Next Article in Journal
Design of Dihedral Bows: A New Type of Developable Added Bulbous Bows—Experimental Results
Next Article in Special Issue
Pairwise-Comparison Based Semi-SPO Method for Ship Inspection Planning in Maritime Transportation
Previous Article in Journal
Test Study on Vortex-Induced Vibration of Deep-Sea Riser under Bidirectional Shear Flow
Previous Article in Special Issue
On the K-Means Clustering Model for Performance Enhancement of Port State Control
 
 
Font Type:
Arial Georgia Verdana
Font Size:
Aa Aa Aa
Line Spacing:
Column Width:
Background:
Article

Joint Planning of Fleet Deployment, Ship Refueling, and Speed Optimization for Dual-Fuel Ships Considering Methane Slip

1
Department of Logistics and Maritime Studies, The Hong Kong Polytechnic University, Hung Hom, Hong Kong 999077, China
2
Sino-US Global Logistics Institute, Antai College of Economics and Management, Shanghai Jiao Tong University, Shanghai 200030, China
3
School of Management, Shanghai University, Shanghai 200436, China
*
Author to whom correspondence should be addressed.
These authors contributed equally to this work.
J. Mar. Sci. Eng. 2022, 10(11), 1690; https://doi.org/10.3390/jmse10111690
Submission received: 19 September 2022 / Revised: 17 October 2022 / Accepted: 25 October 2022 / Published: 8 November 2022
(This article belongs to the Special Issue Sustainable Operations in Maritime Industry)

Abstract

Reducing air pollution and greenhouse gas emissions has become one of the primary tasks for the shipping industry over the past few years. Among alternative marine fuels, liquefied natural gas (LNG) is regarded as one of the most popular alternative marine fuels because it is one of the cleanest fossil marine fuels. Therefore, a practical way to implement green shipping is to deploy dual-fuel ships that can burn conventional fuel oil and LNG on various ship routes. However, a severe problem faced by dual-fuel ships is methane slip from the engines of ships. Therefore, this study formulates a nonlinear mixed-integer programming model for an integrated optimization problem of fleet deployment, ship refueling, and speed optimization for dual-fuel ships, with the consideration of fuel consumption of both main and auxiliary engines, ship carbon emissions, availability of LNG at different ports of call, and methane slip from the main engines of ships. Several linearization techniques are applied to transform the nonlinear model into a linear model that can be directly solved by off-the-shelf solvers. A large number of computational experiments are carried out to assess the model performance. The proposed linearized model can be solved quickly by Gurobi, namely shorter than 0.12 s, which implies the possibility of applying the proposed model to practical problems to help decision-makers of shipping liners make operational decisions. In addition, sensitivity analyses with essential parameters, such as the price difference between the conventional fuel oil and LNG, carbon tax, and methane slip amount, are conducted to investigate the influences of these factors on operational decisions to seek managerial insights. For example, even under the existing strictest carbon tax policy, shipping liners do not need to deploy more ships and slow steaming to reduce the total weekly cost.

1. Introduction

The maritime industry is increasingly aware of its environmental impact and is always looking for a cleaner alternative marine fuel [1,2]. Among alternative marine fuels, liquefied natural gas (LNG) is one of the most popular alternative marine fuels because it is one of the cleanest fossil marine fuels and can significantly reduce ship exhaust emissions, including sulfur oxides, nitrogen oxides, particulate matter, and greenhouse gases [1,3]. Specifically, compared to conventional heavy fuel oils, the use of LNG means a 100% reduction in sulfur dioxide ( SO 2 ) and fine particle ( PM 2.5 ) emissions, a 90% reduction in nitrogen oxide ( NO X ) emissions, and a 25% reduction in carbon dioxide ( CO 2 ) emissions [4]. Fueling ships with LNG can bring many benefits, such as less fuel consumption and fewer air emissions. The density of LNG is roughly in the range of 410 kg/ m 3 to 500 kg/ m 3 [5], and the density of conventional heavy fuel oils is greater than 900 kg/ m 3 at 15 °C [6]. The calorific value of LNG is around 54 MJ/kg to 56 MJ/kg [7], and the calorific value of conventional heavy fuel oils is around 46 MJ/kg [8]. Therefore, since LNG is about half the density of conventional heavy fuel oils but has about 20% higher calorific value, [9] stated that it takes about 1.8 times as much LNG to achieve the same distance compared to conventional heavy fuel oils on a volume ( m 3 ) basis. Since our problem is very complex, we simplify the problem by assuming that the combustion efficiencies of LNG and conventional fuel oil are equal and assume that it takes about 1.8 times as much LNG to achieve the same distance compared to conventional heavy fuel oils on a volume ( m 3 ) basis. This feature of LNG is essential to achieve green shipping and helps shipping liners meet increasingly stringent environmental regulations. As a result, more and more shipping liners, such as German shipping company Hapag-Lloyd [10], and China shipping company China Ocean Shipping Company (COSCO) [11], purchase dual-fuel ships which can burn both conventional fuel oil, i.e., low-sulphur fuel oil (LSFO) and LNG.
A serious problem faced by dual-fuel ships is methane slip (unburned fuel is expelled in the exhaust) from the main and auxiliary engines of the ship. This phenomenon is because LNG primarily consists of methane (85% to 99%) [12], and engines using LNG as a fuel are usually designed to have a combustion efficiency of at least 98%, which means the other 2% of unburned methane is expelled in the exhaust [4]. As a potent greenhouse gas, methane has more than 25 times the global warming potential of carbon dioxide after it reaches the atmosphere [13]. Especially in the first 20 years after entering the atmosphere, methane is more than 80 times more potent than CO 2 [14]. Although methane is up to 25 times more potent as a greenhouse gas than CO 2 , methane has a relatively short lifespan of 12 years compared to CO 2 which can hang around for hundreds or even thousands of years [15]. In addition, LNG can significantly reduce ship emissions, including sulfur oxides, nitrogen oxides, particulate matter, and greenhouse gases. Therefore, dual-fuel ships are becoming more and more popular. Although carbon dioxide has a more lasting effect, methane determines the pace of global warming in the near term. Therefore, how to schedule dual-fuel ships is a vital issue for the decarbonization of the shipping industry.
This study is motivated by the above real-world problem encountered in sustainable development. LNG can allow the shipping industry to significantly reduce SO 2 , NO X , PM 10 , and CO 2 , but it results in the leakage of more potent greenhouse gas, i.e., methane. Therefore, for the dual-fuel ships which become more and more popular, how to schedule them is particularly important. Since sailing speed affects the fuel consumption of both main and auxiliary engines and further affects ship refueling and fleet deployment, this study aims to integrate fleet deployment, ship refueling, and speed optimization into a comprehensive problem for dual-fuel ships with the consideration of fuel consumption of both main and auxiliary engines, ship carbon emissions, availability of LNG at different ports of call, and methane slip from ships’ main engines. Specifically, this study formulates a nonlinear mixed-integer programming (MIP) model for the integrated problem to optimally determine the number of deployed ships, at which port and how much fuel (and which fuel) the deployed ships should be refueled, and sailing speeds of deployed ships during each voyage leg. A large number of numerical experiments with different route compositions are carried out to evaluate the proposed model after linearization transformation. Sensitivity analyses with crucial parameters, including the price difference between LSFO and LNG, carbon tax, and methane slip amount, are then conducted to investigate the influence of these factors on the operational decisions to seek managerial insights. Therefore, this study provides shipping liners with scientific methods to optimize fleet deployment, ship refueling, and speed optimization for dual-fuel ships with the consideration of methane slip to minimize the total weekly cost which contains three parts, namely weekly fixed operating cost, weekly fuel purchase cost, and weekly carbon emissions cost. In summary, this study may contribute to liner operations management by proposing an integrated optimization method and seeking managerial insights for the joint planning problem of fleet deployment, ship refueling, and speed optimization for dual-fuel ships considering methane slip.
The fleet deployment problem is generally based on the container liner shipping mode. For a comprehensive overview of the container liner fleet deployment, readers can refer to [16]. This study focuses on the joint optimization problem of fleet deployment, ship refueling, and speed optimization to minimize the total weekly cost, including the fixed operating cost, fuel purchase cost, and carbon emissions cost based on a weekly service frequency. Speed optimization is the issue most closely related to fleet deployment because different speeds directly affect the number of ships that need to be deployed. Therefore, the fleet deployment problem considering speed optimization is widely studied, and this study first reviews related research on the fleet deployment problem considering speed optimization. This study then reviews related research on joint optimization of fleet deployment, ship refueling, and speed optimization.
The first perspective is related to fleet deployment considering speed optimization. On the one hand, container cargos are usually transported by ships along fixed ship routes at a regular service frequency. Therefore, optimizing speeds is equivalent to determining the number of ships deployed on various routes. To maintain a fixed service frequency, the higher the sailing speed is, the smaller the number of deployed ships. [17] developed a generalized nonlinear MIP model to allocate different types of ships on each route. They found that the optimal service frequency leads to fewer operating costs than the fixed service frequency. [18] studied a joint optimization problem of service frequency, sailing speed, and the number of ships deployed on a service route for a long-haul liner service route. They used a piecewise linear function to approximate the fuel consumption function. [19] considered service time windows for ports of call, and balanced low sailing speeds and high schedule reliability in their model. On the other hand, bunker fuel cost can significantly impact the daily operating cost of a container ship. In practice, sailing speed, cargo load, displacement, voyage length, and sea and weather conditions could significantly impact fuel consumption. Lower fuel consumption causes lower daily operating costs. Considering a general fuel consumption function, [20] integrated fleet deployment, speed optimization, and cargo allocation to maximize the total profit at the strategic level. [21] fitted the fuel consumption rate based on shipping log data and proposed two bunker fuel consumption rate functions for shipping liners under different scenarios. To reduce the sulfur emissions, [22] proposed a joint ship path, speed, and deployment problem to minimize the total cost of all routes, including fuel cost, carbon tax, and fixed operating cost. They considered relationships between ship speed and low-sulfur fuel consumption in international Emission Control Areas (ECAs) where ships must use low-sulfur fuels.
Refueling policy is another issue that could significantly influence the total operating costs of fleet deployment, especially when the fuel price is uncertain [23,24,25]. Thus, some studies integrate both speed optimization and refueling policy into the fleet deployment problem [26]. Proposed a nonlinear MIP model, which optimized refueling policy, speed selection, and fleet deployment. They aimed to minimize the sum of transportation, fuel consumption, and carbon emissions costs. In practice, the fuel consumption of ships on different sailing legs and the fuel prices at each port are uncertain. To mitigate the impacts of uncertainty, [23] investigated a dynamic bunker fuel management and ship operation problem. They developed a nonlinear MIP model to determine refueling ports, refueling amount, sailing speed, and the number of deployed ships on a route based on a weekly service. Recently, sustainable shipping development have also drawn much attention [27,28,29,30]. To reduce emissions from ships, such as carbon emissions, some scholars consider using low-carbon or low-sulfur fuels in compliance with international regulations. Some studies, such as [22,31], differentiated the sulfur content of the fuels when ships sail within ECAs and outside ECAs in their mathematical model. In addition to shipping deployment, sailing speed, and bunkering optimization, some studies included route selection as one of the decisions, such as [32,33,34,35].
To sum up, fleet deployment, ship refueling, and speed optimization are three main factors for shipping liners to control daily costs. However, most studies focus on only one or two aspects of them. Specifically, the prevailing literature on the fleet deployment problem considering speed optimization mainly focuses on balancing the service frequency, the number of deployed ships, and sailing speeds. Research on comprehensive optimization of fleet deployment, ship refueling, and speed optimization is still limited, especially in the domain of sustainable shipping development. To fill this research gap, this paper studies an integrated optimization problem of fleet deployment, ship refueling, and speed optimization. Since LNG is viewed as a cleaner alternative to fuel oil and coal, this study considers dual-fuel ships which could use LSFO and LNG for the main engine of the ship along a fixed route and proposes a nonlinear MIP model to minimize the total weekly cost by simultaneously optimizing fleet deployment, ship refueling policy (LSFO or LNG), and sailing speed. In addition, the problem studied in this paper could be seen as a lower-level decision of the problem involving routing, and can be easily extended to incorporate the route selection.
The remainder of this paper is organized as follows. Section 2 describes the problem, formulates a nonlinear MIP model for the problem, and applies several linearization techniques to linearize the model. Section 3 reports the results of computational experiments including the basic analysis to evaluate the model and sensitivity analyses to seek managerial insights. Conclusions including contributions and limits of our paper are summarized in Section 4.

