Development of a Computational Model for Investigation of and Oscillating Water Column Device with a Savonius Turbine
Abstract
:1. Introduction
2. Mathematical Modeling
2.1. Description of the Studied Cases
2.2. Governing Equations of Turbulent Flows
3. Numerical Modeling
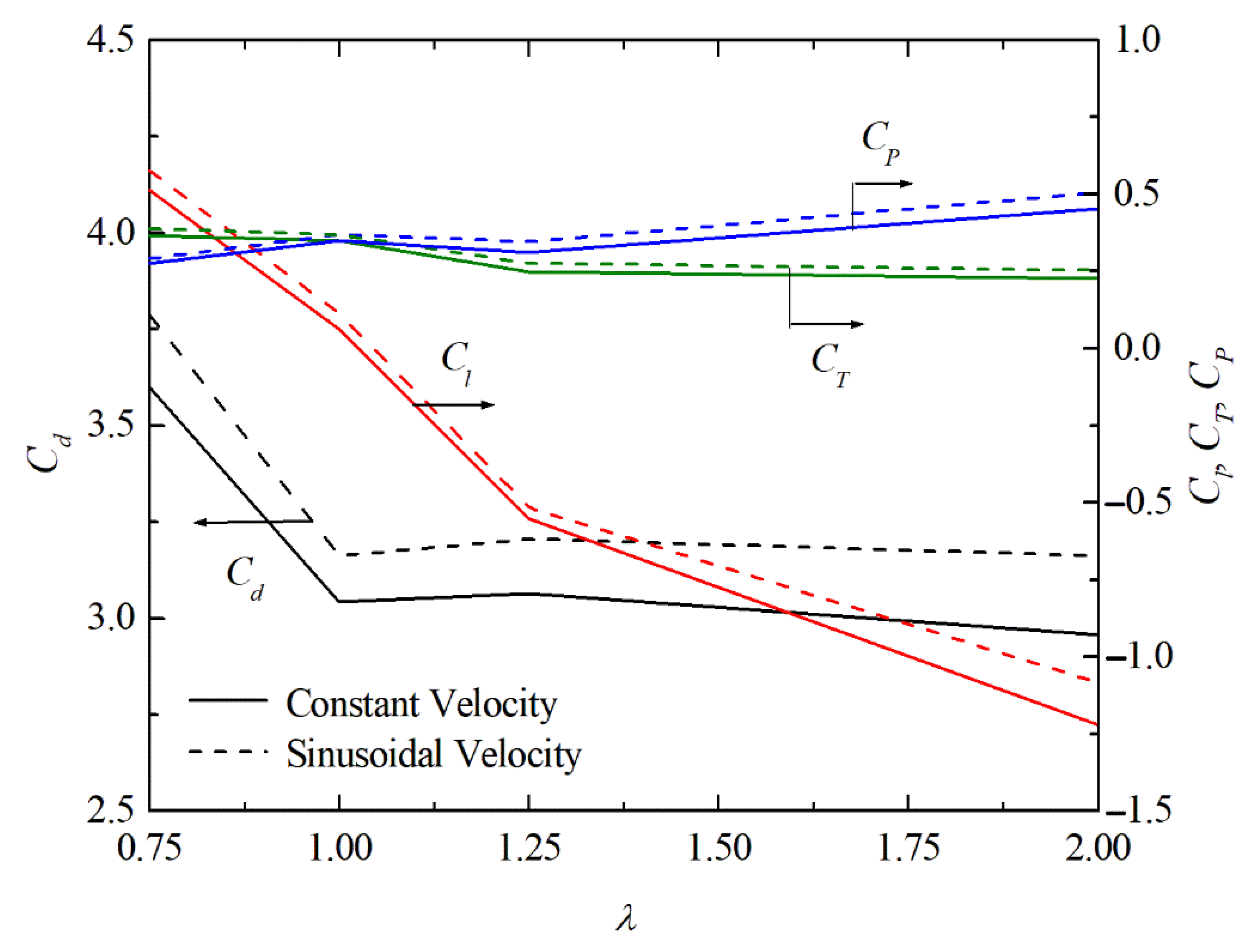
4. Results and Discussion
4.1. Verification/Validation of the Computational Model (Case 1)
4.2. The Results of the Savonius Turbine Inserted in an OWC Domain (Case 2 and Case 3)
5. Conclusions
Author Contributions
Funding
Institutional Review Board Statement
Informed Consent Statement
Data Availability Statement
Acknowledgments
Conflicts of Interest
References
- International Energy Agency (IEA). World Energy Outlook 2019; International Energy Agency: Paris, France, 2019. [Google Scholar]
- Jenniches, S. Assessing the regional economic impacts of renewable energy sources—A literature review. Renew. Sustain. Energy Rev. 2018, 93, 35–51. [Google Scholar] [CrossRef]
- Cheng, M.; Zhu, Y. The state of the art of wind energy conversion systems and technologies: A review. Energy Convers. Manag. 2014, 88, 332–347. [Google Scholar] [CrossRef]
- Olabi, A.G.; Wilberforce, T.; Elsaid, K.; Salameh, T.; Sayed, E.T.; Husain, K.S.; Abdelkareem, M.A. Selection Guidelines for Wind Energy Technologies. Energies 2021, 14, 3244. [Google Scholar] [CrossRef]
- Kumar, K.R.; Chaitanya, N.V.V.K.; Kumar, N.S. Solar thermal energy technologies and its applications for process heating and power generation—A review. J. Clean. Prod. 2021, 282, 125296. [Google Scholar] [CrossRef]
- Seme, S.; Štumberger, B.; Hadžiselimović, M.; Sredenšek, K. Solar Photovoltaic Tracking Systems for Electricity Generation: A Review. Energies 2020, 13, 4224. [Google Scholar] [CrossRef]
- Nunes, B.R.; Rodrigues, M.K.; Rocha, L.A.O.; Labat, M.; Lorente, S.; Dos Santos, E.D.; Isoldi, L.A.; Biserni, C. Numerical-analytical study of earth-air heat exchangers with complex geometries guided by constructal design. Int. J. Energy Res. 2021, 45, 20970–20987. [Google Scholar] [CrossRef]
- Khan, N.; Kalair, A.; Abas, N.; Haider, A. Review of ocean tidal, wave and thermal energy technologies. Renew. Sustain. Energy Rev. 2017, 72, 590–604. [Google Scholar] [CrossRef]
- Melikoglu, M. Current status and future of ocean energy sources: A global review. Ocean Eng. 2018, 148, 563–573. [Google Scholar] [CrossRef]
- Curto, D.; Franzitta, V.; Guercio, A. Sea Wave Energy. A Review of the Current Technologies and Perspectives. Energies 2021, 14, 6604. [Google Scholar] [CrossRef]
