Abstract
Around the cooperative path-following control for the underactuated surface vessel (USV) and the unmanned aerial vehicle (UAV), a logic virtual ship-logic virtual aircraft (LVS-LVA) guidance principle is developed to generate the reference heading signals for the USV-UAV system by using the “virtual ship” and the “virtual aircraft”, which is critical to establish an effective correlation between the USV and the UAV. Taking the steerable variables (the main engine speed and the rudder angle of the USV, and the rotor angular velocities of the UAV) as the control input, a robust adaptive neural cooperative control algorithm was designed by employing the dynamic surface control (DSC), radial basic function neural networks (RBF-NNs) and the event-triggered technique. In the proposed algorithm, the reference roll angle and pitch angle for the UAV can be calculated from the position control loop by virtue of the nonlinear decouple technique. In addition, the system uncertainties were approximated through the RBF-NNs and the transmission burden from the controller to the actuators was reduced for merits of the event-triggered technique. Thus, the derived control law is superior in terms of the concise form, low transmission burden and robustness. Furthermore, the tracking errors of the USV-UAV cooperative control system can converge to a small compact set through adjusting the designed control parameters appropriately, and it can be also guaranteed that all the signals are the semi-global uniformly ultimately bounded (SGUUB). Finally, the effectiveness of the proposed algorithm has been verified via numerical simulations in the presence of the time-varying disturbances.
1. Introduction
In recent years, advanced unmanned systems have attracted a lot of attention and have been applied to ocean engineering [,,,], such as unmanned surface vessels (USVs), unmanned aerial vehicles (UAVs) and unmanned underwater vehicles (UUVs). Although, USVs, UAVs or UUVs provide some advantages to easily implement marine missions, their weaknesses cannot be ignored, especially for USVs and UAVs. The USV is characterized by its cruising ability and loading capacity, while the UAV has obvious advantages in speed and observation ability. The cooperative control of USV-UAV can largely increase their rapidity and automaticity in terms of maritime supervision, including search and rescue missions. Thus, the cooperative path-following mission of USV-UAV requires much attention and is worthy of the engineering practice.
The guidance term and the control term are at the core of the path-following technology for USVs and UAVs. The guidance subsystem is used to provide reference signals for the closed-loop control system based on the preset path. The control subsystem can generate the control order to guide the USV or UAV coverage to the desired path. The line-of-sight (LOS) is a basic guidance principle and is mainly applied to the USVs, UAVs and UUVs [,,,]. To improve the guidance performance and accuracy, a lot of modified guidance strategies have been developed. In [], an integrated LOS guidance principle is presented for the underactuated surface vessel to eliminate the effect of the drifting interference. To implement the three-dimension path-following mission for UUVs, an improved three-dimensional (3D) LOS principle was developed based on kinematics transformation theory []. Although, the LOS guidance principle has been attributed many meaningful results in the existing literature, it should be noted that it may cause overshoot at the waypoint due to the look-ahead distance being fixed. Besides, 3D guidance may increase the complicity of the theoretical algorithms, especially for quadrotor UAVs. To address the physical constraints of the LOS principle, a dynamic virtual ship (DVS) guidance strategy was constructed for the under-actuated surface vessels []. In the proposed strategy, the reference heading signal can be planned via the dynamic virtual ship, which can execute the assumption “the reference path is generated by the virtual ship”. In [], a novel DVS-based obstacle-avoidance guidance law is presented that generates the real time attitude reference aiming for the maneuvering tasks: static obstacle avoidance, moving obstacle avoidance and path-following mission. In the authors’ previous work, a logic virtual ship (LVS) guidance principle was developed for the wing-sail-assisted vehicle to carry out the waypoint-based path-following mission []. The LVS guidance principle can be calculated through the current attitude between the real ship and the logic virtual ship. This can be easier for the control design than the DVS guidance. A cooperative flight-path planning strategy was designed for UAVs to arrive at their destinations while minimizing the total cruise time []. The map-based offline path planning technique presented generates an initial path, followed by waypoints of the trajectory for flight guidance []. Note that the above-mentioned guidance algorithms are aiming for a single agent or the same multi-agents, and that is a major challenge for the cooperative USV-UAV system.