2. Materials and Methods

This study focuses on an integrated optimization problem of fleet deployment, ship refueling, and speed optimization for dual-fuel ships, with the consideration of fuel consumption of both main and auxiliary engines, ship carbon emissions, availability of LNG at different ports of call, and methane slip from ships’ main engines. This section first elaborates on the detailed background of the problem in Section 2.1, formulates the mathematical model in Section 2.2, and linearizes nonlinear parts in the proposed model line in Section 2.3.

2.1. Problem Background

We consider a shipping liner which operates a fleet of container ships to provide a fixed liner shipping service at a weekly service frequency. The shipping service is described as a loop ship route consisting of a set I of ports of call. The voyage from port of call i to port of call i + 1 is called leg i . In this case, ship route is described as port 1 port 2 port I port 1, implying that the route has I legs. To maintain weekly visits for every port of call on the route, a fleet of ships needs to be deployed on the route, and the total time for a ship finishing the travel along the route is 168 β h, where β represents the number of deployed ships on the route. Sailing speeds of all deployed ships need to be between the feasible speed range of ships, and let V represent the set of all possible sailing speeds. The total time for a ship finishing the travel along the route consists of two parts, namely sailing time and dwell time. Specifically, the total sailing time can be calculated by i I v V α i v l i v , where l i , v , and α i v are length (n mile) of the i th leg, sailing speed (knot) during the i th leg, and a binary variable which equals 1 if, and only if, the speed of the ship sailing during leg i is v , and 0 otherwise, respectively. In reality, port dwell time is usually predetermined based on contracts between shipping liners and the port operator, so this study assumes the dwell duration (hour) of a ship at port of call i , represented by t i , is deterministic. Hence, the total number of deployed ships and the total time for each deployed ship finishing the travel along the route should have the following relationship:
i I v V l i v α i v + t i = 168 β
.
All ships operated by the shipping liner are dual-fuel ships that consume either LNG or LSFO. Each ship contains a main engine which provides propulsion power for the ship, and an auxiliary engine which provides power for uses except propulsion. Because of the news from [36] which indicates that auxiliary engines of LNG ships leak more climate-warming methane than main engines, this study assumes that auxiliary engines of the ships only burn LSFO, and main engines of the ships can burn LSFO or LNG. Hence, let γ i represent a binary variable which equals 1 if and only if the fuel option of the main engine of deployed ships during leg i , i I , is LSFO, and 0 LNG. In terms of fuel consumption of auxiliary engines, this study assumes the auxiliary engine of each deployed ship consumes e amount of LSFO per hour. However, fuel consumption of the main engine is more complicated because the main engine can burn LSFO or LNG. The speed of a ship has a nonlinear relationship with fuel consumption. Specifically, engine theory and empirical data show that the daily fuel consumption of a ship is roughly proportional to the cube of the speed [37]. Furthermore, [38] calibrated the relationship between fuel consumption and sailing speed for container ships by using realistic historical data. Therefore, in the case of LSFO burning on the main engine, most of existing fuel consumption models in the literature agreed that bunker consumption rate (ton/n mile) of main engines is assumed to be a power function of sailing speed v , i.e., c 1 v c 2 , where v is sailing speed (knot), and c 1 and c 2 are positive coefficients. Therefore, the total amount of LSFO consumed by the main engine of a ship completing the travel along the route is i I v V l i c 1 v c 2 α i v γ i . Furthermore, in the case of LNG burning on the main engine, we define two more positive coefficients c 3 and c 4 for the calculation of fuel consumption because LNG has a lower density and higher calorific value than LSFO [39]. In addition, from the news from [36], when burning LNG, ships’ main engines leak 2% unburned LNG in the exhaust. This phenomenon, also known as methane slip, is because engines using LNG as a fuel are usually designed to have a combustion efficiency of at least 98%, which means the other 2% of unburned methane is expelled in the exhaust [4]. Hence, the total amount of LNG consumed by the main engine of a ship completing the travel along the route is i I v V ( l i c 3 v c 4 α i v + l i v α i v f ) 1 γ i , where f represents the amount of LNG leaked from the main engine of a deployed ship per hour when burning LNG (ton/h).
At some ports, deployed ships have to refill LSFO or LNG to sustain the voyage. This study assumes all ports of call can offer LSFO bunkering facilities, but only several ports of call can offer LNG bunkering facilities because this assumption is close to reality, and let a binary parameter b i , i I , to represent the availability of LNG refueling at port of call i which equals 1 if, and only if, port of call i offers LNG bunkering facilities, and 0 otherwise. At each port of call, the amount of fuel added should be determined (we assume that bunkering time is short and can thus be ignored, and that bunker is refilled as soon as the ship arrives at the port of call). We denote by ε i F and ε i L the amount of LSFO and the amount of LNG refueled at port of call i (ton), respectively. If i th port of call does not offer LNG bunkering facilities, i.e., b i = 0 , the value of ε i L must equal 0. In addition, the bunker amount in the tank after refilling should not exceed the tank capacity. The capacity limit of tanks in ships for storing LNG is a factor that cannot be ignored and has been considered in the existing literature, such as [1,40]. The capacity of the tank for storing LNG is denoted by m , and the capacity of the tank for storing LSFO is assumed to be infinite. Let π i F , and π i L represent ship LSFO inventory level, and ship LNG inventory level when arriving at port of call i (ton), respectively. Hence, after refueled at port of call i , ship LSFO inventory level ( ε i F + π i F ) or LNG inventory level ( ε i L + π i L ) should be larger than fuel consumption during sailing time of leg i and dwell time at port of call i . In addition, fuel switch of the main engine is not allowed during each voyage, that is, the main engine of each deployed ships can only use one kind of fuel (LSFO or LNG) during each voyage, and cannot switch the fuel back and forth. The remaining LSFO amount of the ship (i.e., π i + 1 F ), and the remaining LNG amount of the ship (i.e., π i + 1 L ) arriving at the next port of call can thus be calculated by Equations (2) and (3), respectively. Finally, because the ship sails in a round trip, for sustainability purpose, we consider that the bunker level after finishing the round trip should be equal to the initial bunker level, i.e., Equations (4) and (5).
π i + 1 F = π i F + ε i F v V l i c 1 v c 2 α i v γ i e ( v V l i v α i v + t i )
π i + 1 L = π i L + ε i L v V ( l i c 3 v c 4 α i v + l i v α i v f ) 1 γ i
π 1 F = π I F + ε I F v V l I c 1 v c 2 α I v γ I e ( v V l I v α I v + t I )
π 1 L = π I L + ε I L v V ( l I c 3 v c 4 α I v + l I v α I v f ) 1 γ I .
Finally, this study aims to minimize the total weekly cost which contains three parts, namely weekly fixed operating cost, weekly fuel purchase cost, and weekly carbon emissions cost. Specifically, first part is the weekly fixed operating cost of deployed ships. Because a fleet of homogeneous ships is deployed on the route to maintain a weekly service frequency, the total fixed operating cost for all deployed ships on all routes during one week can be calculated as o β , where o represents the weekly fixed operating cost for deploying one ship on the ship route. Next is the weekly fuel purchase cost. Recall that ε i F and ε i L represent the amount of LSFO and the amount of LNG refueled at port of call i (ton), respectively. Hence, the weekly fuel purchase cost can be calculated by i I a i F ε i F + a i L ε i L , where a i F , and a i L represent unit price of LSFO (USD/ton), and unit price of LNG (USD/ton) at port of call i , respectively. The final part is the weekly carbon emissions cost of all deployed ships on the ship route. [26] stated that ship carbon emissions are mostly from engine fuel consumption. Recall that each ship contains a main engine and an auxiliary engine. First, let g F , g L , and q represent the amount of CO 2 (ton) generated when burning one ton of LSFO, the amount of CO 2 generated (ton) when burning one ton of LNG, and carbon tax per ton (USD/ton), respectively. Weekly fuel consumption of auxiliary engines of all deployed ships on the ship route is 168 e β because a week contains 168 h. In addition, weekly fuel consumption of ships’ main engines on the ship route can be calculated by i I v V [ γ i l i c 1 v c 2 α i v + 1 γ i ( l i c 3 v c 4 α i v + l i v α i v f ) ] . Hence, the weekly carbon emissions cost of all deployed ships on the ship route can be calculated by i I v V q [ g F γ i l i c 1 v c 2 α i v + g L 1 γ i ( l i c 3 v c 4 α i v + l i v α i v f ) ] + 168 e q β g F .
In summary, this study considers fuel consumption of both main and auxiliary engines, ship carbon emissions, availability of LNG at different ports of call, and methane slip from ships’ main engines. From the perspective of the shipping liner, this study develops a nonlinear MIP model to minimize the total weekly cost by determining fleet deployment, ship refueling strategies including LNG and LSFO, and sailing speed of all deployed ships.

2.2. Model Formulation

Based on the above analysis of the problem, we formulate a nonlinear MIP model in this section. The following two assumptions are considered in this study.
(I)
The ships are homogenous in terms of the LNG tank capacity and cost structure.
(II)
The ships’ dwell time at each port of call on the ship route is deterministic.
Before formulating the mathematical model for this problem, we list the notation used in this paper as follows.
Indices and sets:
I set of all ports of call (legs) on the ship route, i I .
V set of all possible sailing speeds, v V , V = v _ ,   v _ + 1 , , v ¯ 1 ,   v ¯ , where v _ and v ¯ represent the minimum and maximum speeds of ships on ship routes, respectively.
Z + set of all non-negative integers.
Parameters
a i F unit price of LSFO at port of call i (USD/ton).
a i L unit price of LNG at port of call i (USD/ton).
b i binary coefficient to represent the availability of LNG refueling at port of call i which equals 1 if and only if port of call i offers LNG bunkering facilities, and 0 otherwise.
c 1 ,   c 2 ,   c 3 ,   c 4 coefficients to calculate the unit fuel consumption for travelling per n mile, which mainly depends on sailing speed (ton/ n mile).
e amount of LSFO consumed by the auxiliary engine of a ship deployed on the ship route per hour (ton/h).
f amount of LNG leaked from the main engine of a deployed ship when burning LNG per hour (ton/h).
g F amount of CO 2 generated when burning one ton of LSFO (ton).
g L amount of CO 2 generated when burning one ton of LNG (ton).
l i length (n mile) of the i th ( i I ) leg on the ship route.
m capacity of the tank for storing LNG.
o weekly fixed operating cost of one ship deployed on the ship route.
q carbon tax per ton (USD/ton).
s maximum number of ships that can be deployed on the ship route.
t i dwell duration (hour) of a ship at port of call i on the ship route.
Variables
α i v binary, equals 1 if and only if the speed of the ship sailing during leg i on the ship route is v ; 0 otherwise.
γ i binary, equals 1 if and only if the fuel option of the main engine of deployed ships during leg i , i I , on the ship route is LSFO; 0 LNG.
β integer, number of ships deployed on the ship route.
ε i F continuous, amount of LSFO refueled at port of call i (ton).
ε i L continuous, amount of LNG refueled at port of call i (ton).
π i F continuous, ship LSFO inventory level when arriving at port of call i (ton).
π i L continuous, ship LNG inventory level when arriving at port of call i (ton).
Mathematical model
Based on the above definition of parameters and variables, a nonlinear MIP model is formulated as follows.
[ M 1 ]     Min i I v V q [ g F γ i l i c 1 v c 2 α i v + g L 1 γ i ( l i c 3 v c 4 α i v + l i v α i v f ) ] + 168 e q g F β + o β + i I a i F ε i F + a i L ε i L
subject to:
1 β s
i I ( v V l i v α i v + t i ) = 168 β
v V α i v = 1                        i I
ε i L m π i L b i                        i I
π i + 1 F = π i F + ε i F v V l i c 1 v c 2 α i v γ i e ( v V l i v α i v + t i )      i 1 ,   2 , , I 1
π i + 1 L = π i L + ε i L v V ( l i c 3 v c 4 α i v + l i v α i v f ) 1 γ i      i 1 ,   2 , , I 1
π 1 F = π I F + ε I F v V l I c 1 v c 2 α I v γ I e ( v V l I v α I v + t I )
π 1 L = π I L + ε I L v V ( l I c 3 v c 4 α I v + l I v α I v f ) 1 γ I
α i v 0 , 1                                  i I , v V
γ i 0 , 1                                      i I
β Z +
ε i F ,   ε i L ,   π i F ,   π i L 0                                      i I .
Objective (6) minimizes the total weekly cost considered in this study, namely the sum of weekly fixed operating cost, weekly fuel purchase cost, and weekly carbon emissions cost. Constraint (7) guarantees that at least one ship and at most s ships should be deployed on the ship route. Constraint (8) ensures the weekly arrival pattern for each port of call. Constraints (9) ensure that sailing speeds of deployed ships during each leg should be within the feasible speed range of ships. Constraints (10) guarantee that deployed ships can only refuel LNG at ports of call where LNG bunkering facilities are provided and that the LNG amount in the tank after refilling should not exceed the LNG tank capacity. Constraints (11) and (12) calculate the remaining LSFO amount, and the remaining LNG amount of the ship arriving at the next port of call, respectively. Constraints (13) and (14) ensure that the LSFO level, and LNG level at the tank after finishing the round trip should be equal to the initial LSFO level, and initial LNG level, respectively. Constraints (15)–(18) state the ranges of the defined decision variables.

