Foliar Calcium Corrects a Deficiency Causing Green Fruit Drop in ‘Draper’ Highbush Blueberry (Vaccinium corymbosum L.)
Abstract
1. Introduction
2. Materials and Methods
3. Results
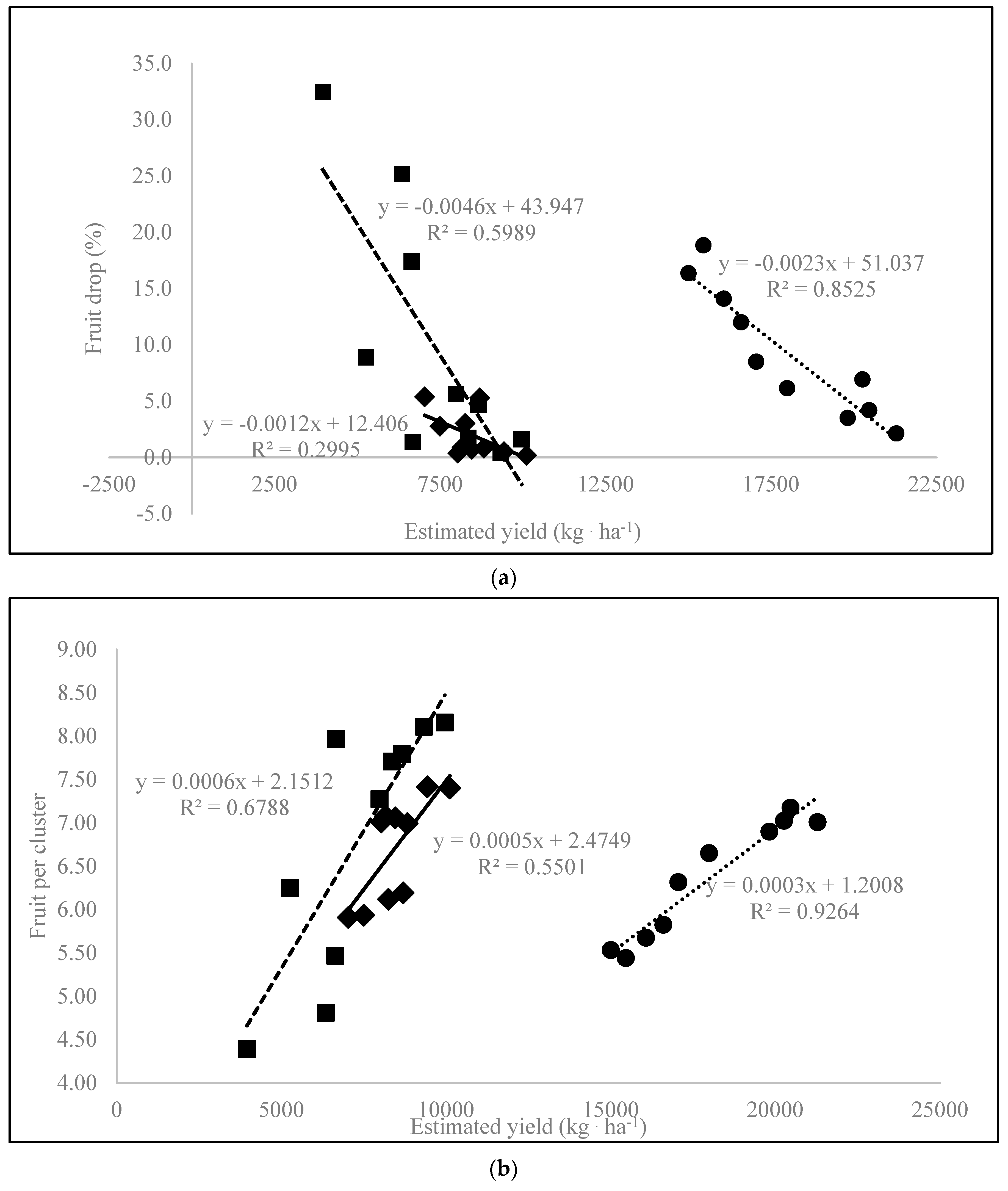
3.1. Experiment 1
3.2. Experiment 2
3.3. Experiment 3
4. Discussion
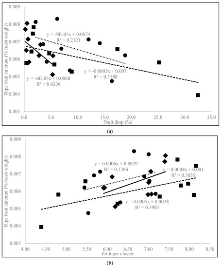
4.1. Correlation of Green Fruit Drop in ‘Draper’ Blueberry with Fruit Calcium and Plant Vigor
4.2. Calcium Deficiency as a Genetic Pre-Disposition to Green Fruit Drop in ‘Draper’ Blueberry
4.3. Mitigation of Green Fruit Drop in ‘Draper’ Blueberry Using Corrective Foliar Calcium Applications
4.4. Future Research Directions for Green Fruit Drop in Blueberry
5. Conclusions
Author Contributions
Funding
Acknowledgments
Conflicts of Interest
References
- Hancock, J.F. Blueberry Plant Denominated ‘Draper’. U.S. Plant Patent PP15,103 P2, 24 August 2004. [Google Scholar]
- Gerbrandt, E.; Baumann, T. Cultural Innovations for New Blueberry Cultivars to Overcome Developing Challenges; Final Report to Investment Agriculture Foundation; Investment Agriculture Foundation: Victoria, BC, Canada, 2013; pp. 1–38. [Google Scholar]
- British Columbia Ministry of Agriculture. Berry Production Guide for Commercial Growers; BC Ministry of Agriculture: Victoria, BC, Canada, 2013.