Nowadays, a lot of effective control algorithms have been presented for USVs or UAVs, and many engineering practical restrictions have been tackled by fusing the advanced control method or various techniques [,,,,,,], such the neural networks approximation, fuzzy logic system, dynamic surface control, event-triggered technique and so on. However, few results have been obtained for the cooperative USV-UAV system. In fact, the USV-UAV belongs to the group of heterogeneous agents. In [], the heterogeneous multi-agents for second-order and third-order systems were considered to study the consensus problem. In the algorithm proposed, the stability was analyzed virtually through the equivalent error systems. Considering the heterogeneous dynamics and the external disturbances, a state feedback control algorithm was presented to address the distributed average tracking for the linear multi-agents. Moreover, the exponential stability was guaranteed through the Lyapunov direct method []. Furthermore, an adaptive internal model-based distributed controller was proposed for the nonlinear heterogeneous agents because of the uncertain dynamics and the unknown disturbances []. To verify the effectiveness of the algorithm, the simulation was carried out through multiple ships. Due to external disturbances and model uncertainties, the control input needed to be generated in consensus time, and that may have caused the large transmission burden. Hence, the event-triggered mechanism was introduced to the heterogeneous first-order agents []. The numerical results show the robustness of the proposed strategy. Besides, the event-triggered control is widely applied in fields with underactuated surface vessels because of the low communication load. Compared to the heterogeneous multi-agent systems with strict-feedback forms, research focused on a special physical system may be more meaningful to the practice of engineering. In [], a formation control law predictive model was proposed for USVs and quadrotor UAVs based on the leader–follower guidance principle. The mathematical model of the USV-UAV is described in Euler–Lagrange form, which can facilitate the control design. A robust visual control strategy was studied in [] for the tracking of the UAV to USV. In addition, the speed and heading control law was designed for the USV by employing the adaptive sliding mode technique. In [], a novel USV-UAV cooperative platform was constructed to combine the qualities of the UAS and UAV. The effectiveness of the cooperative navigating and landing was tested by the simulations and the water experiments. In the afore-mentioned literature, the control inputs for the USV-UAV are the thrust and the torque. In reality, the control inputs of the USV-UAV are allocated to the actuators, i.e., the propeller and rudder for the USV and the rotors for the UAV.
Motivated by the above literature review, our attention was devoted to developing a novel guidance principle to establish the effective connection for the USV-UAV and design a cooperative control law to control the USV-UAV system track to the desired path in presence of the uncertain dynamics and the time-varying disturbances. The chief merits of the proposed algorithm can be summarized as:
(1) Inspired by the LVS guidance for the underactuated surface vessel, the LVS-LVA guidance principle was developed for the USV-UAV system by employing the equivalent mapping technique. In the proposed guidance framework, LVS can program the position and attitude signals for the USV according to the preset reference path, and further map to the LVA. Hence, the reference heading angles of the USV-UAV can be calculated through the current attitude between the USV-UAV and the LVS-LVA.
(2) A robust adaptive neural cooperative control law for the USV-UAV was designed to execute the path-following by using the input-based event-triggered rule, focusing on the main engine speed, rudder angle and angular velocity of four rotors. In the proposed algorithm, the nonlinear dynamic of three degrees of freedom (DOF) and six DOF for the USV-UAV system was formulated as the Euler–Lagrange form. This can facilitate the control design by fusing the RBF-NNs and the backstepping method. Furthermore, the transmission resource from the controller to the actuator was reduced and the robustness of the closed-loop control system was enhanced for merits of the input-based event-triggered rule. The proposed control algorithm is characterized by its concise form, low transmission burden and robustness.
2. Problem for Formulation and Preliminaries
2.1. Mathematical Model of USV-UAV with Euler–Lagrange Form
Based on the literature [,], the nonlinear mathematical model for the USV-UAV can be described as the Equations (1) and (2).
In Equations (1) and (2), describe the surge, sway, heaving displacement and roll, pitch, yaw angles for the USV and the UAV. denotes the surge, the sway and the yaw velocity in the body-fixed frame of the USV, are the velocities and the rotational velocities along with the x-axis, y-axis and z-axis in the body-fixed frame of the UAV, which can be seen in Figure 1. are the additional mass, and are the hydrodynamic derivatives. are the mass of the USV and the UAV. are the external disturbances. describe the rotary inertia. is the gravitational acceleration. is the diagonal diameter. Besides, is the total force for the . are the rotational moments for the roll, pitch, yaw angles of UAV. indicate the thrust and the turning moment of the USV.
where, are the nonlinear functions, and are the attitude matrix. indicates the rotor inertia, are the aerodynamic friction coefficients. are the nonlinear drag terms. is the mass of the UAV. denote the translation drag coefficients. are the angular velocity of the four rotors, and . Furthermore, one can obtain the control inputs for the USV-UAV by the Equation (4).