2.3. Model Linearization

It is challenging to solve the nonlinear model [M1], which contains multiple nonlinear parts including objective function (6), constraints (11)–(14). Therefore, some linearization techniques are applied to constraints (11)–(14) and objective function (6). Several newly defined variables and constraints are summarized as follows:
Newly defined variables
μ i v →binary, equals 1 if and only if both variables α i v and γ i are equal to one; 0 otherwise.
Newly defined constraints
μ i v α i v + γ i 1                          i I , v V
μ i v α i v                          i I , v V
μ i v γ i                          i I , v V
μ i v 0 , 1                          i I , v V .
Then, nonlinear constraints (11)–(14) are replaced by linear constraints (23)–(26), respectively.
π i + 1 F = π i F + ε i F v V l i c 1 v c 2 μ i v e ( v V l i v α i v + t i )         i 1 ,   2 , , I 1
π i + 1 L = π i L + ε i L v V ( l i c 3 v c 4 α i v + l i v α i v f l i c 3 v c 4 μ i v l i v μ i v f )       i 1 ,   2 , , I 1
π 1 F = π I F + ε I F v V l I c 1 v c 2 μ I v e ( v V l I v α I v + t I )
π 1 L = π I L + ε I L v V ( l I c 3 v c 4 α I v + l I v α I v f l I c 3 v c 4 μ I v l I v μ I v f ) .
Next, we linearize the nonlinear part i I v V q [ g F γ i l i c 1 v c 2 α i v + g L 1 γ i ( l i c 3 v c 4 α i v + l i v α i v f ) ] in objective function (6), which can be rewritten as i I v V q [ g F l i c 1 v c 2 α i v γ i + g L ( l i c 3 v c 4 α i v + l i v α i v f ) g L ( l i c 3 v c 4 α i v γ i + l i v α i v γ i f ) ] . Because of constraints (19)–(22), i I v V q [ g F l i c 1 v c 2 α i v γ i + g L ( l i c 3 v c 4 α i v + l i v α i v f ) g L ( l i c 3 v c 4 α i v γ i + l i v α i v γ i f ) ] can be further rewritten as i I v V q [ g F l i c 1 v c 2 μ i v + g L ( l i c 3 v c 4 α i v + l i v α i v f ) g L ( l i c 3 v c 4 μ i v + l i v μ i v f ) ] . In addition, constraints (8) need to be transformed to constraints (27) because sailing speeds of ships are discrete.
i I ( v V l i v α i v + t i ) 168 β .
As a result, the final version of the model [M1] becomes:
[ M 2 ]     min i I v V q [ g F l i c 1 v c 2 μ i v + g L ( l i c 3 v c 4 α i v + l i v α i v f l i c 3 v c 4 μ i v l i v μ i v f ) ] + 168 e q g F β + o β + i I a i F ε i F + a i L ε i L
subject to: Constraints (7), (9), (10), (15), and (27).

3. Results and Discussion

In order to evaluate the proposed model, we perform a large amount of experimental experiments on a PC (4 cores of CPUs, 1.6 GHz, Memory 8GB). The mathematical models proposed in this study are implemented in off-the-shelf solver Gurobi 9.0.1 (Anaconda, Python). This section first summarizes the value setting of our parameters in Section 3.1, then reports experimental results in Section 3.2, and finally conducts sensitivity analyses to look for managerial insights in Section 3.3.

3.1. Experimental Setting

Sailing distance data, i.e., l i , are obtained from the standard instances LINER-LIB [41]. The value of o (weekly fixed operating cost) is set to USD 180,000, which is in line with the setting in related papers [42,43]. The average price of intermediate fuel oil 380 (IFO380) in global 20 ports in 2021 is 432 USD/ton [44] and the LNG bunkering price paid by shipping liners is set to 800 USD/ton in [1], so we set the average values of LSFO’s unit price (i.e., a i F ), and LNG’s unit price (i.e., a i L ) to 432 USD/ton (normal distribution with standard deviation 20), and 800 USD/ton (normal distribution with standard deviation 20), respectively. The minimum and maximum values of sailing speed (i.e., v _ and v ¯ ) are set to 8 and 22 knots, respectively, which are consistent with the setting in previous studies [45,46]. Values of c 1 , and c 2 are set to 0.00085, and 2, respectively, which are in line with the setting in [38]. [1] stated that because LNG is about half the density of conventional heavy fuel oil but has about 20% higher calorific value, it takes about 1.8 times as much LNG to achieve the same distance compared to fuel oil on a volume ( m 3 ) basis. Therefore, values of c 3 , and c 4 are set to 0.000765, and 2, respectively. The value of t i (duration of a ship dwells at port of call i ) is randomly selected from ( 24 ,   48 ) hours. The value of s (the maximum number of ships that can be deployed on the ship route) depends on the length of one cycle time, and is set to 6 for regional ship routes or 10 for intercontinental shipping routes. The value of LSFO consumption per hour for the auxiliary engines ( e ) is set to 0.125 tons. The value of carbon tax per ton ( q ) is set to 47.31 USD/ton, which is consistent with the 2022 average carbon tax in Europe from [47]. Values of g F , and g L are set to 3.114 ton, and 2.750 ton, respectively, which is in line with the data from [48]. The value of the LNG tank capacity ( m ) is set to 2556 tons, which is in line with tank capacity of a realistic container ship [49]. In terms of b i , we randomly select 1 port of call as ports which can provide LNG bunkering facilities if the total number of ports of call is less than 5, and randomly select 2 ports of call as ports which can provide LNG bunkering facilities if the total number of ports of call is less than 10 but larger than 5. [36] reported that two main engines of an LNG ship had methane slip of about 2%, so this study sets the value of f to 0.11 (ton/h).

3.2. Basic Analysis

To investigate the performance of the proposed linearized model [M2], we conduct 10 sets of numerical experiments with different route compositions which are summarized in Table 1, where “Distance” column in Table 1 represents the distance of the corresponding route. The computation results are recorded in Table 2, where the objective function value obtained by Gurobi is represented by “OBJ”, and CPU running time is represented by “Time”. Table 2 shows that the objective function value increases with increasing route distance, which is intuitive because ships need more energy for a longer voyage and more ships are needed for a longer route to maintain the weekly arrival pattern. In addition, the efficiency of the proposed method is verified, which implies the possibility of applying the proposed model to practical problems to help decision-makers of shipping liners make operational decisions. Considering both the number of legs and route length, route ID 10 is selected as a computational instance for the following sensitivity analyses.