- Gerbrandt, E. What Causes Green Fruit Drop and Can We Prevent It? In Proceedings of the 57th Annual Grower Short Course; Lower Mainland Horticultural Improvement Association: Abbotsford, BC, Canada, 2015. [Google Scholar]
- Armstrong, M.J.; Kirkby, E.A. The influence of humidity on the mineral composition of tomato plants with special reference to calcium distribution. Plant Soil 1979, 52, 427–435. [Google Scholar] [CrossRef]
- Choi, J.H.; Chung, G.C.; Suh, S.R. Effect of night humidity on the vegetative growth and mineral composition of tomato and strawberry plants. Sci. Hortic. 1997, 70, 293–299. [Google Scholar] [CrossRef]
- Lötze, E.; Joubert, J.; Theron, K.I. Evaluating pre-harvest foliar calcium applications to increase fruit calcium and reduce bitter pit in ‘Golden Delicious’ apples. Sci. Hortic. 2008, 116, 299–304. [Google Scholar] [CrossRef]
- Strik, B.C.; Vance, A.J. Seasonal variation in leaf nutrient concentration of northern highbush blueberry cultivars grown in conventional and organic production systems. HortScience 2015, 50, 1453–1466. [Google Scholar] [CrossRef]
- Taiz, L.; Zeiger, E. Plant Physiology, 5th ed.; Sinauer Associates, Inc.: Sunderland, MA, USA, 2010; ISBN 978-0878938667. [Google Scholar]
- McLaughlin, S.B.; Wimmer, R. Calcium physiology and terrestrial ecosystem processes. New Phytol. 1999, 142, 373–417. [Google Scholar] [CrossRef]
- Hanson, E.J.; Hancock, J.F. Managing the Nutrition of Highbush Blueberries; Bulletin E-2011; Michigan State University Extension: East Lansing, MI, USA, 1996. [Google Scholar]
- Clarkson, D.T. Roots and the delivery of solutes to the xylem. Philos. Trans. R. Soc. Ser. B 1993, 341, 5–17. [Google Scholar]
- Atkinson, C.J.; Ruiz, L.P.; Mansfield, T.A. Calcium in the xylem sap and the regulation of its delivery to the shoot. J. Exp. Bot. 1992, 42, 1315–1324. [Google Scholar] [CrossRef]
- Guttridge, C.G.; Bradfield, E.G.; Holder, R. Dependence of calcium transport into strawberry leaves on positive pressure in the xylem. Ann. Bot. 1981, 48, 473–480. [Google Scholar] [CrossRef]
- Takeda, F.; Wisniewski, M.E.; Glenn, D.M. Occlusion of water pores prevents guttation in older strawberry leaves. J. Am. Soc. Hortic. Sci. 1991, 116, 1122–1125. [Google Scholar] [CrossRef]
- Faust, M. Physiology of Temperate Zone Fruit Trees; John Wiley and Sons: New York, NY, USA, 1989. [Google Scholar]
- Creasy, G.L.; Price, S.F.; Lombard, P.B. Evidence for xylem discontinuity in Pinot noir and Merlot grapes: Dye uptake and mineral composition during berry maturation. Am. J. Enol. Vitic. 1993, 44, 187–192. [Google Scholar]
- White, P.J.; Broadly, M.R. Calcium in plants. Ann. Bot. 2003, 92, 487–511. [Google Scholar] [CrossRef]
- Hirschi, K.D. The calcium conundrum. Both versatile nutrient and specific signal. Am. Soc. Plant Biol. 2004, 136, 2438–2442. [Google Scholar] [CrossRef] [PubMed]
- Saure, M.C. Calcium translocation to flesh fruit: Its mechanism and endogenous control. Sci. Hortic. 2005, 105, 65–89. [Google Scholar] [CrossRef]
- Abbasi, N.A.; Zafar, L.; Khan, H.A.; Qureshi, A.A. Effects of naphthalene acetic acid and calcium chloride application on nutrient uptake, growth, yield and post-harvest performance of tomato fruit. Pak. J. Bot. 2013, 45, 1581–1587. [Google Scholar]
- Kessler, B.; Moscicki, Z.W. Effect of triiodobenzoic acid and maleic hydrazide upon the transport of foliar applied calcium and iron. Plant Publ. Agric. Res. Stn. 1957, 210-D, 70–72. [Google Scholar] [CrossRef]