With
where is the wake fraction of the hydrodynamic forces acting on the propeller, denotes the water density, indicates the diameter of the propeller, are the main engine speed and rudder angle, are the area of the rudder and the aspect ratio, are the ship’s center of gravity in the x-coordinates and the rudder blade and is the wake fraction of the hydrodynamic moments acting on the rudder. is a parameter depending on the blades’ geometry and the air density. denotes the drag coefficient.

Figure 1.
Variables interpretation for cooperative USV-UAV system.
Remark 1.
Considering the maneuvering characteristic of the USV and UAV, the mathematical model of 3DOF and 6DOF for the USV-UAV was developed with the Euler–Lagrange formulation. In this model, the control inputs are the main engine speed , rudder angle and the angular velocity of the four rotors . This is more in accordance with the engineering practice. In reality, the cooperative USV-UAV nonlinear dynamic can increase the difficulties for the closed-loop control system due to the external disturbances being random and different for the USV and UAV. As one may know, the external disturbances are the characteristic of the slow time-varying and exist with the unknown upper bound . One can find that are the gain-related function and matrix of the USV-UAV system. The gain-related matrix is often tackled as the known constant []. Furthermore, one can assume that can be known and acquired from the sensors in real time. In fact, the assumption for the is reasonable and widely applied in the existing results.
2.2. RBF-NNs
In the nonlinear control system, the RBF-NNs and the fuzzy logic system are an effective tool to tackle the unknown nonlinear terms [,], such as the model of structure uncertainties. In this note, the RBF-NNs is introduced here to approximate the nonlinear function of the URS. The Lemma 1 is useful in the control design.
Lemma 1
([]). For any given nonlinear continuous function with
in the compact set
, one can approximate the nonlinear function by the RBF-NNs.
In Equation (6), indicates the approximation error with the unknown upper bound
. The
is the basic function with Gaussian form, and
is the number of the NN node. The
can be described by Equation (7).
where
denotes the standard deviation and
indicates the central abscissa. The idea constant weight vector
is the value of
that minimizes
for all
, that is
2.3. LVS-LVA Guidance for the USV-UAV System
In marine engineering, the desired route is often obtained by setting the path angular velocity for the USV. Therefore, the path information of the USV can be deduced by the logic virtual ship, which can be seen in Equation (9).
where are the position and heading angle of the LVS, are the surge velocity and yaw angle velocity of the LVS. To achieve the UAV flight along with the desired path of the USV, one can establish an equivalent mapping technique and the logic virtual aircraft was constructed to program the reference position and attitude of the UAV.
where denote the position information of the UAV, and the height reference can be set as the constant.
According to the relationship between the current position of the UAV-UAV system and the reference information, which can be shown in Figure 2, the guidance law of the yaw degree for UAV-UAV can be expressed as Equation (10).

Figure 2.
The LVS-LVA guidance framework of the USV-UAV system.
Remark 2.
For the USV-UAV cooperative system, one challenge is the problem of the cooperative guidance. In the developed LVS-LVA guidance framework, the reference position signal of the LVA can be acquired from the LVS through the equivalent mapping technique. This can guide the USV-UAV to navigate, along with the reference path. However, the LVS-LVA guidance only can provide the desired heading angle for the USV and UAV. As for the reference roll and pitch angles, they can be derived in the position control law by employing the nonlinear decoupling technique, which will be interpreted in Section 3.1.
3. Robust Adaptive Neural Cooperative Controller
In this section, one can propose the robust adaptive neural cooperative control algorithm through two steps. The position control law can be designed in step 1, and the reference roll and pitch angles can be obtained by the nonlinear decoupling technique from the position controller. The attitude errors can be stabilized via the attitude controller in step 2. Furthermore, the stability of the closed-loop control system is guaranteed via the Lyapunov theory.
3.1. Control Design
- Step 1: One defines the position error for the USV-UAV system.
For the USV, the thrust actuator is only allocated at the surge direction. Thus, we can have . Furthermore, the virtual control law can be designed as Equation (13).
where and .
The DSC technique was introduced here to avoid the high computational burden, caused by the derivation of the virtual position control laws. Hence, one can have Equation (14).
In Equation (14), indicates the dynamic surface signal, denotes the time constant, and is the Laplace operator. The dynamic surface error can be defined as . One can further obtain that .
The errors , and the derivation of the can be derived from Equation (15) by combining Equations (1), (2) and (14).