3.3. Sensitivity Analyses

In the basic analysis, some important parameters, such as price difference between LSFO and LNG, carbon tax, and methane slip amount, are set to be deterministic, however these parameters are often fluctuated in real life. Therefore, sensitivity analyses on these parameters are conducted to investigate the influences of these parameters on the operation decisions.
This study first investigates the impact of the price difference between LSFO and LNG on the operation decisions. In the basic analysis, the average values of LSFO’s unit price (i.e., a i F ) and LNG’s unit price (i.e., a i L ) are set to 432 USD/ton (normal distribution with standard deviation 20) and 800 USD/ton (normal distribution with standard deviation 20), respectively. According to [44], from January 2021 to May 2022, the minimum and maximum prices of IFO380 are 335 and 769.5 USD/ton, respectively. Therefore, as shown in Table 3, we keep the setting of a i L unchanged and change the average value of a i F (normal distribution with standard deviation 20) to change the price difference between the two oils. Table 3 records the objective value represented by “OBJ”, the number of ships deployed on the ship route represented by “ β ”, the amount of LSFO refueled during the trip represented by “ i I ε i F ”, the amount of LNG refueled during the trip represented by “ i I ε i L ”, and the ratio of the numbers of legs using LSFO and LNG for main engine represented by “Fuel option rate” under different a i F . In order to make the result more intuitive, we draw Figure 1 whose abscissa is the unit price of LSFO at port of call i , and the ordinate is refueling amount. From Table 3, when a i F is less than 750 USD/ton, the objective value increases with higher LSFO’s unit price a i F because the cost of LSFO increases, and all legs select LSFO because LSFO’s unit price is lower than LNG’s unit price and carbon tax price is also low. However, when both a i F and a i L are equal to 800 USD/ton, all legs select LNG because it has a lower density and higher calorific value so that it can lead to lower fuel and carbon tax costs. In summary, when the price difference between LSFO and LNG varies from 0 to 500 USD/ton, there is no need to deploy more ships in order to save the fuel cost by choosing slow steaming.
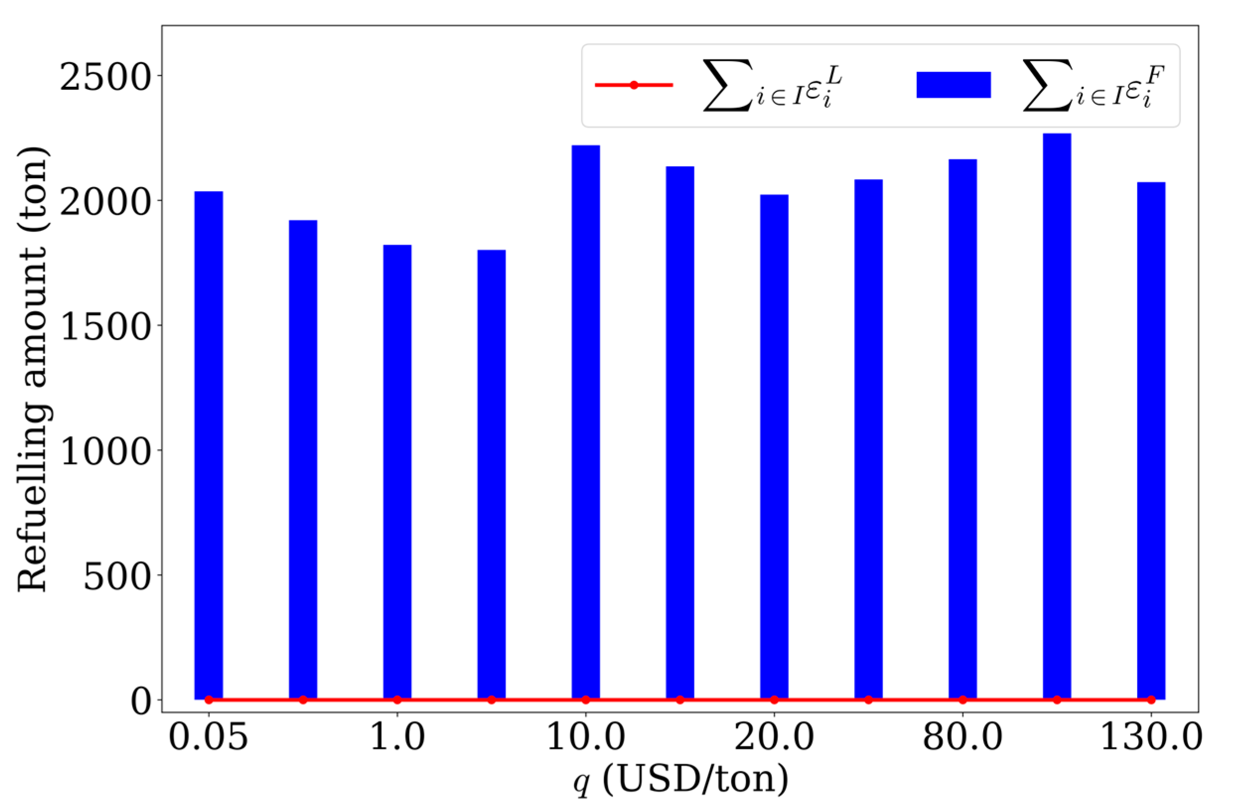
This study then investigates the impact of carbon tax on the operation decisions. Carbon tax policies vary widely from country to country. For example, in Europe, Sweden has the strictest carbon tax policy, levying the highest carbon tax per ton of carbon emissions at USD 129.89, while Poland has the loosest carbon tax policy, levying the lowest carbon tax rate at 0.08 USD/ton [47]. Hence, we set the carbon tax per ton ( q ) from 0.05 to 130.00 USD/ton to investigate its influence. Relevant results are recorded in Table 4, which records the objective value represented by “OBJ”, the number of ships deployed on the ship route represented by “ β ”, the amount of LSFO refueled during the trip represented by “ i I ε i F ”, the amount of LNG refueled during the trip represented by “ i I ε i L ”, and the ratio of the numbers of legs using LSFO and LNG for main engine represented by “Fuel option rate” under different q . In order to make the result more intuitive, we draw Figure 2 whose abscissa is the carbon tax per ton, and the ordinate is refueling amount. Table 4 shows that the objective value increases but the fuel option rate does not change with increasing higher carbon tax rate, because there is no significant difference in carbon emissions between LNG and LSGO (according to [48], CO 2 emissions from burning a ton of LSFO and burning a ton of LNG are 3.114 ton and 2.750 ton, respectively). Even under the existing strictest carbon tax policy, shipping liners do not need to deploy more ships and slow steaming to reduce the total weekly cost.
Finally, this study investigates the impact of methane slip amount on the operation decisions because methane slip poses a threat to green shipping, and the amount of methane slip may become larger because of widespread leaks caused by unpredictable mechanical failure or lower due to the invention of new methane capture technologies in the future. In the basic analysis, the amount of LNG leaked from the main engine of a deployed ship when burning LNG per hour ( f ) is set to 0.11 ton/h. To better evaluate the impact of different f on the model [M2], we set the prices of both LNG and LSFO to 800 USD/ton, then solve the model [M2] with f varying between 0.03 and 0.30 ton/h, and finally record the results including the objective value (OBJ), the number of ships deployed on the ship route ( β ), the amount of LSFO refueled during the trip ( i I ε i F ), the amount of LNG refueled during the trip ( i I ε i L ), and the ratio of the numbers of legs using LSFO and LNG for main engine (Fuel option rate) in Table 5. In order to make the result more intuitive, we also draw Figure 3 whose abscissa is the amount of LNG leaked from the main engine of a deployed ship when burning LNG per hour, and the ordinate is refueling amount. From Table 5, the number of deployed ships (i.e., β ) keeps same with all f . When f is less than 0.24 ton/h, the total amount of LSFO refueled (i.e., i I ε i F ) fluctuates within a limited range, and the fuel option rate remain the same; all deployed ships choose LNG as the main engine fuel. When f is larger than 0.27 ton/h, deployed ships refuel more LSFO with increasing f because the amount of LNG leaked from the main engine costs too much. In summary, methane slip affects the choice of oil types for ships. When methane slip exceeds 0.27 ton/h, ships no longer burn LNG.

