Lateral Bearing Capacity of a Hybrid Monopile: Combined Effects of Wing Configuration and Local Scour
Abstract
1. Introduction
2. Numerical Modelling
2.1. Geometry and FE Mesh
2.2. Constitutive Model
2.3. Loading Steps
- (1)
- Initial step: As shown in Figure 2, the bottom of the soil domain is fixed in all three directions (Ux = 0, Uy = 0, Uz = 0), while the vertical boundary is supported by rollers to restrict the lateral displacements (Ux = 0, Uy = 0). The initial stress is applied to the whole domain by means of the “geostatic stress” function built into the initial predefined field;
- (2)
- Geostatic step: The uniform vertical body force is exerted on the whole domain to simulate the gravitational effect. During this step, the normal displacement of the pile–soil contact surface is restrained. At the end of this step, the model produces only a negligible deformation;
- (3)
- Scour step: As shown in Figure 2, the predefined set of scour elements is deleted through state variables to simulate the scour unloading effect. The deleted elements cannot carry stresses in the subsequent analysis and, hence, have no contribution to the stiffness of the model. The remaining soil domain redistributes the stresses to reach a new stress balance after the deletion of scoured soil elements;
- (4)
- Load step: After setting up the boundary conditions and stresses in the post-scour domain, the normal displacement restraint on the pile–soil contact surface is removed and replaced by the “contact pair” algorithm. A monotonic lateral load (F) and bending moment (, e the load eccentricity) are then applied at the geometric center of the pile head. For accuracy and efficiency, the quasi-static analysis is loaded using the smoothed step amplitude curve. During the rotation of the pile foundation, the load point couples to and moves with the pile head.
2.4. Simulation Cases
3. Validation by Centrifuge Tests
4. Parametric Study and Discussion
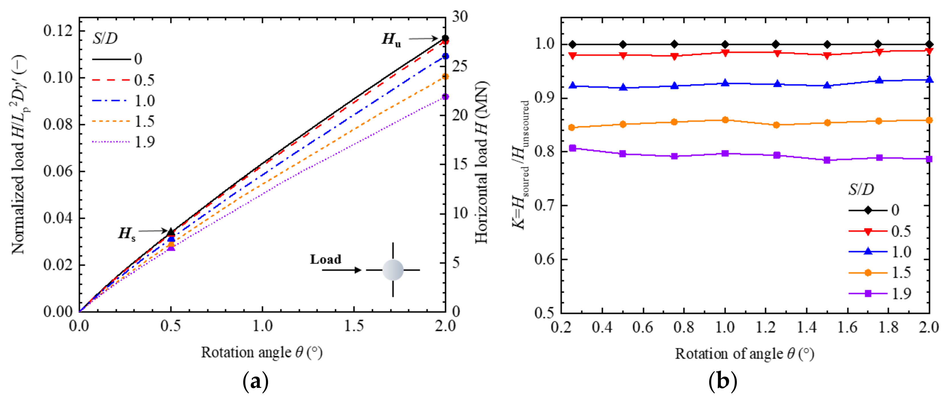
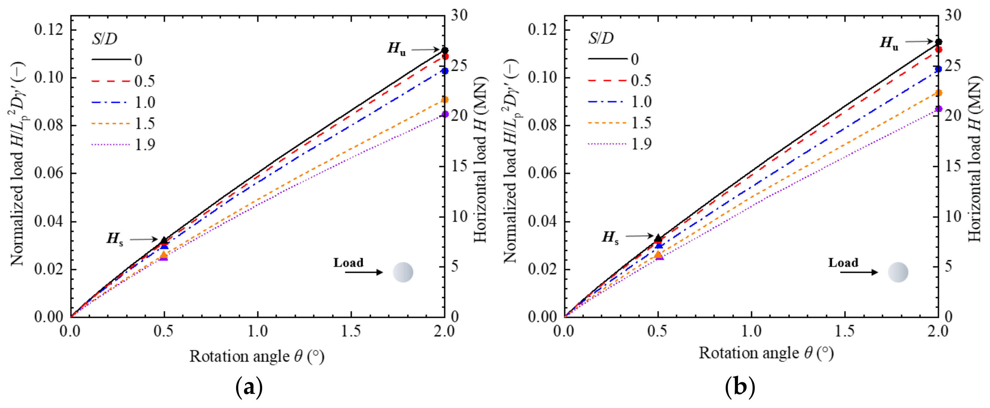
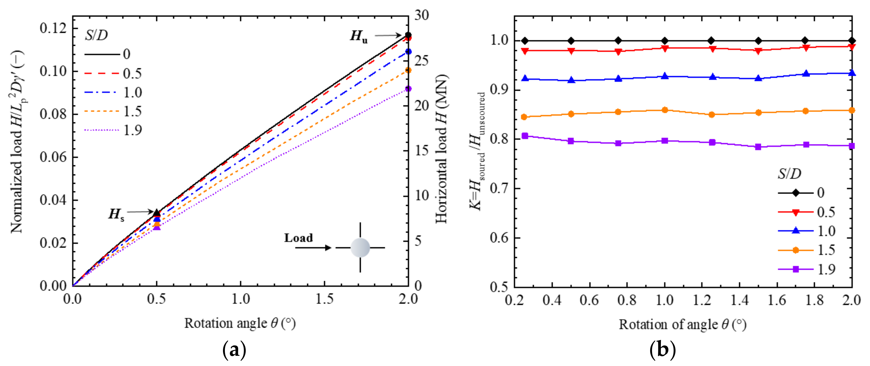