- Chen, L.; Li, W.; Li, J.; Fu, Q.; Wang, T. Evolution Trend Research of Global Ocean Power Generation Based on a 45-Year Scientometric Analysis. J. Mar. Sci. Eng. 2021, 9, 218. [Google Scholar] [CrossRef]
- Falcão, A.F.D.O. Wave Energy Utilization: A Review of the Technologies. Renew. Sustain. Energy Rev. 2010, 14, 899–918. [Google Scholar] [CrossRef]
- Zabihian, F.; Fung, A.S. Review of Marine Renewable Energies: Case Study of Iran. Renew. Sustain. Energy Rev. 2011, 15, 2461–2474. [Google Scholar] [CrossRef]
- López, I.; Andreu, J.; Ceballos, S.; De Alegría, I.M.; Kortabarria, I. Review of wave energy technologies and the necessary power-equipment. Renew. Sustain. Energy Rev. 2013, 27, 413–434. [Google Scholar] [CrossRef]
- Liu, W.; Xu, X.; Chen, F.; Liu, Y.; Li, S.; Liu, L.; Chen, Y. A Review of Research on the Closed Thermodynamic Cycles of Ocean Thermal Energy Conversion. Renew. Sustain. Energy Rev. 2020, 119, 109581. [Google Scholar] [CrossRef]
- Temiz, I.; Ekweoba, C.; Thomas, S.; Kramer, M.; Savin, A. Wave Absorber Ballast Optimization based on the Analytical Model for a Pitching Wave Energy Converter. Ocean Eng. 2021, 240, 109906. [Google Scholar] [CrossRef]
- Müller, G.; Whittaker, T.J.T. Field measurements of breaking wave loads on a shoreline wave power station. Proc. ICE Water Marit. Energy 1995, 112, 187–197. [Google Scholar] [CrossRef]
- Müller, G.; Whittaker, T.J.T. An evaluation of design wave impact pressures. J. Waterw. Port Coast. Ocean Eng. 1996, 122, 55–58. [Google Scholar] [CrossRef]
- Patterson, C.; Dunsire, R.; Hillier, S. Development of wave energy breakwater at Siadar, Isle of Lewis. In Proceedings of the ICE Conference Coasts, Marine Structures & Breakwaters, Edinburgh, UK, 16–18 September 2009; pp. 738–749. [Google Scholar] [CrossRef]
- Bryden, I.G. Progress towards a viable UK marine renewable energy. In Proceedings of the ICE Conference Coasts, Marine Structures & Breakwaters, Edinburgh, UK; 2009; pp. 2–13. [Google Scholar] [CrossRef]
- Torre-Enciso, Y.; Ortubia, I.; López de Aguileta, L.I.; Marqués. Mutriku Wave Power Plant: From the thinking out to the reality. In Proceedings of the 8th European Wave and Tidal Energy Conference, Uppsala, Sweden, 7–10 September 2009; pp. 319–329. [Google Scholar]
- Torre-Enciso, Y.; Marqués, J.; López de Aguileta, L.I. Mutriku. Lessons learnt. In Proceedings of the 3rd International Conference on Ocean Energy, Bilbao, Spain, 6–8 October 2010; pp. 1–6. [Google Scholar]
- Dizadji, N.; Sajadian, S.E. Modeling and Optimization of the Chamber of OWC System. Energy 2011, 36, 2360–2366. [Google Scholar] [CrossRef]