4. Conclusions

Growing environmental awareness and strict regulations from international organizations are forcing shipping liners to reduce pollution. Faced with this phenomenon, the use of dual-fuel ships is one of the most promising options for reducing pollution from the shipping industry. However, existing literature lacks research on the comprehensive optimization problem of fleet deployment, ship refueling, and speed optimization for dual-fuel ships considering methane slip. To fill this research gap, this study formulates a nonlinear MIP model for dual-fuel ships with the consideration of fuel consumption of both main and auxiliary engines, ship carbon emissions, availability of LNG at different ports of call, and methane slip from ships’ main engines. Contributions of this paper are summarized from the following two aspects: first, a nonlinear MIP model is proposed for the integrated optimization problem of fleet deployment, ship refueling, and speed optimization for dual-fuel ships to optimally determine the number of deployed ships, at which port and how much fuel (and which fuel) the deployed ships should be refueled, and sailing speeds of deployed ships during each voyage leg. To deal with the challenge of solving a nonlinear MIP model, several linearization techniques are applied to transform it to a linear model which can be solved directly by off-the-shelf solvers. The proposed linearized model can be solved quickly by Gurobi, namely shorter than 0.12 s, which implies the possibility of applying the proposed model to practical problems to help decision-makers of shipping liners make operational plans. Secondly, sensitivity analyses with important parameters, such as the price difference between LSFO and LNG, carbon tax, and methane slip amount, are conducted to show the influences of these factors on the results to seek managerial insights. For example, when the price difference between LSFO and LNG varies from 0 to 500 USD/ton, there is no need to deploy more ships in order to save the fuel cost by choosing slow steaming. Additionally, even under the existing strictest carbon tax policy, shipping liners do not need to deploy more ships and slow steaming to reduce the total weekly cost. In addition, methane slip affects the choice of oil types for ships. When methane slip exceeds 0.27 ton/h, ships no longer burn LNG.
However, there are some limitations for the current methodology. This study does not consider uncertainty. Since fuel prices change dramatically from time to time, uncertain fuel prices may be incorporated into the problem in the future. In addition, although shipping inevitably produces CO 2 , how to utilize the CO 2 produced can be investigated to reduce the environmental impact of shipping [50]. Moreover, advanced sustainability assessment tools, e.g., life cycle assessment and exergy analysis, may be used when studying sustainability features of the shipping industry [51]. Finally, other alternative marine fuels, such as hydrogen and biofuels [52,53,54], can be investigated to seek more managerial insights. In general, this study provides a scientific approach to help manage liner operations for dual-fuel ships in in the context of maritime decarbonization.

Author Contributions

Conceptualization, H.W.; methodology, H.W. and Y.W.; software, Y.H.; validation, Y.W., Y.H. and H.W.; formal analysis, Y.W. and Y.H.; investigation, Y.W. and Y.H.; data curation, Y.W. and H.W.; writing—original draft preparation, Y.W. and Y.H.; writing—review and editing, Y.W., Y.H., H.W. and L.Z.; visualization, Y.W. and Y.H.; supervision, H.W. and L.Z.; project administration, H.W.; funding acquisition, H.W. All authors have read and agreed to the published version of the manuscript.

Funding

This research was funded by the Research Grants Council of the Hong Kong Special Adminis-trative Region, China (grant number 15202019) and GuangDong Basic and Applied Basic Research Foundation (grant number 2019A1515011297).

Conflicts of Interest

The authors declare no conflict of interest.