- Schupp, J.R.; Greene, D.W. Effect of aminothoxyvinylglycine (AVG) on preharvest drop, fruit quality, and maturation of ‘McIntosh’ apples. I. concentration and timing of dilute applications of AVG. HortScience 2004, 39, 1030–1035. [Google Scholar] [CrossRef]
- Chen, Y.; Smagula, J.M.; Litten, W.; Dunham, S. Effect of boron and calcium foliar sprays on pollen germination and development, fruit set, seed development, and berry yield and quality in lowbush blueberry (Vaccinium angustifolium Ait.). J. Am. Soc. Hortic. Sci. 1998, 123, 524–531. [Google Scholar] [CrossRef]
- Ochmian, I. The impact of foliar application of calcium fertilizers on the quality of highbush blueberry fruits belonging to the ‘Duke’ cultivar. Not. Bot. Hortic. Agrobot. 2012, 40, 163–169. [Google Scholar] [CrossRef]
- Stückrath, R.; Quevedo, R.; de la Fuente, L.; Hernandes, A.; Sepúlveda, V. Effect of foliar applications of calcium on the quality of blueberry fruits. J. Plant Nutr. 2008, 31, 1299–1312. [Google Scholar] [CrossRef]
- Angeletti, P.; Castagnasso, H.; Miceli, E.; Terminiello, L.; Concellón, A.; Chaves, A.; Vicente, A.R. Effect of preharvest calcium applications on postharvest quality, softening and cell wall degradation of two blueberry (Vaccinium corymbosum) varieties. Postharvest Biol. Technol. 2010, 58, 98–103. [Google Scholar] [CrossRef]
- Hanson, E.J. Preharvest calcium sprays do not improve highbush blueberry (Vaccinium corymbosum L.) quality. HortScience 1995, 30, 977–978. [Google Scholar] [CrossRef]
- Kelley, C.C.; Spilsbury, R.H. Soil Survey of the Lower Fraser Valley; Publication 650, Technical Bulletin 20; Dominion of Canada, Department of Agriculture: Ottawa, ON, Canada, 1939. [Google Scholar]
- Hart, J.; Strik, B.; White, L.; Yang, W. Nutrient Management for Blueberries in Oregon; Oregon State University Extension Service Publications: Corvallis, OR, USA, 2006; EM 8918. [Google Scholar]
- R Development Core Team. R: A Language and Environment for Statistical Computing; R Foundation for Statistical Computing: Vienna, Austria, 2010; ISBN 3-900051-07-0. Available online: http://www.R-project.org (accessed on 10 September 2010).
- Bates, D.; Maechler, M.; Bolker, B.; Walker, S. Fitting linear mixed-effects models using lme4. J. Stat. Softw. 2015, 67, 1–48. [Google Scholar] [CrossRef]
- Graves, S.; Piepho, H.-P.; Selzer, L.; Dorai-Raj, S. mult-compView: Visualizations of Paired Comparisons. Available online: https://CRAN.R-project.org/package=multcompView (accessed on 3 January 2015).
- Marschner, H. Mineral Nutrition of Higher Plants, 2nd ed.; Academic Press: Amsterdam, The Netherlands, 1995. [Google Scholar]
- Tromp, J. The intact curve for calcium into apple fruits under various environmental conditions. Commun. Soil Sci. Plant Anal. 1979, 10, 325–335. [Google Scholar] [CrossRef]
- Garmin, P.; Mathis, W.T. Studies of mineral balance as related to the occurrence of Baldwin spot in Connecticut. Bull. Conn. Agric. Exp. Stat. 1956, 601, 1–19. [Google Scholar]
- Kramer, P.J.; Bullock, H.C. Seasonal variations in the proportions of suberized and unsuberized roots of trees in relation to the absorption of water. Am. J. Bot. 1966, 53, 200–204. [Google Scholar] [CrossRef]
- Zavalloni, C.; Marangoni, B.; Scudellari, D. Dynamics of uptake of calcium, potassium and magnesium into apple fruit in a high density planting. Acta Hortic. 2001, 564, 113–121. [Google Scholar] [CrossRef]
