Influence of Tsunami-Driven Shipping Containers’ Layout on Their Motion
Abstract
1. Introduction
2. Outline of Hydraulic Experiments
3. Numerical Model and Conditions
3.1. Outline of Numerical Model and Its Improvement
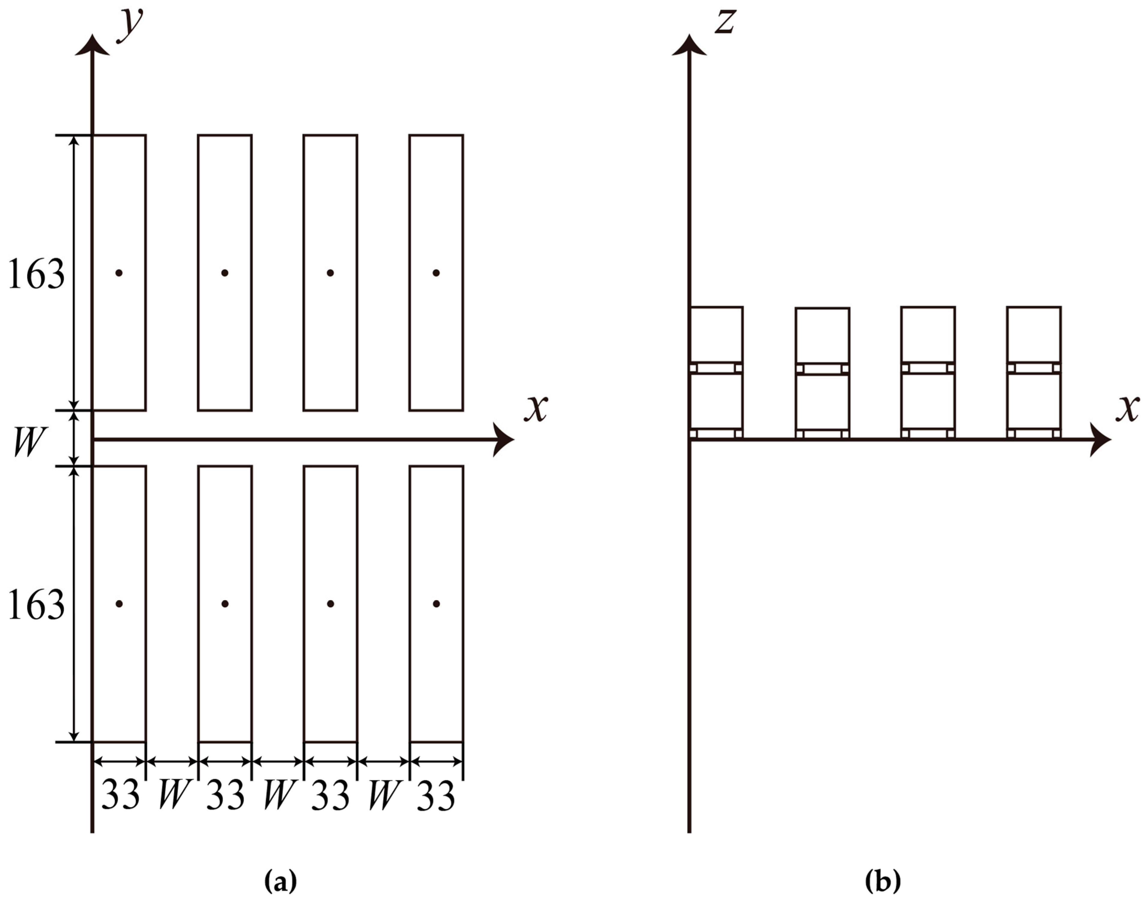
3.2. Computational Domain and Container Specimen Configurations
3.3. Validation of Incident Waveform without Containers
4. Results and Discussion
4.1. Comparison between Numerical Results and Experimental Data
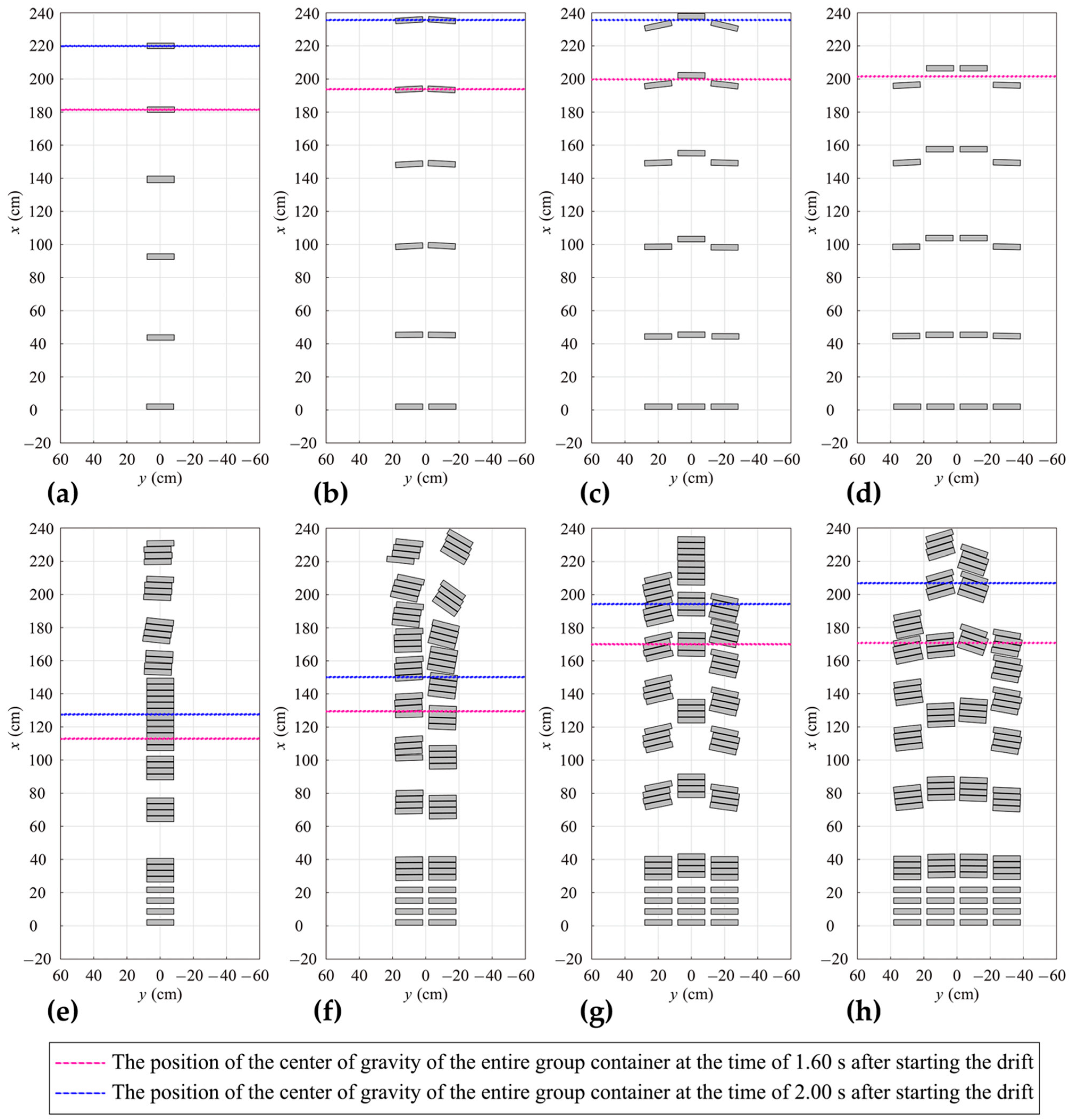
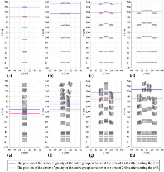
4.2. Containers Center-of-Gravity Drift Behavior
4.3. Comparison of Container Position with Velocity
4.4. Influence of the Center of Gravity on Each Row and Column of Entire Container Group
4.5. Spatial Container Distribution
5. Conclusions
- In the comparison of numerical simulation results and hydraulic experimental data, it can be seen that the results and data provide evidence of the validity and computational accuracy of the FS3M numerical simulation model. Furthermore, the FS3M numerical simulation model can provide a more ideal experimental state as well as increased computational accuracy; thus, it can effectively guide future studies of numerical simulations describing tsunami-debris motion;
- The increase in Nx (number of drifter containers in rows) and Nz (stacking height) can effectively slow down the container drift flow motion and can potentially do so in advance—even to the point of a noticeable pause. However, the decrease in Ny (number of drifter containers in columns) in containers of the same Nx configuration significantly slows down the container motion of the container configuration arrangement group in the x direction. However, the overall velocity is related to the total mass of the container configuration group, with more significant mass correlated to lower velocity, whereas priority needs to be given to Ny container configuration;
- The increase or decrease in the total mass of the container configuration group does not have any pivotal effect on the container motion. In general, the initial number of Nx, Ny, and Nz container configurations is the crucial factor affecting container group motion;
- The exposed spreading region equation put forward by Naito et al. [16] is conservative in estimating the container spreading angle with larger Ny and Nz = 2. The increase in the trend of the container configurations number is not the only condition leading to the increase in the spreading angle. The exposed spreading region equation proposed by Nistor et al. [28] is also conservative. In summary, the difference in the number of initial container configurations Nx, Ny, and Nz is the main factor affecting the container spreading dynamics.