References

  1. Wang, S.; Qi, J.; Laporte, G. Governmental subsidy plan modeling and optimization for liquefied natural gas as fuel for maritime transportation. Transp. Res. Part B Methodol. 2021, 155, 304–321. [Google Scholar] [CrossRef]
  2. Ytreberg, E.; Åström, S.; Fridell, E. Valuating environmental impacts from ship emissions–the marine perspective. J. Environ. Manag. 2021, 282, 111958. [Google Scholar] [CrossRef] [PubMed]
  3. Wang, S.; Notteboom, T. The Adoption of Liquefied Natural Gas as a Ship Fuel: A Systematic Review of Perspectives and Challenges. Transp. Rev. 2014, 34, 749–774. [Google Scholar] [CrossRef]
  4. Elengy. LNG: An Energy of the Future. 2015. Available online: https://www.elengy.com/en/lng/lng-an-energy-of-the-future.html (accessed on 31 August 2022).
  5. Engineering ToolBox (ET). LNG–Liquefied Natural Gas. 2008. Available online: https://www.engineeringtoolbox.com/liquefied-natural-gas-lng-d_1092.html (accessed on 18 September 2022).
  6. Oiltanking. Heavy Fuel Oil (HFO). 2015. Available online: https://www.oiltanking.com/en/news-info/glossary/heavy-fuel-oil-hfo.html (accessed on 18 September 2022).
  7. Unitrove. Liquefied Natural Gas (LNG). 2022. Available online: https://www.unitrove.com/engineering/gas-technology/liquefied-natural-gas (accessed on 18 September 2022).
  8. Electrical4U. Calorific Values of Fuel. 2020. Available online: https://www.electrical4u.com/calorific-values-of-fuel/ (accessed on 18 September 2022).
  9. ABS. LNG Bunkering: Technical and Operational Advisory. 2020. Available online: https://superlng.adrioninterreg.eu/wp-content/uploads/2020/04/2_FILE.pdf (accessed on 15 July 2022).
  10. Hapag-Lloyd. “The First 23,500+ TEU Ships Will Be READY for Deployment in 2023”–Interview with Lutz-Michael Dyck. 2022. Available online: https://www.hapag-lloyd.com/zh/company/about-us/newsletter/2022/02/-the-first-23-500--teu-ships-will-be-ready-for-deployment-in-202.html (accessed on 13 July 2022).
  11. CGTN. China Delivers World’s First Super-Large LNG Dual-Fuel Oil Tanker. 2022. Available online: https://news.cgtn.com/news/2022-03-02/China-delivers-world-s-first-super-large-LNG-dual-fuel-oil-tanker-184m5c0tP1u/index.html (accessed on 13 July 2022).
  12. Elengy. What Is LNG? 2015. Available online: https://www.elengy.com/en/lng/what-is-lng.html (accessed on 31 August 2022).
  13. United States Environmental Protection Agency (USEPA). Importance of Methane. 2022. Available online: https://www.epa.gov/gmi/importance-methane (accessed on 13 July 2022).
  14. United Nations Economic Commission for Europe (UNECE). The Challenge. 2022. Available online: https://unece.org/challenge (accessed on 13 July 2022).
  15. UCDAVIS. Why Methane from Cattle Warms the Climate Differently than CO_2 from Fossil Fuels. 2020. Available online: https://clear.ucdavis.edu/explainers/why-methane-cattle-warms-climate-differently-co2-fossil-fuels (accessed on 18 September 2022).
  16. Wang, S.; Meng, Q. Container liner fleet deployment: A systematic overview. Transp. Res. Part C Emerg. Technol. 2017, 77, 389–404. [Google Scholar] [CrossRef]
  17. Gelareh, S.; Meng, Q. A novel modeling approach for the fleet deployment problem within a short-term planning horizon. Transp. Res. Part E Logist. Transp. Rev. 2010, 46, 76–89. [Google Scholar] [CrossRef]
  18. Meng, Q.; Wang, S. Optimal operating strategy for a long-haul liner service route. Eur. J. Oper. Res. 2011, 215, 105–114. [Google Scholar] [CrossRef]
  19. Sheng, X.; Chew, E.P.; Lee, L.H. (s, S) policy model for liner shipping refueling and sailing speed optimization problem. Transp. Res. Part E Logist. Transp. Rev. 2015, 76, 76–92. [Google Scholar] [CrossRef]
  20. Xia, J.; Li, K.X.; Ma, H.; Xu, Z. Joint planning of fleet deployment, speed optimization, and cargo allocation for liner shipping. Transp. Sci. 2015, 49, 922–938. [Google Scholar] [CrossRef]
  21. Meng, Q.; Du, Y.; Wang, Y. Shipping log data based container ship fuel efficiency modeling. Transp. Res. Part B Methodol. 2016, 83, 207–229. [Google Scholar] [CrossRef]
  22. Zhuge, D.; Wang, S.; Wang, D.Z. A joint liner ship path, speed and deployment problem under emission reduction measures. Transp. Res. Part B Methodol. 2021, 144, 155–173. [Google Scholar] [CrossRef]
  23. De, A.; Choudhary, A.; Turkay, M.; Tiwari, M.K. Bunkering policies for a fuel bunker management problem for liner shipping networks. Eur. J. Oper. Res. 2021, 289, 927–939. [Google Scholar] [CrossRef]
  24. De, A.; Wang, J.; Tiwari, M.K. Fuel Bunker Management Strategies Within Sustainable Container Shipping Operation Considering Disruption and Recovery Policies. IEEE Trans. Eng. Manag. 2019, 68, 1089–1111. [Google Scholar] [CrossRef]
  25. Zhen, L.; Wang, S.; Zhuge, D. Dynamic programming for optimal ship refueling decision. Transp. Res. Part E Logist. Transp. Rev. 2017, 100, 63–74. [Google Scholar] [CrossRef]
  26. Wang, C.; Chen, J. Strategies of refueling, sailing speed and ship deployment of containerships in the low-carbon background. Comput. Ind. Eng. 2017, 114, 142–150. [Google Scholar] [CrossRef]
  27. Argyriou, I.; Daras, T.; Tsoutsos, T. Challenging a sustainable port. A case study of Souda port, Chania, Crete. Case Stud. Transp. Policy. 2022, 10, 2125–2137. [Google Scholar] [CrossRef]
  28. Cabello, J.J.; Garcia, D.; Sagastume, A.; Priego, R.; Hens, L.; Vandecasteele, C. An approach to sustainable development: The case of Cuba. Environ. Dev. Sustain. 2012, 14, 573–591. [Google Scholar] [CrossRef]
  29. Eras, J.J.C.; Gutiérrez, A.S.; Lorenzo, D.M.G.; Martínez, J.B.C.; Hens, L.; Vandecasteele, C. Bridging universities and industry through cleaner production activities. Experiences from the Cleaner Production Center at the University of Cienfuegos, Cuba. J. Clean. Prod. 2015, 108, 873–882. [Google Scholar] [CrossRef]
  30. Hens, L.; Block, C.; Cabello-Eras, J.J.; Sagastume-Gutierez, A.; Garcia-Lorenzo, D.; Chamorro, C.; Herrera Mendoza, K.; Haeseldonckx, D.; Vandecasteele, C. On the evolution of “cleaner production” as a concept and a practice. J. Clean. Prod. 2018, 172, 3323–3333. [Google Scholar] [CrossRef]
  31. Zhen, L.; Hu, Z.; Yan, R.; Zhuge, D.; Wang, S. Route and speed optimization for liner ships under emission control policies. Transp. Res. Part C Emerg. Technol. 2019, 110, 330–345. [Google Scholar] [CrossRef]
  32. Besbes, O.; Savin, S. Going Bunkers: The Joint Route Selection and Refueling Problem. Manuf. Serv. Oper. Manag. 2009, 11, 694–711. [Google Scholar] [CrossRef]
  33. Lashgari, M.; Akbari, A.A. Fleet deployment, ship routing and refueling optimization problem. J. Mar. Sci. Technol. 2020, 18, 33–48. [Google Scholar] [CrossRef]
  34. Lashgari, M.; Akbari, A.A.; Nasersarraf, S. A new model for simultaneously optimizing ship route, sailing speed, and fuel consumption in a shipping problem under different price scenarios. Appl. Ocean Res. 2021, 113, 102725. [Google Scholar] [CrossRef]
  35. Ma, D.; Ma, W.; Hao, S.; Jin, S.; Qu, F. Ship’s response to low-sulfur regulations: From the perspective of route, speed and refueling strategy. Comput. Ind. Eng. 2021, 155, 107140. [Google Scholar] [CrossRef]
  36. Lloyd’s List. LNG Ship Generator Engines Leak More Methane than Main Engines, Study Finds. 2022. Available online: https://lloydslist-maritimeintelligence-informa-com.ezproxy.lb.polyu.edu.hk/LL1141215/LNG-ship-generator-engines-leak-more-methane-than-main-engines-study-finds (accessed on 11 July 2022).
  37. Ronen, D. The effect of oil price on the optimal speed of ships. J. Oper. Res. Soc. 1982, 33, 1035–1040. [Google Scholar] [CrossRef]
  38. Wang, S.; Meng, Q. Robust schedule design for liner shipping services. Transp. Res. Part E Logist. Transp. Rev. 2012, 48, 1093–1106. [Google Scholar] [CrossRef]
  39. Engineering ToolBox (ET). Fuels–Higher and Lower Calorific Values. 2003. Available online: https://www.engineeringtoolbox.com/fuels-higher-calorific-values-d_169.html (accessed on 12 July 2022).