- Quinlan, J.D. Chemical composition of developing and shed fruits of Laxton’s Fortune apple. J. Hortic. Sci. 1969, 44, 97–106. [Google Scholar] [CrossRef]
- Dražeta, L.; Lang, A.; Morgan, L.; Volz, R.; Jameson, P.E. Bitter pit and vascular function in apples. Acta Hortic. 2001, 564, 387–392. [Google Scholar] [CrossRef]
- Himelrick, D.G.; Walker, C.E. Seasonal trends in calcium, magnesium, and potassium fractions in apple leaf and fruit tissues. J. Am. Soc. Hortic. Sci. 1982, 107, 1078–1080. [Google Scholar]
- Tadesse, T.; Nichols, M.A.; Hewett, E.W.; Fischer, K.J. Relative humidity around the fruit influences the mineral composition and incidence of blossom-end rot in sweet pepper fruit. J. Hortic. Sci. Biotechnol. 2001, 76, 9–16. [Google Scholar] [CrossRef]
- Tromp, J.; van Vurre, J. Accumulation of calcium, potassium and magnesium in apple fruits under various conditions of humidity. Physiol. Plant. 1993, 27, 253–258. [Google Scholar] [CrossRef]
- Tromp, J.; Oele, J. Shoot growth and mineral composition of leaves and fruits of apple as affected by relative humidity. Physiol. Plant. 1972, 27, 253–335. [Google Scholar] [CrossRef]
- Hanson, E.J.; Berkheimer, S.F. Effect of soil calcium applications on blueberry yield and quality. Small Fruits Rev. 2004, 3, 133–139. [Google Scholar] [CrossRef]
- Glenn, G.M.; Poovaiah, B.W. Cuticular permeability to calcium compounds in ‘Golden Delicious’ apple fruit. J. Am. Soc. Hortic. Sci. 1985, 116, 807–812. [Google Scholar]
- Lara, I.; Belge, B.; Goulao, L.F. The fruit cuticle as a modulator of postharvest quality. Postharvest Biol. Technol. 2014, 87, 103–112. [Google Scholar] [CrossRef]
- Ferguson, I.B.; Watkins, C.B. Bitter pit in apple fruit. Hortic. Rev. 1989, 11, 289–355. [Google Scholar]
- Harker, F.R.; Ferguson, I.B.; Dromogoole, F.I. Calcium ion transport through tissue disks of the corticle flesh of apple fruit. Physiol. Plant. 1989, 74, 688–694. [Google Scholar] [CrossRef]
- Perring, M.A. Redistribution of minerals in apple fruit during storage: Preliminary investigations with the variety Spartan. J. Sci. Food Agric. 1984, 35, 182–190. [Google Scholar] [CrossRef]
- Hanson, E.J.; Beggs, J.L.; Beaudry, R.M. Applying calcium chloride postharvest to improve highbush blueberry firmness. HortScience 1993, 28, 1033–1034. [Google Scholar] [CrossRef]
- Retamales, J.B.; Arredondo, G. Calcio en arándano. In Caclio en Fruticultura; Yuri, J.A., Retamales, J.B., Eds.; Universidad de Talca, Escuela de Agronomía: Talca, Chile, 1995. [Google Scholar]
- Vance, A.J.; Jones, P.; Strik, B.C. Foliar calcium applications do not improve quality or shelf life of strawberry, raspberry, blackberry, or blueberry fruit. HortScience 2017, 52, 382–387. [Google Scholar] [CrossRef]
- Hewett, E.W.; Watkins, C.B. Bitter pit control by sprays and vacuum infiltration of Calcium in Cox’s orange Pippen apples. HortScience 1991, 26, 284–286. [Google Scholar] [CrossRef]
- Perring, M.A.; Wilkinson, B.G. The mineral composition of apples. IV. The radial distribution of chemical constituents in apples, and its significance in sampling for analysis. Commun. Soil Sci. Plant Anal. 1965, 16, 535–541. [Google Scholar] [CrossRef]
- Porro, D.; Ceschini, A.; Pantezzi, T. The importance of advisory service in predicting bitter pit using early-season fruit analysis. Acta Hortic. 2006, 721, 273–277. [Google Scholar] [CrossRef]