One introduced the variables satisfying . This can be easy to implement the control design. As one may know, the position error is not easily kept at zero for the automatous control system due the varying-time disturbance. Thus, the extra channel resource may be occupied and that can cause the actuators excess wear. To avoid this engineering constraint, the event-triggered approach has been introduced for the underactuated surface vessels [,]. To be more specific, the control order will remain unchanged in the trigger interval. Compared with the literature [], the event-triggered technique in this paper is only for one designed threshold parameter. This can reduce the complexity of the control design and stability analysis. The triggered control input can be described as Equation (16).
The triggered rule can be designed as Equation (17).
where is the designed threshold parameter and belongs to , and . Considering the sign of , the two cases should be discussed.
Case 1.
If , one can obtain . Furthermore, we obtain .
Case 2.
If the , one can obtain . Furthermore, we obtain .
Based on case 1 and case 2, one can obtain Equation (18).
Besides, the model uncertainties may also affect the stability of the closed-loop control system. In this note, the RBF-NNs was introduced to tackle the nonlinear function for the position control loop of the USV-UAV system.
Therefore, submitting Equations (6) and (18) into Equations (15) and (19) can be derived.
To simplify the control design, one defines the variables as the intermediate control law. Thus, one can get the position control law and the adaptive law as Equations (20) and (21).
where denote the designed control parameters, and indicate the designed adaptive parameters. Note that the control parameters and the adaptive parameters should be positive values.
- Step 2: According to the relationship between and the attitudes information of the UAV, the reference roll angle and the pitch angle can be deduced as Equation (22) by using the nonlinear decoupling technique.
The desired heading angles for the USV and UAV can be acquired through the LVS-LVA guidance principle. Therefore, based on Equations (11) and (22), one can define the attitude errors for the USV-UAV system, i.e.,
To stabilize the attitude errors of the USV-UAV system, the virtual attitude control law can be designed as Equation (24).
where are the positive designed parameters.
The differential of virtual attitude control law is not easily calculated and can increase the difficulty of the computing. Based on it, we also employed the DSC technique to address this restriction, i.e.,
In Equation (25), indicates the dynamic surface signal, denotes the time constant and is the Laplace operator. The dynamic surface error can be defined as . One can further obtain .
The errors , and can be expressed as Equation (26).
Submitting the attitude sub system in Equations (1) and (2) into Equations (26) and (27), Equation (27) can be obtained.
To facilitate the design of the event-triggered, one defines the variables , satisfying that . Hence, the event-triggered control input can be written as Equation (28).
where . The triggered rule can be expressed as Equation (29).
where is the designed threshold parameter and belongs to , and . Similar to the position control loop, the control input can be described by the event-triggered input in Equation (30).
Combining the RBF-NNs and the event-triggered technique, Equation (27) can be rewritten as Equation (31).
One defines the variables as the intermediate control law to simplify the control design. The event-triggered controller and the adaptive law can be derived as Equations (32) and (33).
where are the positive designed control parameters, and denote the positive adaptive parameters. Furthermore, the control order of the UAV can be obtained as Equation (35) by fusing Equations (4) and (20).
Remark 3.
In this paper, the cooperative control algorithm is comprised of the position control term and the attitude control term. For the position control term, the reference position can be provided by the LVS-LVA. As for the attitude control term, the reference signals are calculated through two parts. The desired heading angles for the USV-UAV can be provided by the LVS-LVA guidance principle, and the desired roll and pitch angles are analyzed by virtue of nonlinear decoupling technique. Compared with the authors’ previous work, the control orders were presented in this paper. This is meaningful and significant for the engineering practice.
3.2. Stability Analysis
In this section, the stability of the closed-loop control system has been tested by employing the Lyapunov stability criterion. The main results can be shown in Theorem 1.
Theorem 1.
For the USV-UAV system, all the state errors can stay to the compact of the neighborhood of zero under the proposed position control law and the attitude control law, and the SGUUB stability can be guaranteed by selecting the proper parameters. That is to say, all the error signals can satisfy that , while the control system reaches a stable state.
Proof.
One can choose the Lyapunov candidate function as Equation (35). □
The time derivation of can be expressed as Equation (36).
Submitting Equations (19)–(21) and Equations (30)–(34) into Equation (36), one can obtain Equation (37).
Then, one can obtain Equation (39) by simplifying Equation (37).
The following equations are useful for the further analysis.
where are the bounded constants, related to the virtual attitude control law. Note that Equations (39)–(44) are helpful to proof the attitude stability in Equation (38), the similar measurements should also be used for the position stability in Equation (38). Therefore, Equation (38) can be expressed as Equation (46).
One can obtain Equation (48) by integrating Equation (46).
The test has been completed.
Remark 4.