  40. Halvorsen-Weare, E.E.; Fagerholt, K. Routing and scheduling in a liquefied natural gas shipping problem with inventory and berth constraints. Ann. Oper. Res. 2010, 203, 167–186. [Google Scholar] [CrossRef]
  41. Brouer, B.D.; Alvarez, J.F.; Plum, C.E.M.; Pisinger, D.; Sigurd, M.M. A Base Integer Programming Model and Benchmark Suite for Liner-Shipping Network Design. Transp. Sci. 2014, 48, 281–312. [Google Scholar] [CrossRef]
  42. Alharbi, A.; Wang, S.; Davy, P. Schedule design for sustainable container supply chain networks with port time windows. Adv. Eng. Inform. 2015, 29, 322–331. [Google Scholar] [CrossRef]
  43. Zhen, L.; Hu, Y.; Wang, S.; Laporte, G.; Wu, Y. Fleet deployment and demand fulfillment for container shipping liners. Transp. Res. Part B Methodol. 2019, 120, 15–32. [Google Scholar] [CrossRef]
  44. Ship and Bunker (S&B). World Bunker Prices. 2022. Available online: https://shipandbunker.com/prices/av/global/av-g20-global-20-ports-average.#IFO380 (accessed on 14 July 2022).
  45. Wang, Y.; Meng, Q.; Du, Y. Liner container seasonal shipping revenue management. Transp. Res. Part B Methodol. 2015, 82, 141–161. [Google Scholar] [CrossRef]
  46. Zhen, L.; Wu, Y.; Wang, S.; Laporte, G. Green technology adoption for fleet deployment in a shipping network. Transp. Res. Part B Methodol. 2020, 139, 388–410. [Google Scholar] [CrossRef]
  47. Bray, S. Carbon Taxes in Europe. 2022. Available online: https://taxfoundation.org/carbon-taxes-in-europe-2022/ (accessed on 14 July 2022).
  48. Verifavia. Which Emission Factors Shall Be Used? 2022. Available online: https://www.verifavia-shipping.com/shipping-carbon-emissions-verification/faq-which-emission-factors-shall-be-used-110.php (accessed on 14 July 2022).
  49. Pekic, S. Hyundai Samho Picks GTT TANK Design for Four LNG-Fueled Containerships. 2022. Available online: https://www.offshore-energy.biz/hyundai-samho-picks-gtt-tank-design-for-four-lng-fuelled-containerships/ (accessed on 15 July 2022).
  50. Anwar, M.; Fayyaz, A.; Sohail, N.; Khokhar, M.; Baqar, M.; Yasar, A.; Rasool, K.; Nazir, A.; Raja, M.; Rehan, M.; et al. CO2 utilization: Turning greenhouse gas into fuels and valuable products. J. Environ. Manag. 2020, 260, 110059. [Google Scholar] [CrossRef]
  51. Aghbashlo, M.; Hosseinzadeh-Bandbafha, H.; Shahbeik, H.; Tabatabaei, M. The role of sustainability assessment tools in realizing bioenergy and bioproduct systems. Biofuel Res. J. 2022, 9, 1697–1706. [Google Scholar] [CrossRef]
  52. Aghbashlo, M.; Peng, W.; Tabatabaei, M.; Kalogirou, S.A.; Soltanian, S.; Hosseinzadeh-Bandbafha, H.; Mahian, O.; Lam, S.S. Machine learning technology in biodiesel research: A review. Prog. Energy Combust. Sci. 2021, 85, 100904. [Google Scholar] [CrossRef]
  53. Foteinis, S.; Chatzisymeon, E.; Litinas, A.; Tsoutsos, T. Used-cooking-oil biodiesel: Life cycle assessment and comparison with first- and third-generation biofuel. Renew. Energy 2020, 153, 588–600. [Google Scholar] [CrossRef]
  54. Sagastume-Gutiérrez, A.; Eras, J.J.C.; Rueda-Bayona, J.G.; Hens, L.; Vandecasteele, C. Assessing the biofuel–transport nexus. The case of the sugar industry in Cuba. J. Clean. Prod. 2020, 267, 122144. [Google Scholar] [CrossRef]
Figure 1. Comparison of i I ε i F and i I ε i L values under different a i F .
Figure 1. Comparison of i I ε i F and i I ε i L values under different a i F .
Jmse 10 01690 g001
Figure 2. Comparison of i I ε i F and i I ε i L values under different q .
Figure 2. Comparison of i I ε i F and i I ε i L values under different q .
Jmse 10 01690 g002
Figure 3. Comparison of i I ε i F and i I ε i L values under different f .
Figure 3. Comparison of i I ε i F and i I ε i L values under different f .
Jmse 10 01690 g003
Table 1. Summary of 10 routes.
Table 1. Summary of 10 routes.
Route IDPort Rotation (City)Distance (n Mile)
1 Kaohsiung     General   Santos   City   Manila   Kaohsiung2574
2 Kaohsiung   Tokyo   Nagoya   Kaohsiung2819
3 General   Santos   City   Manila   Sin gapore   General Santos City3485
4 Hong   Kong   Xiamen   Kaohsiung   Manila   Hong Kong2006
5 Sin gapore   Port   Klang   Chennai   Kochi   Singapore4508
6 Karachi   Nhava   Sheva   Colombo   Sin gapore   Karachi5856
7 Kaohsiung   Keelung   Shanghai   Tan jung   Pelepas   Jakarta   Kaohsiung5593
8 Laem   Chabang   Colombo   Rotterdam   Hamburg   Sin gapore   Laem Chabang25,973
9 Laem   Chabang   Ho   Chi   Minh   City   Kaohsiung   Tokyo   Nagoya   Kobe   Hong   Kong   Laem Chabang7315
10 Shanghai   Xiamen   Hong   Kong   Sin gapore   Colombo   Nhava   Sheva   Pipavav   Port   Klang   Shanghai10,419
Table 2. Computational results of the basic analysis.
Table 2. Computational results of the basic analysis.
Route IDOBJTime (s)
1111,546.730.05
2119,586.020.05
3148,833.320.08
489,889.370.08
5188,300.840.06
6240,803.730.05
7236,898.300.06
84,015,023.800.12
9436,293.910.08
101,228,379.230.11
Table 3. Impact of the price difference between LSFO and LNG on the operation decisions.
Table 3. Impact of the price difference between LSFO and LNG on the operation decisions.
a i F   ( USD / ton ) OBJ β i I ε i F i I ε i L Fuel Option Rate
300816,921.6962035.720.008:0
350912,734.6961920.290.008:0
400956,468.6061821.920.008:0
4501,034,854.6561801.400.008:0
5001,373,330.1962220.630.008:0
5501,460,415.9662135.390.008:0
6001,486,847.4562023.130.008:0
6501,593,468.4162082.940.008:0
7001,780,689.2862164.380.008:0
7501,924,538.1262267.830.008:0
8001,809,260.156126.001829.380:8
Notes: (1) “ OBJ ”, “ β ”, “ i I ε i F ”, and “ i I ε i L ” record the objective function value of model [M2], the total number of deployed ships, the total amount of LSFO refueled, and the total amount of LNG refueled, respectively; (2) In “Fuel option rate” column, the two numbers before and after the colon are the number of legs where LSFO is used and the number of legs where LNG is used for main engine.
Table 4. Impact of carbon tax on the operation decisions.
Table 4. Impact of carbon tax on the operation decisions.
q   ( USD / ton ) OBJ β i I ε i F i I ε i L Fuel Option Rate
0.05786,042.3362035.720.00 8:0
0.50790,282.9861920.290.00 8:0
1.00752,029.0261821.920.00 8:0
5.00765,088.9061801.400.00 8:0
10.00964,326.5062220.630.00 8:0
20.001,026,838.8662135.390.00 8:0
30.001,037,944.6462023.200.00 8:0
50.001,156,836.0862082.940.00 8:0
80.001,420,963.5762164.380.00 8:0
100.001,575,466.7962267.830.00 8:0
130.001,693,113.3362072.660.00 8:0
Notes: (1) “ OBJ ”, “ β ”, “ i I ε i F ”, and “ i I ε i L ” record the objective function value of model [M2], the total number of deployed ships, the total amount of LSFO refueled, and the total amount of LNG refueled, respectively; (2) In “Fuel option rate” column, the two numbers before and after the colon are the number of legs where LSGO is used and the number of legs where LNG is used for main engine.
Table 5. Impact of methane slip amount on the operation decisions.
Table 5. Impact of methane slip amount on the operation decisions.
f   ( ton / h ) OBJ β i I ε i F i I ε i L Fuel Option Rate
0.031,720,783.856125.981740.080:8
0.061,637,685.436125.961644.920:8
0.091,708,252.536126.001739.270:8
0.121,571,432.466126.001590.080:8
0.151,685,806.836125.961699.300:8
0.181,893,698.376125.971925.060:8
0.211,930,711.196125.991960.390:8
0.241,726,681.236125.991804.590:8
0.271,779,744.4061401.98524.745:3
0.301,827,629.3062033.800.008:0
Notes: (1) “ OBJ ”, “ β ”, “ i I ε i F ”, and “ i I ε i L ” record the objective function value of model [M2], the total number of deployed ships, the total amount of LSFO refueled, and the total amount of LNG refueled, respectively; (2) In “Fuel option rate” column, the two numbers before and after the colon are the number of legs where LSGO is used and the number of legs where LNG is used for main engine.
Publisher’s Note: MDPI stays neutral with regard to jurisdictional claims in published maps and institutional affiliations.