- Perring, M.A.; Jackson, C.H. The mineral composition of apples: Calcium concentration and bitter pit in relation to mean mass per apple. J. Sci. Food Agric. 1975, 26, 1493–1502. [Google Scholar] [CrossRef]
- Turner, N.A.; Ferguson, I.B.; Sharples, R.O. Sampling and analysis for determining relationships of calcium concentration to bitter pit in apple fruit. N. Z. J. Agric. Res. 1977, 20, 525–532. [Google Scholar] [CrossRef]
- Peryea, F.J.; Neilsen, G.H.; Faubion, D. Start-timing for calcium chloride spray programs influences fruit calcium and bitter pit in ‘Braeburn’ and ‘Honeycrisp’ apples. J. Plant Nutr. 2007, 30, 1213–1227. [Google Scholar] [CrossRef]
- Raese, J.T.; Drake, S.R. Effect of calcium spray materials, rate, time of spray application, and rootstocks on fruit quality of ‘Red’ and ‘Golden Delicious’ apples. J. Plant Nutr. 2000, 23, 1435–1447. [Google Scholar] [CrossRef]
- Schlegel, T.K.; Schönherr, J. Penetration of calcium chloride into apple fruits as affected by stage of fruit development. Acta Hortic. 2002, 594, 421–425. [Google Scholar] [CrossRef]
- Stahly, E.A.; Benson, N.R. Calcium levels of ‘Golden Delicious’ apples sprayed with 2,3,5-triiodobenzoic acid. J. Am. Soc. Hortic. Sci. 1976, 95, 726–727. [Google Scholar]
- Chiu, T.F.; Bould, C. Effects of shortage of calcium and other cations on 45Ca mobility, growth and nutritional disorders of tomato plants (Lycopersicon esculentum). J. Sci. Food Agric. 1976, 27, 969–977. [Google Scholar] [CrossRef]
- de Freitas, S.T.; do Amarante, C.V.T.; Labavitch, J.M.; Mitcham, E.J. Cellular approach to understand bitter pit development in apple fruit. Postharvest Biol. Technol. 2010, 57, 6–13. [Google Scholar] [CrossRef]
- Jemric, T.; Fruk, I.; Fruk, M.; Radman, S.; Sinkovic, L.; Fruk, G. Bitter pit in apples: Pre- and postharvest factors: A review. Span. J. Agric. Res. 2016, 14. [Google Scholar] [CrossRef]
- de Freitas, S.T.; do Vamarnet, C.V.T.; Dandekar, A.B.; Mitcham, E.J. Shading affects fresh calcium uptake concentration, bitter pit incidence and other fruit traits in “Greensleeves” apple. Sci. Hortic. 2013, 161, 266–272. [Google Scholar] [CrossRef]
- Arrington, M. Optimization of Pollination and Fruit Set in Northern Highbush Blueberry. Ph.D. Thesis, Washington State University, Department of Horticulture, Pullman, WA, USA, December 2017. [Google Scholar]
- Silveira, J.P.G.; do Amarante, C.V.T.; Steffens, C.A.; Miquoloto, A.; Katsurayama, J.M. A inibição na síntese de giberelina reduz o crescimento vegetativo em macieiras e proporciona controle de “bitter pit” nos frutos. Rev. Bras. Frutic. 2012, 34, 328–335. [Google Scholar] [CrossRef]
- Calvo, G. Control of postharvest disorders in Granny Smith apples by 1-methylcyclopropene 1-MCP application. Rev. Ingestig. Apropecu. 2005, 34, 45–58. [Google Scholar]
- Buccheri, M.; Di Vaio, C. Relationship among seed number, quality, and calcium content in apple fruits. J. Plant Nutr. 2004, 27, 1735–1746. [Google Scholar] [CrossRef]
- Arrington, M.; DeVetter, L. Foliar applications of calcium and boron do not increase fruit set or yield in northern highbush blueberry (Vaccinium corymbosum). HortScience 2017, 52, 1259–1264. [Google Scholar] [CrossRef]



| Date | Phenology | Spray Volume (L·ha−1) | |||||
|---|---|---|---|---|---|---|---|
| Timings | 2015 | 2016 | Site | 2015 | 2016 | 2015 | 2016 |