In this section, the SGUUB stability was checked via the Lyapunov. The will converge to the
while
by adjusting the designed control parameters and the adaptive parameters. Besides, the triggered threshold parameter may also affect the control performance for the USV-UAV. One can select the appropriate threshold parameter based on the control performance and the transmission load.
4. Numerical Simulation
In this section, the numerical simulations have been carried out to verify the accuracy and the robustness of the proposed strategy. For this purpose, the mathematical model of the USV and UAV was chosen as the control object in presence of the simulated external disturbances. The detailed parameters of the USV and UAV can be obtained from the literature [,]. To verify the superiority of the proposed algorithm, the proposed algorithm and the one without an event-triggered rule were compared in the MATLAB platform. Figure 3 describes the control diagram of the proposed algorithm. From Figure 3, one can view the whole control process. The marine disturbances include the time-varying wind disturbance and the time-varying wave disturbance, which can be described by the JONSWAP wave spectrums and the NORSOK wind spectrums. It should be noted that the wind disturbance is different for the USV and the UAV due to it being inconsistent in the vertical direction.

Figure 3.
The control diagram of the proposed algorithm.
To carry out the cooperative path-following mission for the USV-UAV, the desired route can be set as Equation (49). Moreover, the initial states of the USV-UAV can be selected as . Furthermore, the designed control parameters and the adaptive parameters can be seen in Equation (50).
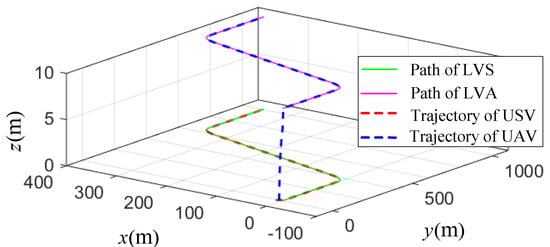
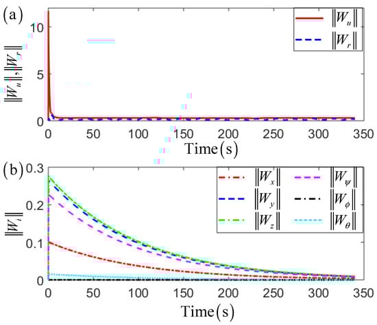
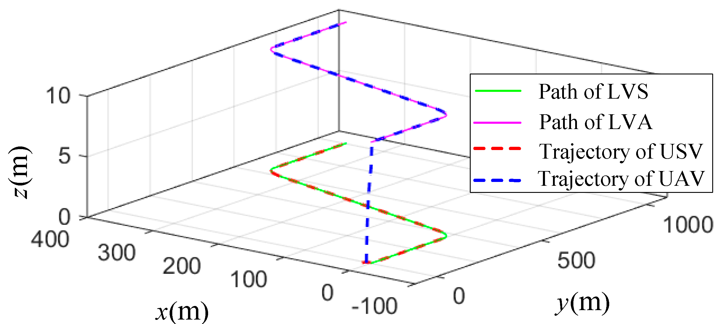
The main cooperative paths following results for the USV-UAV have been displayed in Figure 4, Figure 5, Figure 6, Figure 7, Figure 8, Figure 9 and Figure 10. In Figure 4, the cooperative trajectories of the USV-UAV was acquired under the proposed algorithm. From Figure 4, one can find that the USV and UAV can navigate along the desired route with the satisfied control performance. Note that, the path of the LVA is generated based on the path of the LVS. Therefore, the effectiveness of the proposed algorithm can be illustrated. Figure 5 describes the control input of the USV. The main engine speed and the rudder were chartered in the small scope due to the external disturbances. Figure 6 is the curve of the lift force for the UAV, and it stabilizes to the 4.75 N while the control system reaches to the stable state. This meets Newton’s third law. For the UAV, the control inputs are allocated at the rotors, and the angular velocities of the four rotors can be shown in Figure 7. As Figure 7a is the partially enlarged detail of Figure 7a, one can see that the angular velocities are symmetrical characteristic. In Figure 5, Figure 6 and Figure 7, the control inputs with the event-triggered approach and the ones without the event-triggered approach are depicted. As one can acknowledge, the continuous control orders can increase the transmission load from the controller to the actuators. The stair-step control can largely reduce the communicated resource for merits of the event-triggered rule. Figure 8 indicates the position and heading errors for the USV-UAV. It can be found that the heading error of the UAV is more fluctuated than the one of the USV due to the UAV having small inertia. Thus, the curves of the heading angles of the USV and UAV meet the engineering practice. The changes of the position error were slowed and smoothed on account of the USV having large inertia. In the proposed algorithm, the RBF-NNs was utilized to approximate the model uncertainties of the USV-UAV, which could cause the instability of the closed loop control system. Moreover, the weights of the neural networks were presented in Figure 9. Figure 10 denotes triggered time and triggered interval for the position loop and attitude loop.