4.1. Effect of Scour Depth
4.1.1. Scour Effect on Four-Wing Monopiles
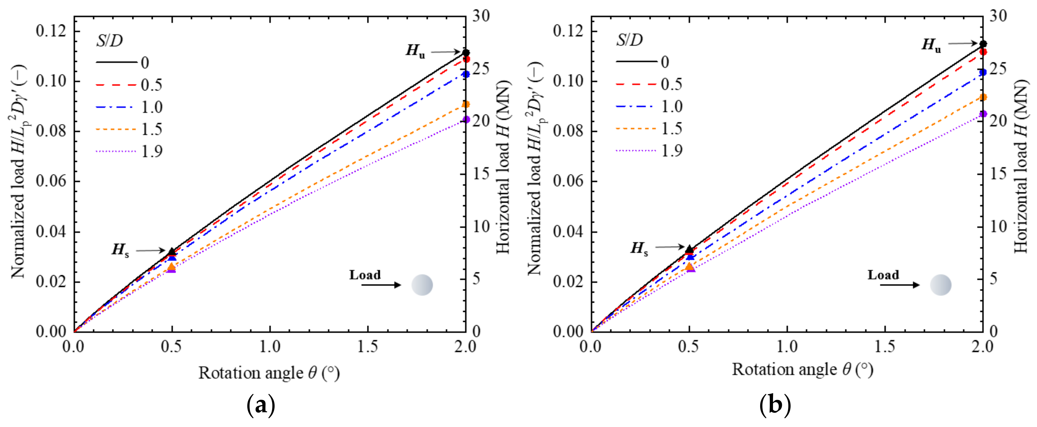
4.1.2. Comparison between Four-Wing Monopiles and Regular Monopiles
4.2. Effect of Relative Density of Sand
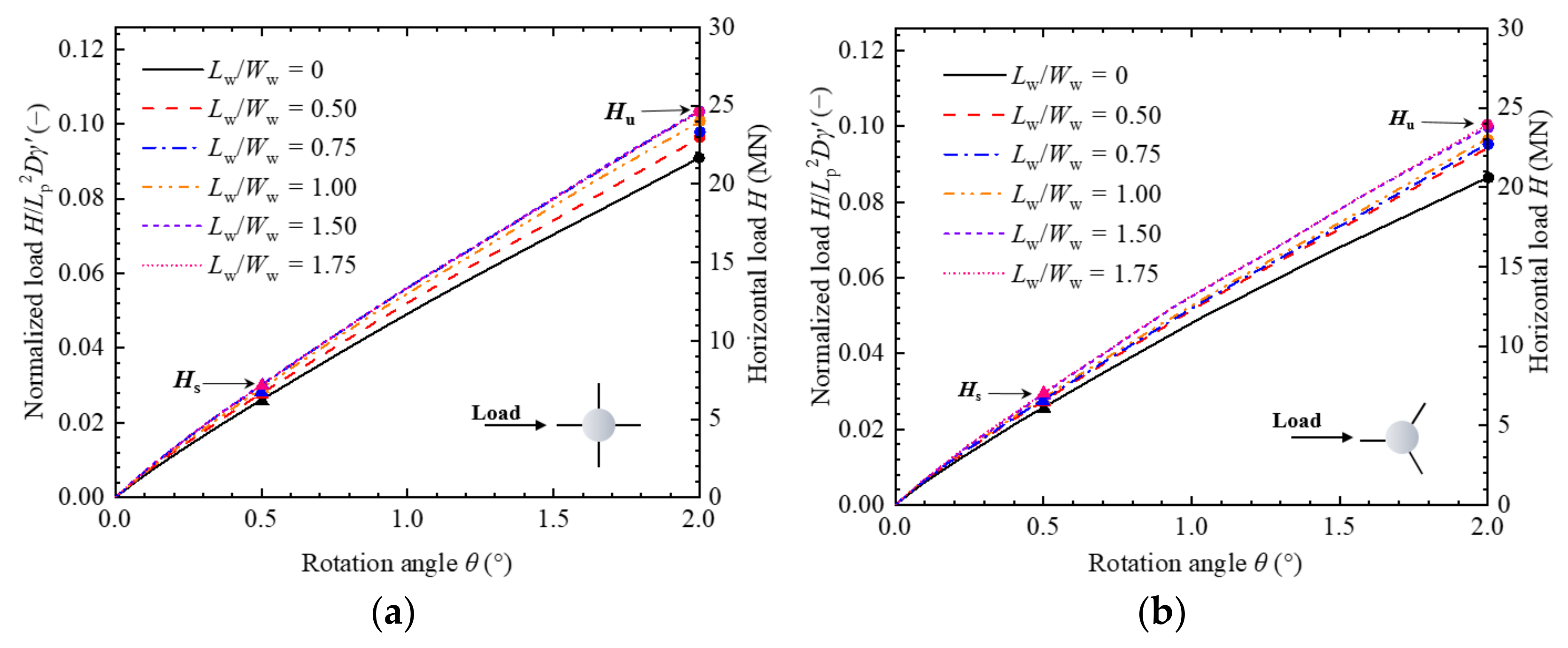
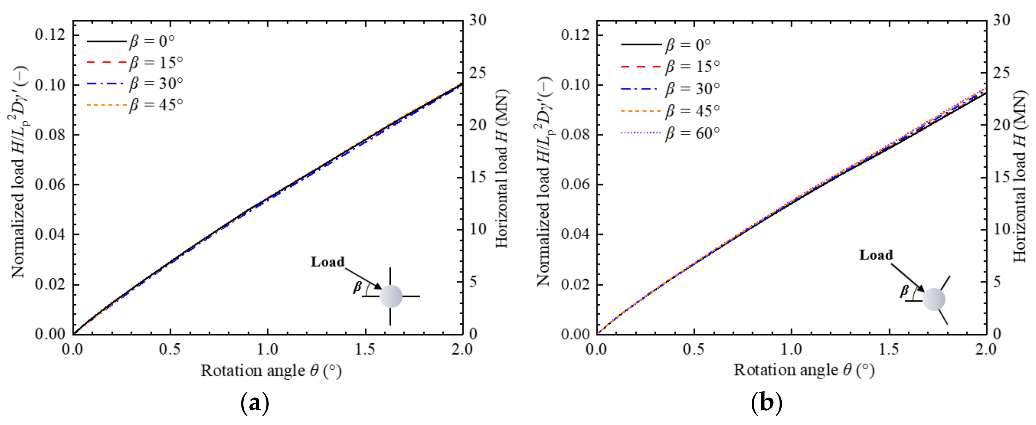
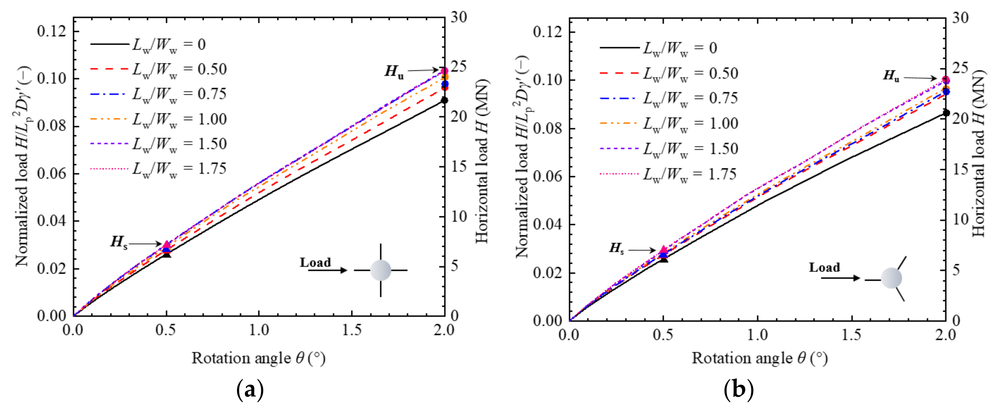
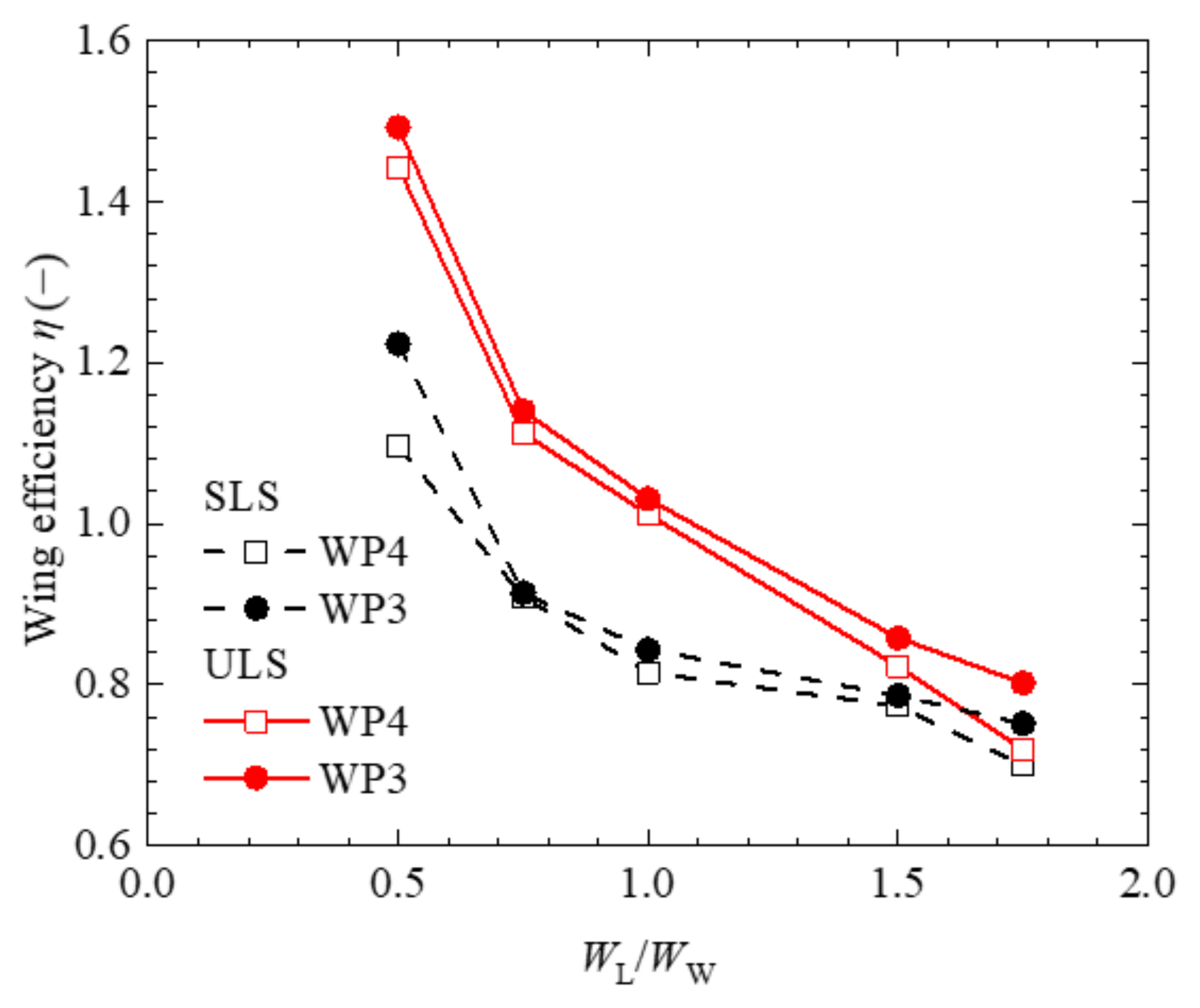
4.3. Evaluation of Wing Efficiency
5. Conclusions
- (1)
- The increase in local scour depth reduces the lateral capacity of winged monopiles in the same wing load orientation. The capacity reduction can be as high as 20% at the serviceability limit state (SLS) and the ultimate limit state (ULS) for four-wing monopiles (WP4) with a scour depth of S/D = 1.9. More soil around the wings will reach the critical state caused by post-peak softening if a scour hole is developed around the pile, consequently undermining the lateral capacity;
- (2)
- Extending the embedment length of the pile foundation contributes marginally to the lateral capacity, while introducing wings can significantly enhance the capacity. The lateral capacity of the winged monopile is increased by 9.1% compared to the regular monopile when the scour depth S/D = 1.5. Due to the presence of wings, the circumferential failure pattern around the pile shifts from a “gourd” to a “teardrop” shape;
- (3)
- Higher lateral capacity can be expected for winged monopiles in denser sand. The lateral capacity at SLS and ULS can be raised by 12.4% and 16.7%, respectively, with the relative density increasing from 60% to 90%;
- (4)
- A wing efficiency number is proposed to determine the optimal design of wing configuration, accounting for both load and economic efficiency. The wing efficiency at SLS reaches its maximum value when the ratio of wing height and wing width reaches its minimum (LW/WW = 0.5) and only decreases slightly for the wing height LW/WW > 1. A wing efficiency larger than unity is recommended to maximize the effectiveness of wings for enhancing the lateral capacity of monopiles.