Share and Cite

MDPI and ACS Style

Wu, Y.; Huang, Y.; Wang, H.; Zhen, L. Joint Planning of Fleet Deployment, Ship Refueling, and Speed Optimization for Dual-Fuel Ships Considering Methane Slip. J. Mar. Sci. Eng. 2022, 10, 1690. https://doi.org/10.3390/jmse10111690

AMA Style

Wu Y, Huang Y, Wang H, Zhen L. Joint Planning of Fleet Deployment, Ship Refueling, and Speed Optimization for Dual-Fuel Ships Considering Methane Slip. Journal of Marine Science and Engineering. 2022; 10(11):1690. https://doi.org/10.3390/jmse10111690

Chicago/Turabian Style

Wu, Yiwei, Yadan Huang, H. Wang, and Lu Zhen. 2022. "Joint Planning of Fleet Deployment, Ship Refueling, and Speed Optimization for Dual-Fuel Ships Considering Methane Slip" Journal of Marine Science and Engineering 10, no. 11: 1690. https://doi.org/10.3390/jmse10111690

APA Style

Wu, Y., Huang, Y., Wang, H., & Zhen, L. (2022). Joint Planning of Fleet Deployment, Ship Refueling, and Speed Optimization for Dual-Fuel Ships Considering Methane Slip. Journal of Marine Science and Engineering, 10(11), 1690. https://doi.org/10.3390/jmse10111690

Note that from the first issue of 2016, this journal uses article numbers instead of page numbers. See further details here.

Article Metrics

Back to TopTop