Figure 4.
The trajectories for the USV-UAV under the LVS-LVA guidance.

Figure 5.
The control input for the USV ((a) is the main engine speed. (b) is the rudder angle).

Figure 6.
The lift force for the UAV.

Figure 7.
The control input for UAV ((b) is the partially enlarged detail of (a)).

Figure 8.
The position and heading errors for the USV-UAV ((a) is heading errors for USV-UAV. (b) is position errors for USV-UAV).

Figure 9.
The adaptive parameters for the USV-UAV ((a) is adaptive parameters for USV. (b) is adaptive parameters for UAV).

Figure 10.
The triggered time and triggered interval for the position loop and attitude loop.
Remark 5.
In this paper, the cooperative path-following control scheme for the USV-UAV is presented. Compared with the existing techniques, the chief advantages can be summarized into two points: (1) The LVS-LVA guidance principle was developed to provide the reference heading angles for the USV-UAV. Besides, the reference path of the UAV was based on the LVS. (2) A robust adaptive neural cooperative control law for the USV-UAV was designed aiming to the main engine speed, rudder angle and angular velocity of four rotors. That is critical for applying the current theoretical algorithm in practice. From the simulated results, one can also see the effectiveness of the proposed algorithm.
Remark 6.
Although, the cooperative control algorithm of the USV-UAV is designed to execute the path-following mission, some limitations of the proposed algorithm will affect the output performance of the closed-loop control system. For instance, the reference speed should be designed appropriately while the high speed may cause instability of the control system. Besides, the parameter adjustment is a challenging task, especially regarding the triggered threshold parameters.
5. Conclusions
In this paper, the problem of a cooperative control approach was investigated for path-following of the USV-UAV system in the presence of model uncertainties and external disturbances. In the proposed scheme, the LVS can provide information of the reference path for the UAV based on the LVS. Furthermore, the heading angles for the USV-UAV can be generated by calculating the position relationship between the USV-UAV and the LVS-LVA. Besides, a robust adaptive neural cooperative control algorithm for USV-UAV was proposed by employing the RBF-NNs, DSC and event-triggered techniques, focusing on the main engine speed, rudder angle and angular velocity of four rotors. The proposed controller is superior in regard to the concise form and the communication burden. From the numerical simulations, one can realize that the stair-step control orders can reduce the transmission load for merits of the event-triggered technique. In addition, it is illustrated that the tracking errors of the USV-UAV cooperative control system can converge to a small compact set. Even so, varieties of the challenges should be addressed in the future, such as the multi-UAVs-USVs formation control.
Author Contributions
Conceptualization, J.L., B.L. and G.Z.; methodology, J.L.; software, J.L.; validation, J.L. and G.Z.; formal analysis, J.L.; investigation, J.L.; writing—original draft preparation, J.L.; writing—review and editing, G.Z. and B.L.; supervision, G.Z.; project administration, G.Z.; funding acquisition, G.Z. All authors have read and agreed to the published version of the manuscript.
Funding
The paper is partially supported by the National Natural Science Foundation of China (No. 52171291, 51909018), the Liaoning BaiQianWan Talents Program (No. 2021BQWQ64), the Science and Technology Innovation Foundation of Dalian City (No. 2019J12GX026), the Dalian Innovation Team Support Plan in the Key Research Field (2020RT08) and the Fundamental Research Funds for the Central Universities (No. 3132021132, 3132021340). The authors would like to thank the anonymous reviewers for their valuable comments.
Institutional Review Board Statement
Not applicable.
Informed Consent Statement
Not applicable.
Data Availability Statement
The data that support the findings of this study are available from the corresponding author upon reasonable request.
Conflicts of Interest
The authors declare no conflict of interest.