Author Contributions
Funding
Institutional Review Board Statement
Informed Consent Statement
Data Availability Statement
Conflicts of Interest
References
- GWEC. Global Wind Report 2021; GWEC: Brussels, Belgium, 2022. [Google Scholar]
- BNEF. Offshore Wind Market Outlook; BNEF: Paris, France, 2020. [Google Scholar]
- Oh, K.Y.; Nam, W.; Ryu, M.S.; Kim, J.Y.; Epureanu, B.I. A review of foundations of offshore wind energy convertors: Current status and future perspectives. Renew. Sustain. Energy Rev. 2018, 88, 16–36. [Google Scholar] [CrossRef]
- Gupta, B.K.; Basu, D. Offshore wind turbine monopile foundations: Design perspectives. Ocean Eng. 2020, 213, 107514. [Google Scholar] [CrossRef]
- Bhattacharya, S. Design of Foundations for Offshore Wind Turbines; John Wiley & Sons: Hoboken, NJ, USA, 2019. [Google Scholar]
- Qi, W.G.; Gao, F.P. Local scour around a monopile foundation for offshore wind turbines and scour effects on structural responses. In Geotechnical Engineering-Advances in Soil Mechanics and Foundation Engineering; IntechOpen: London, UK, 2019. [Google Scholar]
- Bienen, B.; Dührkop, J.; Grabe, J.; Randolph, M.F.; White, D.J. Response of piles with wings to monotonic and cyclic lateral loading in sand. J. Geotech. Geoenviron. Eng. 2012, 138, 364–375. [Google Scholar] [CrossRef]
- Murphy, G.; Cadogan, D.; Doherty, P.; Gavin, K.; Caprani, C.; O’Connor, A. Experimental investigation of novel foundation solutions for offshore wind turbines. Proc. BCRI 2012, 169, 227–239. [Google Scholar]
- Murphy, G.; Doherty, P.; Cadogan, D.; Gavin, K. Field experiments on instrumented winged monopiles. Proc. Inst. Civ. Eng. Geotech. Eng. 2016, 169, 227–239. [Google Scholar] [CrossRef]
- Babu, K.; Viswanadham, B. Numerical investigations on lateral load response of fin piles. In International Congress and Exhibition Sustainable Civil Infrastructures: Innovative Infrastructure Geotechnology; Springer: Berlin/Heidelberg, Germany, 2017; pp. 317–329. [Google Scholar]
- Abongo, K.O. Model Study of the Static and Cyclic Lateral Capacity of Finned Piles; Lehigh University: Bethlehem, PA, USA, 2019. [Google Scholar]
- Dührkop, J.; Grabe, J. Laterally loaded piles with bulge. J. Offshore Mech. Arct. Eng. 2008, 130, 041602. [Google Scholar] [CrossRef]
- Nasr, A.M.A. Experimental and theoretical studies of laterally loaded finned piles in sand. Can. Geotech. J. 2014, 51, 381–393. [Google Scholar] [CrossRef]
- Pei, T.; Qiu, T. A Numerical investigation of laterally loaded steel fin pile foundation in sand. Int. J. Geomech. 2022, 22, 04022102. [Google Scholar] [CrossRef]
- Peng, J.R. Behaviour of Finned Piles in Sand under Lateral Loading; Newcastle University: Newcastle upon Tyne, UK, 2006. [Google Scholar]
- Peng, J.R.; Rouainia, M.; Clarke, B.G. Finite element analysis of laterally loaded fin piles. Comput. Struct. 2010, 88, 1239–1247. [Google Scholar] [CrossRef]
- Qi, W.G.; Gao, F.P. Equilibrium scour depth at offshore monopile foundation in combined waves and current. Sci. China-Technol. Sci. 2014, 57, 1030–1039. [Google Scholar] [CrossRef]
- Qi, W.G.; Gao, F.P. Physical modeling of local scour development around a large-diameter monopile in combined waves and current. Coast. Eng. 2014, 83, 72–81. [Google Scholar] [CrossRef]