Author Contributions
Funding
Institutional Review Board Statement
Informed Consent Statement
Data Availability Statement
Conflicts of Interest
References
- Takahashi, S.; Sugano, T.; Tomita, T.; Arikawa, T.; Tatsumi, D.; Kashima, H.; Murata, S.; Matsuoka, Y.; Nakamura, T. Joint Survey for 2010 Chilean Earthquake and Tsunami Disaster in Ports and Coasts; Port and Airport Research Institute: Kurihama, Japan, 2010. [Google Scholar]
- Roeber, V.; Yamazaki, Y.; Cheung, K.F. Resonance and impact of the 2009 Samoa tsunami around Tutuila, American Samoa. Geophys. Res. Lett. 2010, 37, 1–8. [Google Scholar] [CrossRef]
- Stolle, J.; Nistor, I.; Goseberg, N.; Petriu, E. Development of a probabilistic framework for debris transport and hazard assessment in tsunami-like flow conditions. J. Waterw. Port Coast. Ocean Eng. 2020, 146, 04020026. [Google Scholar] [CrossRef]
- Park, H.; Koh, M.; Cox, D.T.; Alam, M.S.; Shin, S. Experimental study of debris transport driven by a tsunami-like wave: Application for non-uniform density groups and obstacles. Coast. Eng. 2021, 166, 103867. [Google Scholar] [CrossRef]
- Nakamura, T.; Shiraishi, K.; Usami, A.; Mizutani, N.; Miyajima, S.; Tomita, T. Three- dimensional numerical analysis on tsunami waves around containers on apron and tsunami-induced wave pressure and tsunami force acting on containers. Proc. Coast. Eng. JSCE 2006, 22, 517–522. [Google Scholar]
- Ko, H.T.; Cox, D.T.; Riggs, H.R.; Naito, C.J. Hydraulic experiments on impact forces from tsunami-driven debris. J. Waterw. Port Coast. Ocean Eng. 2015, 141, 04014043. [Google Scholar] [CrossRef]
- Yeom, G.S.; Mizutani, N.; Shiraishi, K.; Usami, A.; Miyajima, S.; Tomita, T. Study on behavior of drifting containers due to tsunami and collision forces. Proc. Coast. Eng. JSCE 2007, 54, 851–855. [Google Scholar] [CrossRef][Green Version]
- Yeom, G.S.; Nakamura, T.; Usami, A.; Mizutani, N. Study on the estimation of collision force of a drifted container using fluid-structure interaction analysis. Proc. Coast. Eng. JSCE 2008, 55, 281–285. [Google Scholar] [CrossRef][Green Version]
- Yeom, G.S.; Nakamura, T.; Mizutani, N. Collision analysis of container drifted by runup tsunami using drift collision coupled model. J. Disaster Res. 2009, 4, 441–449. [Google Scholar] [CrossRef]
- Hasanpour, A.; Istrati, D.; Buckle, I.G. Multi-Physics Modeling of Tsunami Debris Impact on Bridge Decks. In Proceedings of the 3rd International Conference on Natural Hazards & Infrastructure, Athens, Greece, 5–7 July 2022. [Google Scholar]
- Istrati, D.; Hasanpour, A. Advanced numerical modelling of large debris impact on piers during extreme flood events. In Proceedings of the 7th IAHR Europe Congress, Athens, Greece, 7–9 September 2022. [Google Scholar]