- Mahnamfar, F.; Altunkaynak, A. OWC-Type Wave Chamber Optimization under Series of Regular Waves. Arab. J. Sci. Eng. 2016, 41, 1543–1549. [Google Scholar] [CrossRef]
- Viviano, A.; Naty, S.; Foti, E.; Bruce, T.; Allsop, W.; Vicinanza, D. Large-Scale Experiments on the Behaviour of Generalised Oscillating Water Column under Random Waves. Renew. Energy 2016, 99, 875–887. [Google Scholar] [CrossRef] [Green Version]
- Gadelho, J.F.M.; Rezanejad, K.; Xu, S.; Hinostroza, M.; Soares, C.G. Experimental study on the motions of a dual chamber floating oscillating water column device. Renew. Energy 2021, 170, 1257–1274. [Google Scholar] [CrossRef]
- Rezanejad, K.; Gadelho, J.F.M.; Xu, S.; Soares, C.G. Experimental investigation on the hydrodynamic performance of a new type floating Oscillating Water Column device with dual-chambers. Ocean Eng. 2021, 234, 109307. [Google Scholar] [CrossRef]
- Maciel, R.P.; Fragassa, C.; Machado, B.N.; Rocha, L.A.O.; Dos Santos, E.D.; Gomes, M.N.; Isoldi, L.A. Verification and Validation of a Methodology to Numerically Generate Waves Using Transient Discrete Data as Prescribed Velocity Boundary Condition. J. Mar. Sci. Eng. 2021, 9, 896. [Google Scholar] [CrossRef]
- Conde, J.M.; Gato, L.M.C. Numerical study of the air-flow in an oscillating water column wave energy converter. Renew. Energy 2008, 33, 2637–2644. [Google Scholar] [CrossRef]
- Liu, Z.; Hyun, B.; Hong, K. Numerical study of air chamber for oscillating water column wave energy convertor. China Ocean Eng. 2011, 25, 169–178. [Google Scholar] [CrossRef]
- Gomes, M.d.N.; Dos Santos, E.D.; Isoldi, L.A.; Rocha, L.A.O. Numerical Analysis including Pressure Drop in Oscillating Water Column Device. Open Eng. 2015, 5, 229–237. [Google Scholar] [CrossRef] [Green Version]
- Elhanafi, A.; Macfarlane, G.; Fleming, A.; Leong, Z. Experimental and numerical investigations on the hydrodynamic performance of a floating–moored oscillating water column wave energy converter. Appl. Energy 2017, 205, 369–390. [Google Scholar] [CrossRef]
- Moñino, A.; Medina-López, E.; Clavero, M.; Benslimane, S. Numerical Simulation of a Simple OWC Problem for Turbine Performance. Int. J. Mar. Energy 2017, 20, 17–32. [Google Scholar] [CrossRef]
- Mahnamfar, F.; Altunkaynak, A. Comparison of Numerical and Experimental Analyses for Optimizing the Geometry of OWC Systems. Ocean Eng. 2017, 130, 10–24. [Google Scholar] [CrossRef]
- Torres, F.R.; Teixeira, P.R.F.; Didier, E. A Methodology to Determine the Optimal Size of a Wells Turbine in an Oscillating Water Column Device by Using Coupled Hydro-Aerodynamic Models. Renew. Energy 2018, 121, 9–18. [Google Scholar] [CrossRef]