- Sumer, B.; Fredsøe, J.; Christiansen, N. Scour around vertical pile in waves. J. Waterw. Port Coast. Ocean Eng. 1992, 118, 15–31. [Google Scholar] [CrossRef]
- Sumer, B.M.; Christiansen, N.; Fredsøe, J. The horseshoe vortex and vortex shedding around a vertical wall-mounted cylinder exposed to waves. J. Fluid Mech. 1997, 332, 41–70. [Google Scholar] [CrossRef]
- Qi, W.G.; Gao, F.P.; Randolph, M.F.; Lehane, B.M. Scour effects on p–y curves for shallowly embedded piles in sand. Géotechnique 2016, 66, 648–660. [Google Scholar] [CrossRef]
- Li, C.; Xiao, Y.; Liu, J.; Lin, Q.; Zhang, T.; Liu, J. The impact of scour on laterally loaded piles bored and socketed in marine clay. J. Mar. Sci. Eng. 2022, 10, 1636. [Google Scholar] [CrossRef]
- Qi, W.G.; Liu, J.; Gao, F.P.; Li, B.; Chen, Q.G. Quantifying the spatiotemporal evolution of the turbulent horseshoe vortex in front of a vertical cylinder. Phys. Fluids 2022, 34, 015110. [Google Scholar] [CrossRef]
- Li, B.; Wang, S.-Y.; Qi, W.-G.; Wang, Y.; Gao, F.-P. Lateral bearing capacity of a winged monopile in the scoured Sand-Bed. In Proceedings of the 32nd International Ocean and Polar Engineering Conference, Shanghai, China, 6–10 June 2022. [Google Scholar]
- Hibbitt, D.; Karlsson, B.; Sorensen, P. Abaqus: Analysis User’s Manual, Version 6.11; Simulia DCS: Pawducket, RI, USA, 2011. [Google Scholar]
- Whitehouse, R.J.S.; Harris, J.M.; Sutherland, J.; Rees, J. The nature of scour development and scour protection at offshore windfarm foundations. Mar. Pollut. Bull. 2011, 62, 73–88. [Google Scholar] [CrossRef]
- Ahmed, S.S.; Hawlader, B. Numerical analysis of large-diameter monopiles in dense sand supporting offshore wind turbines. Int. J. Geomech. 2016, 16, 04016018. [Google Scholar] [CrossRef]
- Qi, W.; Tian, J.; Zheng, H.; Wang, H.; Yang, J.; He, G.; Gao, F. Bearing capacity of the high-rise pile cap foundation for offshore wind turbines. Sustain. Dev. Crit. Infrastruct. 2014, 413–420. [Google Scholar]
- Wang, H.; Wang, L.; Hong, Y.; Askarinejad, A.; He, B.; Pan, H. Influence of pile diameter and aspect ratio on the lateral response of monopiles in sand with different relative densities. J. Mar. Sci. Eng. 2021, 9, 618. [Google Scholar] [CrossRef]
- Achmus, M.; Kuo, Y.S.; Abdel Rahman, K. Behavior of monopile foundations under cyclic lateral load. Comput. Geotech. 2009, 36, 725–735. [Google Scholar] [CrossRef]
- Thieken, K.; Achmus, M.; Lemke, K. A new static p-y approach for piles with arbitrary dimensions in sand. Geotechnik 2015, 38, 267–288. [Google Scholar] [CrossRef]
- Roy, K.; Hawlader, B.; Kenny, S.; Moore, I. Finite element modeling of lateral pipeline–soil interactions in dense sand. Can. Geotech. J. 2016, 53, 490–504. [Google Scholar] [CrossRef]
- Abongo, K.; Gu, J.; Pervizpour, M.; Quiel, S.; Pamukcu, S. Parametric lab-scale testing and numerical simulation of finned monopiles under directional loading. Ocean Eng. 2022, 259, 111871. [Google Scholar] [CrossRef]
- Jung, S.; Kim, S.-R.; Patil, A.; Hung, L.C. Effect of monopile foundation modeling on the structural response of a 5-MW offshore wind turbine tower. Ocean Eng. 2015, 109, 479–488. [Google Scholar] [CrossRef]