- Nakamura, T.; Wakamatsu, Y.; Mizutani, N. Study on drifting behavior of container on apron due to tsunami run-up and Drawdown. J. Jpn. Soc. Civ. Eng. Ser. B2 (Coast. Eng.) 2011, 67, 276–280. [Google Scholar] [CrossRef]
- Nakamura, T.; Mizutani, N.; Wakamatsu, Y. Study on drift behavior of container on apron due to tsunami-induced incoming and return flow. Coast. Eng. Proc. 2012, 1, 16. [Google Scholar] [CrossRef]
- Nakamura, T.; Mizutani, N.; Aoyama, K. Numerical analysis of the tsunami-induced drift behavior of a shipping container and the effectiveness of its countermeasure. Int. J. Offshore Pol. Eng. 2014, 24, 253–261. [Google Scholar]
- Haehnel, R.B.; Daly, S.F. Maximum impact force of woody debris on floodplain structures. J. Hydraul. Eng. 2004, 130, 112–120. [Google Scholar] [CrossRef]
- Naito, C.; Cercone, C.; Riggs, H.R.; Cox, D. Procedure for site assessment of the potential for tsunami debris impact. J. Waterw. Port Coast. Ocean Eng. 2014, 140, 223–232. [Google Scholar] [CrossRef]
- Tomita, T.; Hachisuka, T.; Chida, Y. Model experiment and numerical simulation on tsunami-driven motion of a group of debris objects. J. Jpn. Soc. Civ. Eng. Ser. B3 (Ocean Eng.) 2019, 75, 761–766. [Google Scholar]
- Tomita, T.; Taguchi, S.; Nakanishi, S.; Chida, Y.; Mizutani, N. Effects of layout of tsunami-driven objects on their motions. J. Jpn. Soc. Civ. Eng. Ser. B2 (Coast. Eng.) 2020, 76, 307–312. [Google Scholar] [CrossRef]
- Alessandro, L. Numerical Simulation of Debris Flow and Interaction between Flow and Obstacle via DEM. Ph.D. Thesis, ETH Zürich, Zürich, Switzerland, 2015. [Google Scholar]
- Istrati, D.; Hasanpour, A.; Buckle, I.G. Numerical Investigation of Tsunami-Borne Debris Damming Loads on a Coastal Bridge. In Proceedings of the 17th World Conference on Earthquake Engineering, Sendai, Japan, 13–18 September 2020. [Google Scholar]
- Hasanpour, A.; Istrati, D.; Buckle, I.G. Coupled SPH–FEM modeling of Tsunami-borne large debris flow and impact on coastal structures. J. Mar. Sci. Eng. 2021, 9, 1068. [Google Scholar] [CrossRef]
- Nakamura, T.; Mizutani, N. Development of Coupled Fluid-Sediment-Seabed Interaction Model and Its Application. J. Jpn. Soc. Civ. Eng. Ser. B3 (Ocean Eng.) 2013, 69, 1026–1030. [Google Scholar]
- Kunugi, T. MARS for multiphase calculation. Comput. Fluid Dyn. J. 2001, 9, 563–571. [Google Scholar]
- Kajishima, T.; Takiguchi, S.; Hamasaki, H.; Miyake, Y. Turbulence structure of particle-laden flow in a vertical plane channel due to vortex shedding. JSME Int. J. Ser. B Fluids Therm. Eng. 2001, 44, 526–535. [Google Scholar] [CrossRef]
- Open Dynamics Engine. Available online: https://bitbucket.org/odedevs/ode/ (accessed on 1 January 2022).