- Gonçalves, R.A.A.C.; Teixeira, P.R.F.; Didier, E.; Torres, F.R. Numerical analysis of the influence of air compressibility effects on an oscillating water column wave energy converter chamber. Renew. Energy 2020, 153, 1183–1193. [Google Scholar] [CrossRef]
- Gomes, M.N.; Lorenzini, G.; Rocha, L.A.O.; Dos Santos, E.D.; Isoldi, L.A. Constructal Design Applied to the Geometric Evaluation of an Oscillating Water Column Wave Energy Converter Considering Different Real Scale Wave Periods. J. Eng. Thermophys. 2018, 27, 173–190. [Google Scholar] [CrossRef]
- Kharati-Koopaee, M.; Fathi-Kelestani, A. Assessment of oscillating water column performance: Influence of wave steepness at various chamber lengths and bottom slopes. Renew. Energy 2020, 147, 1595–1608. [Google Scholar] [CrossRef]
- Letzow, M.; Lorenzini, G.; Barbosa, D.V.E.; Hübner, R.G.; Rocha, L.A.O.; Gomes, M.N.; Isoldi, L.A.; Dos Santos, E.D. Numerical Analysis of the Influence of Geometry on a Large Scale Onshore Oscillating Water Column Device with Associated Seabed Ramp. Int. J. Des. Nat. Ecodyn. 2020, 15, 873–884. [Google Scholar] [CrossRef]
- Lima, Y.T.B.; Gomes, M.N.; Isoldi, L.A.; Dos Santos, E.D.; Lorenzini, G.; Rocha, L.A.O. Geometric Analysis through the Constructal Design of a Sea Wave Energy Converter with Several Coupled Hydropneumatic Chambers Considering the Oscillating Water Column Operating Principle. Appl. Sci. 2021, 11, 8630. [Google Scholar] [CrossRef]
- Gomes, M.D.N.; Salvador, H.; Magno, F.; Rodrigues, A.A.; Santos, E.D.; Isoldi, L.A.; Rocha, L.A.O. Constructal Design Applied to Geometric Shapes Analysis of Wave Energy Converters. Defect Diffus. Forum 2021, 407, 147–160. [Google Scholar] [CrossRef]
- Lisboa, R.C.; Teixeira, P.R.F.; Torres, F.R.; Didier, E. Numerical Evaluation of the Power Output of an Oscillating Water Column Wave Energy Converter Installed in the Southern Brazilian Coast. Energy 2018, 162, 1115–1124. [Google Scholar] [CrossRef]
- Machado, B.N.; Oleinik, P.H.; Kirinus, E.P.; Dos Santos, E.D.; Rocha, L.A.O.; Gomes, M.N.; Conde, J.M.P.; Isoldi, L.A. WaveMIMO Methodology: Numerical Wave Generation of a Realistic Sea State. J. Appl. Comput. Mech. 2021, 7, 2129–2148. [Google Scholar] [CrossRef]
- Brito-Melo, A.; Gato, L.M.C.; Sarmento, A.J.N.A. Analysis of Wells Turbine Design Parameters by Numerical Simulation of the OWC Performance. Ocean Eng. 2002, 29, 1463–1477. [Google Scholar] [CrossRef]