- Wang, H.; Wang, L.Z.; Hong, Y.; He, B.; Zhu, R.H. Quantifying the influence of pile diameter on the load transfer curves of laterally loaded monopile in sand. Appl. Ocean Res. 2020, 101, 102196. [Google Scholar] [CrossRef]
- Wang, J.; Sun, G.; Chen, G.; Yang, X. Finite element analyses of improved lateral performance of monopile when combined with bucket foundation for offshore wind turbines. Appl. Ocean Res. 2021, 111, 102647. [Google Scholar] [CrossRef]
- Bolton, M. The strength and dilatancy of sands. Geotechnique 1986, 36, 65–78. [Google Scholar] [CrossRef]
- Chakraborty, T.; Salgado, R. Dilatancy and shear strength of sand at low confining pressures. J. Geotech. Geoenviron. Eng. 2010, 136, 527–532. [Google Scholar] [CrossRef]
- White, D.; Cheuk, C.; Bolton, M. The uplift resistance of pipes and plate anchors buried in sand. Géotechnique 2008, 58, 771–779. [Google Scholar] [CrossRef]
- Roy, K.S. Numerical Modeling of Pipe-Soil and Anchor-Soil Interactions in Dense Sand; Memorial University of Newfoundland: St. John’s, NL, Canada, 2018. [Google Scholar]
- Leblanc, C.; Houlsby, G.T.; Byrne, B.W. Response of stiff piles in sand to long-term cyclic lateral loading. Géotechnique 2010, 60, 79–90. [Google Scholar] [CrossRef]
- Wang, X.; Li, J. Parametric study of hybrid monopile foundation for offshore wind turbines in cohesionless soil. Ocean Eng. 2020, 218, 108172. [Google Scholar] [CrossRef]
- API. Recommended Practice for Planning, Designing and Constructing Fixed Offshore Platforms, 17th ed.; API Recomm. Pract. 2a (RP 2a); API: Washington, DC, USA, 1987. [Google Scholar]
- Klinkvort, R.T. Centrifuge Modelling of Drained Lateral Pile-Soil Response. Ph.D. Thesis, The Technical University of Denmark, DTU Civil Engineering, Lyngby, Denmark, 2012. [Google Scholar]
- Klinkvort, R.T.; Hededal, O. Lateral response of monopile supporting an offshore wind turbine. Proc. Inst. Civ. Eng.-Geotech. Eng. 2013, 166, 147–158. [Google Scholar] [CrossRef]
- Latini, C.; Zania, V. Triaxial Tests in Fontainebleau Sand. 2016. Available online: https://orbit.dtu.dk/en/publications/triaxial-tests-in-fontainebleau-sand (accessed on 1 August 2022).
- Arany, L.; Bhattacharya, S.; Macdonald, J.; Hogan, S.J. Design of monopiles for offshore wind turbines in 10 steps. Soil Dyn. Earthq. Eng. 2017, 92, 126–152. [Google Scholar] [CrossRef]
- DNV. DNVGL-ST-0126: Support Structures for Wind Turbines; DNV GL: Oslo, Norway, 2016. [Google Scholar]
- Doherty, P.; Gavin, K. Laterally loaded monopile design for offshore wind farms. Proc. Inst. Civ. Eng. Energy 2012, 165, 7–17. [Google Scholar] [CrossRef]
- Hu, Q.; Han, F.; Prezzi, M.; Salgado, R.; Zhao, M. Lateral load response of large-diameter monopiles in sand. Géotechnique 2022, 72, 1035–1050. [Google Scholar] [CrossRef]
- Luo, R.; Yang, M.; Li, W. Numerical study of diameter effect on accumulated deformation of laterally loaded monopiles in sand. Eur. J. Environ. Civ. Eng. 2020, 24, 2440–2452. [Google Scholar] [CrossRef]























| Description | Symbol | Unit | Medium-Dense | Dense | Very Dense | |
|---|---|---|---|---|---|---|
| Relative density | Dr | % | 60 | 70 | 80 | 90 |
| Submerged unit weight | kN/m3 | 6.28 | 6.58 | 6.90 | 7.24 | |
| Elastic stiffness parameters | — | 400 | 500 | 500 | 700 | |
| — | 0.6 | 0.55 | 0.55 | 0.5 | ||