References
- Peng, Z.; Wang, J.; Wang, D.; Han, Q.L. An Overview of Recent Advances in Coordinated Control of Multiple Autonomous Surface Vehicles. IEEE Trans. Ind. Inform. 2021, 17, 732–745. [Google Scholar] [CrossRef]
- Yu, Z.; Liu, Z.; Zhang, Y.; Qu, Y.; Su, C.Y. Distributed Finite-Time Fault-Tolerant Containment Control for Multiple Unmanned Aerial Vehicles. IEEE Trans. Neural Netw. Learn. Syst. 2020, 31, 2077–2091. [Google Scholar] [CrossRef]
- Li, J.; Zhang, G.; Huang, C.; Zhang, W. Event-triggered control for unmanned sailboat with actuator failures. Syst. Eng. Electron. 2021, 43, 1–10. [Google Scholar]
- Huang, C.; Zhang, X.; Zhang, G.; Deng, Y. Robust practical fixed-time leader–follower formation control for underactuated autonomous surface vessels using event-triggered mechanism. Ocean Eng. 2021, 233, 109026. [Google Scholar] [CrossRef]
- Wang, N.; Ki Ahn, C. Hyperbolic-Tangent LOS Guidance-Based Finite-Time Path Following of Underactuated Marine Vehicles. IEEE Trans. Ind. Electron. 2020, 67, 8566–8575. [Google Scholar] [CrossRef]
- Liu, L.; Wang, D.; Peng, Z. ESO-Based Line-of-Sight Guidance Law for Path Following of Underactuated Marine Surface Vehicles with Exact Sideslip Compensation. IEEE J. Ocean Eng. 2017, 42, 477–487. [Google Scholar] [CrossRef]
- Rout, R.; Subudhi, B. Design of Line-of-Sight Guidance Law and a Constrained Optimal Controller for an Autonomous Underwater Vehicle. IEEE Trans. Circuits Syst. II Express Briefs 2021, 68, 416–420. [Google Scholar] [CrossRef]
- Deng, Y.; Zhang, X.; Zhang, G.; Huang, C. Parallel guidance and event-triggered robust fuzzy control for path following of autonomous wing-sailed catamaran. Ocean Eng. 2019, 190, 106442. [Google Scholar] [CrossRef]
- Lekkas, A.M.; Fossen, T.I. Integral LOS Path Following for Curved Paths Based on a Monotone Cubic Hermite Spline Parametrization. IEEE Trans. Control Syst. Technol. 2014, 22, 2287–2301. [Google Scholar] [CrossRef]
- Yu, C.; Xiang, X.; Lapierre, L.; Zhang, Q. Nonlinear guidance and fuzzy control for three-dimensional path following of an underactuated autonomous underwater vehicle. Ocean Eng. 2017, 146, 457–467. [Google Scholar] [CrossRef] [Green Version]
- Zhang, G.; Zhang, X. A novel DVS guidance principle and robust adaptive path-following control for underactuated ships using low frequency gain-learning. ISA Trans. 2015, 56, 75–85. [Google Scholar] [CrossRef] [PubMed]
- Zhang, G.; Deng, Y.; Zhang, W.; Huang, C. Novel DVS guidance and path-following control for underactuated ships in presence of multiple static and moving obstacles. Ocean Eng. 2018, 170, 100–110. [Google Scholar] [CrossRef]
- Zhang, G.; Li, J.; Jin, X.; Liu, C. Robust Adaptive Neural Control for Wing-Sail-Assisted Vehicle via the Multiport Event-Triggered Approach. IEEE Trans. Cybern. 2021. [Google Scholar] [CrossRef]
- Babel, L. Coordinated target assignment and UAV path planning with timing constraints. J. Intell. Robot. Syst. 2019, 94, 857–869. [Google Scholar] [CrossRef]
- Lin, H.-Y.; Peng, X.-Z. Autonomous Quadrotor Navigation with Vision Based Obstacle Avoidance and Path Planning. IEEE Access 2021, 9, 102450–102459. [Google Scholar] [CrossRef]
- Zheng, Z.; Feroskhan, M. Path Following of a Surface Vessel with Prescribed Performance in presence of Input Saturation and External Disturbances. IEEE/ASME Trans. Mechatron. 2017, 22, 2564–2575. [Google Scholar] [CrossRef]
- Zhang, G.; Zhang, X. Concise robust adaptive path-following control of underactuated ships using DSC and MLP. IEEE J. Ocean Eng. 2014, 39, 685–694. [Google Scholar] [CrossRef]
- Jin, X. Fault tolerant finite-time leader–follower formation control for autonomous surface vessels with LOS range and angle constraints. Automatica 2016, 68, 228–236. [Google Scholar] [CrossRef]