| Early, All | 22-April | 26-April | 1 | 70% bloom; 10% petal fall | 80% bloom; 5% petal fall | 494 | 549 |
| 2 | 50% bloom; 0% petal fall | 60% bloom; 0% petal fall | 371 | 504 | |||
| 3 | 30% bloom; 0% petal fall | 40% bloom; 0% petal fall | 371 | 413 | |||
| Early, All | 2-May | 3-May | 1 | 100% bloom; 40% petal fall | 100% bloom; 40% petal fall | 494 | 596 |
| 2 | 95% bloom; 25% petal fall | 100% bloom; 15% petal fall | 371 | 549 | |||
| 3 | 60% bloom; 5% petal fall | 90% bloom; 5% petal fall | 371 | 504 | |||
| Early, Mid, All | 9-May | 10-May | 1 | 100% bloom; 80% petal fall | 100% petal fall | 556 | 731 |
| 2 | 100% bloom; 60% petal fall | 95% petal fall | 494 | 670 | |||
| 3 | 95% bloom; 25% petal fall | 90% petal fall | 432 | 640 | |||
| Mid, All | 16-May | 17-May | 1 | 100% petal fall | Green fruit | 618 | 731 |
| 2 | 100% petal fall | Green fruit | 556 | 640 | |||
| 3 | 100% bloom; 70% petal fall | Green fruit | 556 | 640 | |||
| Mid, Late, All | 23-May | 24-May | 1 | Green fruit | Green fruit | 618 | 853 |
| 2 | Green fruit | Green fruit | 556 | 793 | |||
| 3 | 100% petal fall | Green fruit | 556 | 731 | |||
| Late, All | 30-May | 31-May | 1 | Green fruit | Green fruit | 803 | 914 |
| 2 | Green fruit | Green fruit | 741 | 823 | |||
| 3 | Green fruit | Green fruit | 618 | 731 | |||
| Late, All | 06-Jun | 06-Jun | 1 | Green fruit | Green fruit | 803 | 914 |
| 2 | Green fruit | Green fruit | 741 | 823 | |||
| 3 | Green fruit | Green fruit | 618 | 731 | |||
| Experiment 1 | ||||||||
|---|---|---|---|---|---|---|---|---|
| Calcium Treatment | Nitrogen Treatment (kg N·ha−1) | Yield Estimate (kg·ha−1) 5 | Fruit Drop (%) | Yield Loss Estimate (kg·ha−1) | Average Fruit Weight (g/fruit) | |||
| Early | Mid | Late | Average | |||||
| Control | Poultry manure 4 | 10,004 ± 474a | 16.1 ± 1.4c | 1613 ± 159c | 1.8 ± 0.1a | 1.9 ± 0.0b | 1.8 ± 0.1a | 1.9 ± 0.0a |
| CaCl2 1 | 9946 ± 176a | 7.2 ± 0.9a | 716 ± 81a | 1.7 ± 0.1a | 2.2 ± 0.1c | 1.8 ± 0.0a | 2.0 ± 0.1b | |
| Ca3(PO3)2 2 | 9579 ± 250a | 12.4 ± 0.8b | 1194 ± 91b | 1.8 ± 0.1a | 1.9 ± 0.1a | 1.8 ± 0.1a | 1.8 ± 0.1a | |
| CaO3S2 3 | 10,496 ± 336b | 15.6 ± 1.8c | 1635 ± 185c | 1.8 ± 0.1a | 2.0 ± 0.1b | 1.8 ± 0.0a | 1.9 ± 0.1a | |
| Experiment 2 | ||||||||
| Control | 0 | 12,167 ± 1334b | 13.1 ± 1.6c | 1530 ± 53d | 1.9 ± 0.1b | 2.2 ± 0.1c | 1.8 ± 0.0b | 2.0 ± 0.0d |
| 56 | 11,190 ± 1233a | 13.1 ± 1.7c | 1408 ± 99d | 1.9 ± 0.1b | 2.2 ± 0.0b | 1.8 ± 0.1a | 2.0 ± 0.1c | |
| 112 | 10,998 ± 570a | 12.6 ± 1.0c | 1372 ± 73d | 1.8 ± 0.1b | 2.1 ± 0.0a | 1.7 ± 0.0a | 1.9 ± 0.0b | |
| 168 | 11,128 ± 1245a | 13.1 ± 1.7c | 1431 ± 180d | 2.0 ± 0.1c | 2.1 ± 0.0a | 1.8 ± 0.0b | 2.0 ± 0.0c | |
| CaCl2 | 0 | 14,085 ± 1853c | 3.4 ± 0.5a | 470 ± 65a | 1.9 ± 0.0b | 2.2 ± 0.1b | 1.9 ± 0.0c | 2.0 ± 0.0d |
| 168 | 12,153 ± 1110b | 2.5 ± 0.2a | 303 ± 12a | 1.7 ± 0.1a | 2.0 ± 0.0a | 1.8 ± 0.1a | 1.9 ± 0.0a | |
| Ca3(PO3)2 | 0 | 12,277 ± 1332b | 9.8 ± 1.5b | 1140 ± 68c | 1.9 ± 0.1b | 2.1 ± 0.1a | 1.8 ± 0.1b | 2.0 ± 0.1c |
| 168 | 11,855 ± 1006b | 10.6 ± 1.3b | 1214 ± 71c | 1.9 ± 0.0b | 2.1 ± 0.1b | 2.0 ± 0.1c | 2.0 ± 0.1d | |
| CaO3S2 | 0 | 11,348 ± 1129a | 9.3 ± 2.4b | 974 ± 175b | 2.1 ± 0.1c | 2.2 ± 0.0b | 1.8 ± 0.0b | 2.1 ± 0.0d |
| 168 | 11,941 ± 1557b | 12.3 ± 1.6c | 1408 ± 87d | 2.0 ± 0.1c | 2.1 ± 0.1b | 1.9 ± 0.0b | 2.0 ± 0.1d | |
| Product | Timing | Rate (ppm) | Estimated Fruit Yield (kg·ha−1) 7 | Fruit Drop (%) | Fruit Per Cluster | ||||||