| Poisson’s ratio | — | 0.25 | 0.225 | 0.225 | 0.2 | |
| Critical state friction angle | ° | 31 | ||||
| MMC parameters | ° | 29 | ||||
| — | 3.8 | |||||
| — | 0.6 | |||||
| Q | — | 10 | ||||
| R | — | 1 | ||||
| C1 | — | 0.22 | ||||
| C2 | — | 0.11 | ||||
| m | — | 0.25 | ||||
| Cohesion | c | kPa | 0.1 | |||
| Constant friction angle | ° | 34.3 | 36.4 | 38.8 | 41.5 | |
| Series | Constant Parameters | Variable Parameters |
|---|---|---|
| I | Dr = 90%, four-wing monopile with Lp = 8D, Lw/Ww = 1, β = 0°; Dr = 90%, regular monopile with Lp = 8D; Dr = 90%, extended regular monopile with Lp = 9.29D; | S = 0, 0.5D, 1D, 1.5D, 1.9D |
| II | Dr = 90%, four-wing monopile with, S = 1.9D, β = 0°; Dr = 90%, four-wing monopile with, S = 1.0D, β = 0°; Dr = 90%, four-wing monopile with, S = 0D, β = 0°; Dr = 90%, regular monopile with Lp = 8D, S = 1.9D, β = 0°; Dr = 90%, regular monopile with Lp = 8D, S = 1.0D, β = 0°; Dr = 90%, regular monopile with Lp = 8D, S = 0D, β = 0°; | e = 0, 2D, 4D, 8D and pure moment |
| III | Four-wing monopile with Lw/Ww = 1, S = 1.5D, β = 0°; | Dr = 60%, 70%, 80%, 90% |
| IV | Dr = 90%, four-wing monopile with, S = 1.5D, Lw/Ww = 1; Dr = 90%, three-wing monopile with, S =1.5D, Lw/Ww = 1; | β = 0°, 15°, 30°, 45° β = 0°, 15°, 30°, 45°, 60° |
| V | Dr = 90%, four-wing monopile with, Ww = DP, S = 1.5D, β = 0°; Dr = 90%, three-wing monopile with Ww = DP, S = 1.5D, β = 0°; | Lw/Ww = 0, 0.5, 0.75, 1, 1.5, 1.75 |
| Description | Symbol | Unit | Dense Fontainebleau Sand |
|---|---|---|---|
| Relative density | Dr | % | 90 |
| Submerged unit weight | kN/m3 | 10.2 | |
| Stiffness parameter | κ | — | 1380.7 |
| Stiffness parameter | λ | — | 0.6226 |
| Poisson’s ratio | ν | — | 0.3 |
| Critical state friction angle | ° | 30 | |
| Parameter of MMC | ° | 29 | |
| — | 3.8 | ||
| — | 0.6 | ||
| C1 | — | 0.22 | |
| C2 | — | 0.11 | |
| m | — | 0.25 |
Publisher’s Note: MDPI stays neutral with regard to jurisdictional claims in published maps and institutional affiliations. |
© 2022 by the authors. Licensee MDPI, Basel, Switzerland. This article is an open access article distributed under the terms and conditions of the Creative Commons Attribution (CC BY) license (https://creativecommons.org/licenses/by/4.0/).
Share and Cite
Li, B.; Wang, Y.; Qi, W.; Wang, S.; Gao, F. Lateral Bearing Capacity of a Hybrid Monopile: Combined Effects of Wing Configuration and Local Scour. J. Mar. Sci. Eng. 2022, 10, 1799. https://doi.org/10.3390/jmse10121799
Li B, Wang Y, Qi W, Wang S, Gao F. Lateral Bearing Capacity of a Hybrid Monopile: Combined Effects of Wing Configuration and Local Scour. Journal of Marine Science and Engineering. 2022; 10(12):1799. https://doi.org/10.3390/jmse10121799
Chicago/Turabian StyleLi, Biao, Yifa Wang, Wengang Qi, Shunyi Wang, and Fuping Gao. 2022. "Lateral Bearing Capacity of a Hybrid Monopile: Combined Effects of Wing Configuration and Local Scour" Journal of Marine Science and Engineering 10, no. 12: 1799. https://doi.org/10.3390/jmse10121799
APA StyleLi, B., Wang, Y., Qi, W., Wang, S., & Gao, F. (2022). Lateral Bearing Capacity of a Hybrid Monopile: Combined Effects of Wing Configuration and Local Scour. Journal of Marine Science and Engineering, 10(12), 1799. https://doi.org/10.3390/jmse10121799