- Lu, G.; Third, J.R.; Müller, C.R. Effect of particle shape on domino wave propagation: A perspective from 3D, anisotropic discrete element simulations. Granul. Matter 2014, 16, 107–114. [Google Scholar] [CrossRef]
- Li, Y.; Asai, M.; Chandra, B.; Isshiki, M. Energy-tracking impulse method for particle-discretized rigid-body simulations with frictional contact. Comput. Part. Mech. 2020, 8, 237–258. [Google Scholar] [CrossRef]
- Nistor, I.; Goseberg, N.; Stolle, J.; Mikami, T.; Shibayama, T.; Nakamura, R.; Matsuba, S. Experimental investigations of debris dynamics over a horizontal plane. J. Waterw. Port Coast. Ocean Eng. 2017, 143, 04016022. [Google Scholar] [CrossRef]
- Malhotra, M.M.; Subramanian, R.; Gahlot, P.S.; Rathore, B.S. Textbook in Applied Mechanics; New Age International: New Delhi, India, 1994; pp. 128–129. [Google Scholar]
- Stolle, J.; Goseberg, N.; Nistor, I.; Petriu, E. Probabilistic investigation and risk assessment of debris transport in extreme hydrodynamic conditions. J. Waterw. Port Coast. Ocean Eng. 2018, 144, 04017039. [Google Scholar] [CrossRef]



















| Experimental Category | Number of Containers (N) | Container Orientation (θ) | Number of Rows (Nx) | Number of Columns (Ny) | Number of Stacks (Nz) | Interval of Container W (mm) |
|---|---|---|---|---|---|---|
| 11190 | 1 | 90 | 1 | 1 | 1 | 33 |
| 21190 | 2 | 90 | 2 | 1 | 1 | 33 |
| 31190 | 3 | 90 | 3 | 1 | 1 | 33 |
| 41190 | 4 | 90 | 4 | 1 | 1 | 33 |
| 11290 | 2 | 90 | 1 | 1 | 2 | 33 |
| 21290 | 4 | 90 | 2 | 1 | 2 | 33 |
| 31290 | 6 | 90 | 3 | 1 | 2 | 33 |
| 41290 | 8 | 90 | 4 | 1 | 2 | 33 |
| 12190 | 2 | 90 | 1 | 2 | 1 | 33 |
| 22190 | 4 | 90 | 2 | 2 | 1 | 33 |
| 32190 | 6 | 90 | 3 | 2 | 1 | 33 |
| 42190 | 8 | 90 | 4 | 2 | 1 | 33 |
| 12290 | 4 | 90 | 1 | 2 | 2 | 33 |
| 22290 | 8 | 90 | 2 | 2 | 2 | 33 |
| 32290 | 12 | 90 | 3 | 2 | 2 | 33 |
| 42290 | 16 | 90 | 4 | 2 | 2 | 33 |
| 13190 | 3 | 90 | 1 | 3 | 1 | 33 |
| 23190 | 6 | 90 | 2 | 3 | 1 | 33 |
| 33190 | 9 | 90 | 3 | 3 | 1 | 33 |
| 43190 | 12 | 90 | 4 | 3 | 1 | 33 |
| 13290 | 6 | 90 | 1 | 3 | 2 | 33 |
| 23290 | 12 | 90 | 2 | 3 | 2 | 33 |
| 33290 | 18 | 90 | 3 | 3 | 2 | 33 |
| 43290 | 24 | 90 | 4 | 3 | 2 | 33 |
| 14190 | 4 | 90 | 1 | 4 | 1 | 33 |
| 24190 | 8 | 90 | 2 | 4 | 1 | 33 |
| 34190 | 12 | 90 | 3 | 4 | 1 | 33 |
| 44190 | 16 | 90 | 4 | 4 | 1 | 33 |
| 14290 | 8 | 90 | 1 | 4 | 2 | 33 |
| 24290 | 16 | 90 | 2 | 4 | 2 | 33 |
| 34290 | 24 | 90 | 3 | 4 | 2 | 33 |
| 44290 | 32 | 90 | 4 | 4 | 2 | 33 |
Publisher’s Note: MDPI stays neutral with regard to jurisdictional claims in published maps and institutional affiliations. |
© 2022 by the authors. Licensee MDPI, Basel, Switzerland. This article is an open access article distributed under the terms and conditions of the Creative Commons Attribution (CC BY) license (https://creativecommons.org/licenses/by/4.0/).
Share and Cite
Hou, Y.; Nakamura, T.; Cho, Y.-H.; Mizutani, N.; Tomita, T. Influence of Tsunami-Driven Shipping Containers’ Layout on Their Motion. J. Mar. Sci. Eng. 2022, 10, 1911. https://doi.org/10.3390/jmse10121911
Hou Y, Nakamura T, Cho Y-H, Mizutani N, Tomita T. Influence of Tsunami-Driven Shipping Containers’ Layout on Their Motion. Journal of Marine Science and Engineering. 2022; 10(12):1911. https://doi.org/10.3390/jmse10121911
Chicago/Turabian StyleHou, Yudou, Tomoaki Nakamura, Yong-Hwan Cho, Norimi Mizutani, and Takashi Tomita. 2022. "Influence of Tsunami-Driven Shipping Containers’ Layout on Their Motion" Journal of Marine Science and Engineering 10, no. 12: 1911. https://doi.org/10.3390/jmse10121911
APA StyleHou, Y., Nakamura, T., Cho, Y.-H., Mizutani, N., & Tomita, T. (2022). Influence of Tsunami-Driven Shipping Containers’ Layout on Their Motion. Journal of Marine Science and Engineering, 10(12), 1911. https://doi.org/10.3390/jmse10121911