|---|---|---|---|---|---|---|---|---|---|---|---|
| Site 1 | Site 2 | Site 3 | Site 1 | Site 2 | Site 3 | Site 1 | Site 2 | Site 3 | |||
| SST 1 | Mid | 800 | 16,568 ± 1709ab | 5252 ± 445b | 7487 ± 2329ab | 12.0 ± 0.8de | 8.9 ± 3.4ab | 2.8 ± 0.7b | 5.8 ± 0.1ab | 6.3 ± 0.3bc | 5.9 ± 0.2a |
| CaCl2 2 | Early 3 | 1360 | 17,023 ± 2068a–c | 7967 ± 576d | 8809 ± 2959b–d | 8.5 ± 3.3cd | 5.6 ± 1.8a | 0.8 ± 0.4a | 6.3 ± 0.4bc | 7.3 ± 0.3cd | 7.0 ± 0.1b |
| 2720 | 19,784 ± 3229c–e | 6655 ± 597c | 8017 ± 2245a–c | 3.5 ± 0.5ab | 1.4 ± 0.3a | 0.4 ± 0.1a | 6.9 ± 0.1cd | 8.0 ± 0.4d | 7.0 ± 0.1b | ||
| Mid 4 | 1360 | 20,226 ± 2643de | 8645 ± 894de | 8149 ± 1745a–c | 6.9 ± 0.7bc | 4.7 ± 0.9a | 0.9 ± 0.3a | 7.0 ± 0.5cd | 7.8 ± 0.7d | 7.1 ± 0.6b | |
| 2720 | 17,956 ± 2354b-d | 8340 ± 423de | 8443 ± 2924a–d | 6.2 ± 0.6a–c | 1.7 ± 0.6a | 0.7 ± 0.2a | 6.7 ± 0.2cd | 7.7 ± 0.3d | 7.1 ± 0.3b | ||
| Late 5 | 1360 | 16,043 ± 2153ab | 6338 ± 337bc | 7018 ± 2123a | 14.1 ± 2.1e | 25.2 ± 4.5cd | 5.4 ± 0.9c | 5.7 ± 0.2ab | 4.8 ± 0.2a | 5.9 ± 0.2a | |
| 2720 | 14,977 ± 1931a | 6626 ± 333c | 8239 ± 2738a–c | 16.4 ± 3.0ef | 17.4 ± 3.9bc | 3.0 ± 0.9b | 5.5 ± 0.2a | 5.5 ± 0.3ab | 6.1 ± 0.2a | ||
| All 6 | 1360 | 20,429 ± 3212de | 9945 ± 917f | 9415 ± 2988cd | 4.2 ± 0.6a–c | 1.6 ± 0.5a | 0.5 ± 0.1a | 7.2 ± 0.3d | 8.2 ± 0.6d | 7.4 ± 0.2b | |
| 2720 | 21,245 ± 3593e | 9312 ± 998ef | 10,098 ± 3339d | 2.1 ± 0.6a | 0.4 ± 0.1a | 0.2 ± 0.1a | 7.0 ± 0.1cd | 8.1 ± 0.7d | 7.4 ± 0.1b | ||
| Control | n/a | 0 | 15,431 ± 3084ab | 3950 ± 454a | 8684 ± 3219a–d | 18.8 ± 1.6f | 32.5 ± 8.6d | 5.3 ± 0.7c | 5.4 ± 0.4a | 4.4 ± 0.6a | 6.2 ± 0.3a |
| Green Fruit Calcium (%) 7 | Early Leaf Calcium (%) | ||||||
|---|---|---|---|---|---|---|---|
| Year | Product | Timing | Rate (ppm) | Dry Weight | Fresh Weight | Dry Weight | Fresh Weight |
| 2015 | SST 1 | Mid | 800 | 0.12 ± 0.01b | 0.015 ± 0.001b | 0.66 ± 0.05a–c | 0.122 ± 0.009ab |
| CaCl2 2 | Early 3 | 1360 | 0.12 ± 0.01b | 0.015 ± 0.001b | 0.65 ± 0.05ab | 0.120 ± 0.008a | |
| 2720 | 0.12 ± 0.01b | 0.015 ± 0.001b | 0.63 ± 0.05a | 0.116 ± 0.009a | |||
| Mid 4 | 1360 | 0.12 ± 0.01b | 0.015 ± 0.001b | 0.64 ± 0.05ab | 0.118 ± 0.009a | ||
| 2720 | 0.14 ± 0.01c | 0.017 ± 0.001c | 0.67 ± 0.05a–c | 0.123 ± 0.008a–c | |||
| Late 5 | 1360 | 0.12 ± 0.01b | 0.016 ± 0.001b | 0.66 ± 0.04ab | 0.120 ± 0.008a | ||
| 2720 | 0.14 ± 0.01c | 0.019 ± 0.001c | 0.72 ± 0.06cd | 0.133 ± 0.011bc | |||
| All 6 | 1360 | 0.14 ± 0.00c | 0.018 ± 0.001c | 0.69 ± 0.06b–d | 0.125 ± 0.010a–c | ||
| 2720 | 0.19 ± 0.01d | 0.023 ± 0.001d | 0.75 ± 0.06d | 0.134 ± 0.008c | |||
| 0.11 ± 0.01a | 0.014 ± 0.001a | 0.63 ± 0.05a | 0.116 ± 0.008a | ||||
| 2016 8 | Control | n/a | 0 | 0.12 ± 0.00 | 0.017 ± 0.001 | 0.57 ± 0.03 | 0.214 ± 0.010 |
| Average 8 | 0.11 ± 0.01 | 0.015 ± 0.001 | 0.60 ± 0.04 | 0.165 ± 0.009 | |||
| Ripe Fruit Ca (% dry Weight) 7 | Ripe Fruit Ca (% Fresh Weight) | |||||||
|---|---|---|---|---|---|---|---|---|
| Product | Timing | Rate (ppm) | 2015 | 2016 | Average | 2015 | 2016 | Average |
| SST 1 | Mid | 800 | 0.04 ± 0.00ab | 0.04 ± 0.00bc | 0.04 ± 0.00ab | 0.006 ± 0.000ab | 0.007 ± 0.000c–e | 0.007 ± 0.000b |
| CaCl2 2 | Early 3 | 1360 | 0.04 ± 0.00a | 0.04 ± 0.00ab | 0.04 ± 0.00a | 0.006 ± 0.000a | 0.005 ± 0.001a | 0.006 ± 0.000a |
| 2720 | 0.04 ± 0.00a–c | 0.05 ± 0.00cd | 0.04 ± 0.00bc | 0.007 ± 0.000a–c | 0.007 ± 0.001c–f | 0.007 ± 0.000bc | ||