- Rodríguez, L.; Pereiras, B.; García-Diaz, M.; Fernandez-Oro, J.; Castro, F. Flow pattern analysis of an outflow radial turbine for twin-turbines-OWC wave energy converters. Energy 2020, 211, 118584. [Google Scholar] [CrossRef]
- Prasad, D.D.; Ahmed, M.R.; Lee, Y.-H. Studies on the Performance of Savonius Rotors in a Numerical Wave Tank. Ocean Eng. 2018, 158, 29–37. [Google Scholar] [CrossRef]
- Liu, Z.; Xu, C.; Kim, K.; Choi, J.; Hyun, B. An integrated numerical model for the chamber-turbine system of an oscillating water column wave energy converter. Renew. Sust. Energy Rev. 2021, 149, 111350. [Google Scholar] [CrossRef]
- Blackwell, B.F.; Sheldahl, R.E.; Feltz, L.V. Wind Tunnel Performance Data for Two-and Three-Buckets Savonius Rotors; Final Report SAND76-0131; Sandia Laboratories: Albuquerque, NM, USA, 1977. [Google Scholar]
- Akwa, J.V.; Silva Júnior, G.A.; Petry, A.P. Discussion on the Verification of the Overlap Ratio Influence on Performance Coefficients of a Savonius Wind Rotor using Computational Fluid Dynamics. Renew. Energy 2021, 38, 141–149. [Google Scholar] [CrossRef]
- Schlichting, H.; Gersten, K. Boundary-Layer Theory, 8th ed.; Springer: Berlin/Heidelberg, Germany, 2000. [Google Scholar]
- Wilcox, D.C. Turbulence Modeling for CFD, 3rd ed.; DWC Industries: La Cañada Flintridge, CA, USA, 2006. [Google Scholar]
- Menter, F.R. Zonal Two Equation j–x Turbulence Models for Aerodynamic Flows. In Proceedings of the AIAA 24th Fluid Dynamics Conference, Orlando, FL, USA, 6–9 July 1993. AIAA 93-2906. [Google Scholar]
- Menter, F.R.; Kuntz, M.; Langtry, R. Ten Years of Industrial Experience with the SST Turbulence Model. In Turbulence, Heat and Mass Transfer; Hanjalić, K., Nagano, Y., Tummers, M., Eds.; Begell House: Danbury, CT, USA, 2003; Volume 4, pp. 625–632. [Google Scholar]
- Versteeg, H.K.; Malalasekera, W. An Introduction to Computational Fluid Dynamics—The Finite Volume Method, 2nd ed.; Longman: London, UK, 2007. [Google Scholar]
- Patankar, S.V. Numerical Heat Transfer and Fluid Flow; McGraw-Hill: New York, NY, USA, 1980. [Google Scholar]
- ANSYS Inc. Ansys Fluent Theory Guide; ANSYS Inc.: Cannonsburg, PA, USA, 2013. [Google Scholar]
- Khaligh, A.; Onar, O.C. Energy Harvesting—Solar, Wind and Ocean Energy Conversion Systems; CRC Press: Boca Raton, FL, USA; Taylor and Francis: Abingdon, UK, 2010. [Google Scholar]
- Geuzaine, C.; Remacle, J.-F. Gmsh: A 3-D Finite Element Mesh Generator with Built-in Pre and Post-Processing Facilities. Int. J. Numer. Meth. Eng. 2009, 11, 1309–1331. [Google Scholar] [CrossRef]














| Parameter | Magnitude | |||
|---|---|---|---|---|