- Xiang, X.; Yu, C.; Lapierre, L.; Zhang, J.; Zhang, Q. Survey on Fuzzy-Logic-Based Guidance and Control of Marine Surface Vehicles and Underwater Vehicles. Int. J. Fuzzy Syst. 2018, 20, 572–586. [Google Scholar] [CrossRef]
- Lu, J.; Yu, S.; Zhu, G.; Zhang, Q.; Chen, C.; Zhang, J. Robust adaptive tracking control of UMSVs under input saturation: A single-parameter learning approach. Ocean Eng. 2021, 234, 108791. [Google Scholar] [CrossRef]
- Deng, Y.; Zhang, X.; Zhang, Q.; Hu, Y. Event-triggered composite adaptive fuzzy control of sailboat with heeling constraint. Ocean Eng. 2020, 211, 107627. [Google Scholar] [CrossRef]
- Mofid, O.; Mobayen, S.; Wong, W.-K. Adaptive Terminal Sliding Mode Control for Attitude and Position Tracking Control of Quadrotor UAVs in the Existence of External Disturbance. IEEE Access 2021, 9, 3428–3440. [Google Scholar] [CrossRef]
- Zhao, H.; Fei, S. The Consensus for Discrete-Time Heterogeneous Networked Systems Consisting of Second-Order Agents and Third-Order Agents. IEEE Access 2018, 6, 14204–14211. [Google Scholar] [CrossRef]
- Wu, Y.; Liu, L. Distributed Average Tracking for Linear Heterogeneous Multi-Agent Systems with External Disturbances. IEEE Trans. Netw. Sci. Eng. 2021, 8, 3491–3500. [Google Scholar] [CrossRef]
- Guo, M.; Xu, D.; Liu, L. Design of Cooperative Output Regulators for Heterogeneous Uncertain Nonlinear Multiagent Systems. IEEE Trans. Cybern. 2020. [Google Scholar] [CrossRef] [PubMed]
- Duan, M.; Liu, C.; Liu, F. Event-Triggered Consensus Seeking of Heterogeneous First-Order Agents with Input Delay. IEEE Access 2017, 5, 5215–5223. [Google Scholar] [CrossRef]
- Huang, D.; Li, H.; Li, X. Formation of Generic UAVs-USVs System under Distributed Model Predictive Control Scheme. IEEE Trans. Circuits Syst. II Express Briefs 2020, 67, 3123–3127. [Google Scholar] [CrossRef]
- Gonzalez-Garcia, A.; Miranda-Moya, A.; Castañeda, H. Robust Visual Tracking Control Based on Adaptive Sliding Mode Strategy: Quadrotor UAV—Catamaran USV Heterogeneous System. In Proceedings of the International Conference on Unmanned Aircraft Systems (ICUAS), Athens, Greece, 15–18 June 2021; pp. 666–672. [Google Scholar]
- Shao, G.; Ma, Y.; Malekian, R.; Yan, X.; Li, Z. A Novel Cooperative Platform Design for Coupled USV–UAV Systems. IEEE Trans. Ind. Inform. 2019, 15, 4913–4922. [Google Scholar] [CrossRef] [Green Version]
- Li, H.; Li, X. Distributed Consensus of Heterogeneous Linear Time-Varying Systems on UAVs–USVs Coordination. IEEE Trans. Circuits Syst. II Express Briefs 2020, 67, 1264–1268. [Google Scholar] [CrossRef]
- Labbadi, M.; Cherkaoui, M. Robust adaptive Backstepping fast terminal sliding mode controller for uncertain quadrotor UAV. Aerosp. Sci. Technol. 2019, 93, 105306. [Google Scholar] [CrossRef]
- Wang, W.; Li, Y.; Tong, S. Neural-Network-Based Adaptive Event-Triggered Consensus Control of Non-Strict Feedback Nonlinear Systems. IEEE Trans. Neural Netw. Learn. Syst. 2021, 32, 1750–1764. [Google Scholar] [CrossRef] [PubMed]
- Zhou, W.; Wang, Y.; Ahn, C.K.; Cheng, J.; Chen, C. Adaptive Fuzzy Backstepping-Based Formation Control of Unmanned Surface Vehicles with Unknown Model Nonlinearity and Actuator Saturation. IEEE Trans. Veh. Technol. 2020, 69, 14749–14764. [Google Scholar] [CrossRef]
- Wen, C.; Jing, Z.; Liu, Z.; Su, H. Robust Adaptive Control of Uncertain Nonlinear Systems in presence of Input Saturation and External Disturbance. IEEE Trans. Autom. Control 2011, 56, 1672–1678. [Google Scholar] [CrossRef]
Publisher’s Note: MDPI stays neutral with regard to jurisdictional claims in published maps and institutional affiliations. |
© 2022 by the authors. Licensee MDPI, Basel, Switzerland. This article is an open access article distributed under the terms and conditions of the Creative Commons Attribution (CC BY) license (https://creativecommons.org/licenses/by/4.0/).