| Mid 4 | 1360 | 0.04 ± 0.00bc | 0.04 ± 0.00a–c | 0.04 ± 0.00bc | 0.007 ± 0.001a–c | 0.006 ± 0.000a–c | 0.007 ± 0.000b | |
| 2720 | 0.05 ± 0.00d | 0.05 ± 0.00c–e | 0.05 ± 0.00d | 0.008 ± 0.000c | 0.007 ± 0.000d–f | 0.008 ± 0.000c | ||
| Late 5 | 1360 | 0.04 ± 0.00b–d | 0.04 ± 0.00bc | 0.04 ± 0.00bc | 0.007 ± 0.000bc | 0.007 ± 0.000b–d | 0.007 ± 0.000bc | |
| 2720 | 0.05 ± 0.00cd | 0.05 ± 0.00cd | 0.05 ± 0.00cd | 0.007 ± 0.000c | 0.007 ± 0.000c–e | 0.007 ± 0.000bc | ||
| All 6 | 1360 | 0.04 ± 0.00cd | 0.05 ± 0.00de | 0.05 ± 0.00d | 0.007 ± 0.000bc | 0.008 ± 0.000ef | 0.007 ± 0.000c | |
| 2720 | 0.06 ± 0.00e | 0.05 ± 0.00e | 0.06 ± 0.00e | 0.009 ± 0.000d | 0.008 ± 0.000f | 0.009 ± 0.000d | ||
| Control | n/a | 0 | 0.04 ± 0.00ab | 0.04 ± 0.00a | 0.04 ± 0.00a | 0.006 ± 0.000a | 0.006 ± 0.000ab | 0.006 ± 0.000a |
| Late leaf Ca (% Dry Weight) 7 | Late Leaf Ca (% Fresh Weight) | |||||||
|---|---|---|---|---|---|---|---|---|
| Product | Timing | Rate (ppm) | 2015 | 2016 | Average | 2015 | 2016 | Average |
| SST 1 | Mid | 800 | 0.81 ± 0.04ab | 0.85 ± 0.03ab | 0.83 ± 0.03ab | 0.322 ± 0.015ab | 0.365 ± 0.013ab | 0.344 ± 0.011a–c |
| CaCl2 2 | Early 3 | 1360 | 0.81 ± 0.04ab | 0.83 ± 0.04a | 0.82 ± 0.03a | 0.322 ± 0.015ab | 0.353 ± 0.015a | 0.338 ± 0.011ab |
| 2720 | 0.81 ± 0.04ab | 0.88 ± 0.04a–c | 0.84 ± 0.03a–c | 0.323 ± 0.013ab | 0.375 ± 0.015a–c | 0.349 ± 0.011a–d | ||
| Mid 4 | 1360 | 0.80 ± 0.05ab | 0.88 ± 0.03a–c | 0.84 ± 0.03a–c | 0.320 ± 0.019ab | 0.375 ± 0.014a–c | 0.348 ± 0.013a–d | |
| 2720 | 0.81 ± 0.04ab | 0.92 ± 0.03c | 0.87 ± 0.03bc | 0.322 ± 0.015ab | 0.393 ± 0.015c | 0.357 ± 0.013b–d | ||
| Late 5 | 1360 | 0.82 ± 0.04ab | 0.89 ± 0.03bc | 0.85 ± 0.03a–c | 0.331 ± 0.016bc | 0.380 ± 0.013bc | 0.356 ± 0.011a–d | |
| 2720 | 0.84 ± 0.03bc | 0.90 ± 0.03bc | 0.87 ± 0.02bc | 0.338 ± 0.014bc | 0.385 ± 0.013bc | 0.362 ± 0.010cd | ||
| All 6 | 1360 | 0.83 ± 0.05ab | 0.89 ± 0.03bc | 0.86 ± 0.03a–c | 0.331 ± 0.018bc | 0.380 ± 0.012bc | 0.355 ± 0.012a–d | |
| 2720 | 0.88 ± 0.04c | 0.89 ± 0.03bc | 0.88 ± 0.02c | 0.351 ± 0.016c | 0.379 ± 0.014a–c | 0.365 ± 0.011d | ||
| Control | n/a | 0 | 0.78 ± 0.04a | 0.85 ± 0.03ab | 0.81 ± 0.02a | 0.305 ± 0.017a | 0.370 ± 0.012a–c | 0.337 ± 0.012a |
© 2019 by the authors. Licensee MDPI, Basel, Switzerland. This article is an open access article distributed under the terms and conditions of the Creative Commons Attribution (CC BY) license (http://creativecommons.org/licenses/by/4.0/).
Share and Cite
Gerbrandt, E.M.; Mouritzen, C.; Sweeney, M. Foliar Calcium Corrects a Deficiency Causing Green Fruit Drop in ‘Draper’ Highbush Blueberry (Vaccinium corymbosum L.). Agriculture 2019, 9, 63. https://doi.org/10.3390/agriculture9030063
Gerbrandt EM, Mouritzen C, Sweeney M. Foliar Calcium Corrects a Deficiency Causing Green Fruit Drop in ‘Draper’ Highbush Blueberry (Vaccinium corymbosum L.). Agriculture. 2019; 9(3):63. https://doi.org/10.3390/agriculture9030063
Chicago/Turabian StyleGerbrandt, Eric Martin, Charles Mouritzen, and Mark Sweeney. 2019. "Foliar Calcium Corrects a Deficiency Causing Green Fruit Drop in ‘Draper’ Highbush Blueberry (Vaccinium corymbosum L.)" Agriculture 9, no. 3: 63. https://doi.org/10.3390/agriculture9030063
APA StyleGerbrandt, E. M., Mouritzen, C., & Sweeney, M. (2019). Foliar Calcium Corrects a Deficiency Causing Green Fruit Drop in ‘Draper’ Highbush Blueberry (Vaccinium corymbosum L.). Agriculture, 9(3), 63. https://doi.org/10.3390/agriculture9030063
