647 | 2739.34 | 8.90 | 10.494 |
| Agent 22 | 2615.34 | 22.90 | 10.651 | 2537.75 | 8.06 | 9.470 |
| Agent 23 | 3044.20 | 21.54 | 13.386 | 3066.53 | 24.82 | 13.449 |
| Agent 24 | 2542.90 | 22.32 | 10.560 | 2532.69 | 8.16 | 9.516 |
| Agent 25 | 2671.34 | 12.92 | 11.103 | 2636.03 | 26.58 | 11.017 |
| Agent 26 | 2833.17 | 18.43 | 12.380 | 3428.14 | 44.50 | 16.750 |
| Agent 27 | 3218.76 | 37.32 | 15.216 | 3233.47 | 41.33 | 15.077 |
| Agent 28 | 3402.28 | 46.94 | 16.746 | 3081.78 | 31.52 | 14.084 |
| Agent 29 | 3484.36 | 58.75 | 17.279 | 3396.83 | 67.55 | 17.018 |
| Agent 30 | 3576.84 | 73.25 | 18.350 | 3344.41 | 80.20 | 16.462 |
| B-APF | VO | |||||
|---|---|---|---|---|---|---|
| Phase | Start Time (s) | End Time (s) | Time Taken (s) | End Time (s) | Time Taken (s) | Difference (s) |
| Phases 1–2 | 200 | 695 | 495 | 610 | 410 | −85 |
| Phases 2–3 | 700 | 995 | 295 | 930 | 230 | −65 |
| Phases 3–4 | 1100 | 1480 | 380 | 1520 | 420 | 40 |
| Phases 4–5 | 1600 | 1785 | 185 | 1900 | 300 | 115 |
| Phases 5–6 | 2000 | 2280 | 280 | 2240 | 240 | −40 |
| Phases 6–7 | 2400 | 2970 | 570 | 2905 | 505 | −65 |
| Phases 7–8 | 3000 | - | - | - | - | - |
Publisher’s Note: MDPI stays neutral with regard to jurisdictional claims in published maps and institutional affiliations. |
© 2022 by the authors. Licensee MDPI, Basel, Switzerland. This article is an open access article distributed under the terms and conditions of the Creative Commons Attribution (CC BY) license (https://creativecommons.org/licenses/by/4.0/).
Share and Cite
Jo, H.-J.; Kim, S.-R.; Kim, J.-H.; Park, J.-Y. Comparison of Velocity Obstacle and Artificial Potential Field Methods for Collision Avoidance in Swarm Operation of Unmanned Surface Vehicles. J. Mar. Sci. Eng. 2022, 10, 2036. https://doi.org/10.3390/jmse10122036
Jo H-J, Kim S-R, Kim J-H, Park J-Y. Comparison of Velocity Obstacle and Artificial Potential Field Methods for Collision Avoidance in Swarm Operation of Unmanned Surface Vehicles. Journal of Marine Science and Engineering. 2022; 10(12):2036. https://doi.org/10.3390/jmse10122036
Chicago/Turabian StyleJo, Hyun-Jae, Su-Rim Kim, Jung-Hyeon Kim, and Jong-Yong Park. 2022. "Comparison of Velocity Obstacle and Artificial Potential Field Methods for Collision Avoidance in Swarm Operation of Unmanned Surface Vehicles" Journal of Marine Science and Engineering 10, no. 12: 2036. https://doi.org/10.3390/jmse10122036
APA StyleJo, H.-J., Kim, S.-R., Kim, J.-H., & Park, J.-Y. (2022). Comparison of Velocity Obstacle and Artificial Potential Field Methods for Collision Avoidance in Swarm Operation of Unmanned Surface Vehicles. Journal of Marine Science and Engineering, 10(12), 2036. https://doi.org/10.3390/jmse10122036