| Air density: ρ (kg/m³) | 1.1845 | |||
| Dynamic viscosity: μ (kg/ms) | 1.7894 × 10−5 | |||
| H (m) | 21.6 (12D) | |||
| L (m) | 46.8 (26D) | |||
| L1 (m) | 10.8 (6D) | |||
| D (m) | 1.8 | |||
| V∞ (m/s) | 7.0 | |||
| Turbulence intensity: IT (%) | 1.0 | |||
| ReD = ρV∞D/μ | 867,000 | |||
| c (m) | 0.972 | |||
| a (m) | 0.0 | |||
| e (m) | 7.2 × 10−3 | |||
| s (m) | 0.144 | |||
| Tip speed ratio: λ | 0.75 | 1.00 | 1.25 | 2.00 |
| Angular velocity of turbine: n (rad/s) | 5.83 | 7.77 | 9.72 | 15.54 |
| Time of simulation and statistics analysis (s) | 3.50 s | 1.75 s | ||
| Number of Volumes | Dev (%) | |
|---|---|---|
| 163,141 | 0.20726 | ------ |
| 168,659 | 0.21219 | 2.37 × 100 |
| 220,937 | 0.21030 | 8.91 × 10−1 |
| 369,653 | 0.20963 | 3.18 × 10−1 |
Publisher’s Note: MDPI stays neutral with regard to jurisdictional claims in published maps and institutional affiliations. |
© 2022 by the authors. Licensee MDPI, Basel, Switzerland. This article is an open access article distributed under the terms and conditions of the Creative Commons Attribution (CC BY) license (https://creativecommons.org/licenses/by/4.0/).
Share and Cite
dos Santos, A.L.; Fragassa, C.; Santos, A.L.G.; Vieira, R.S.; Rocha, L.A.O.; Conde, J.M.P.; Isoldi, L.A.; dos Santos, E.D. Development of a Computational Model for Investigation of and Oscillating Water Column Device with a Savonius Turbine. J. Mar. Sci. Eng. 2022, 10, 79. https://doi.org/10.3390/jmse10010079
dos Santos AL, Fragassa C, Santos ALG, Vieira RS, Rocha LAO, Conde JMP, Isoldi LA, dos Santos ED. Development of a Computational Model for Investigation of and Oscillating Water Column Device with a Savonius Turbine. Journal of Marine Science and Engineering. 2022; 10(1):79. https://doi.org/10.3390/jmse10010079
Chicago/Turabian Styledos Santos, Amanda Lopes, Cristiano Fragassa, Andrei Luís Garcia Santos, Rodrigo Spotorno Vieira, Luiz Alberto Oliveira Rocha, José Manuel Paixão Conde, Liércio André Isoldi, and Elizaldo Domingues dos Santos. 2022. "Development of a Computational Model for Investigation of and Oscillating Water Column Device with a Savonius Turbine" Journal of Marine Science and Engineering 10, no. 1: 79. https://doi.org/10.3390/jmse10010079
APA Styledos Santos, A. L., Fragassa, C., Santos, A. L. G., Vieira, R. S., Rocha, L. A. O., Conde, J. M. P., Isoldi, L. A., & dos Santos, E. D. (2022). Development of a Computational Model for Investigation of and Oscillating Water Column Device with a Savonius Turbine. Journal of Marine Science and Engineering, 10(1), 79. https://doi.org/10.3390/jmse10010079

