Effect of Tillage Systems on Physical Properties of a Clay Loam Soil under Oats
Abstract
1. Introduction
2. Materials and Methods
2.1. Study Site
2.2. The Tillage Treatments
2.3. Bulk Density
2.4. Pore Space
2.5. Saturated Hydraulic Conductivity
2.6. Crop Yield
2.7. Statistical Analysis
3. Results and Discussion
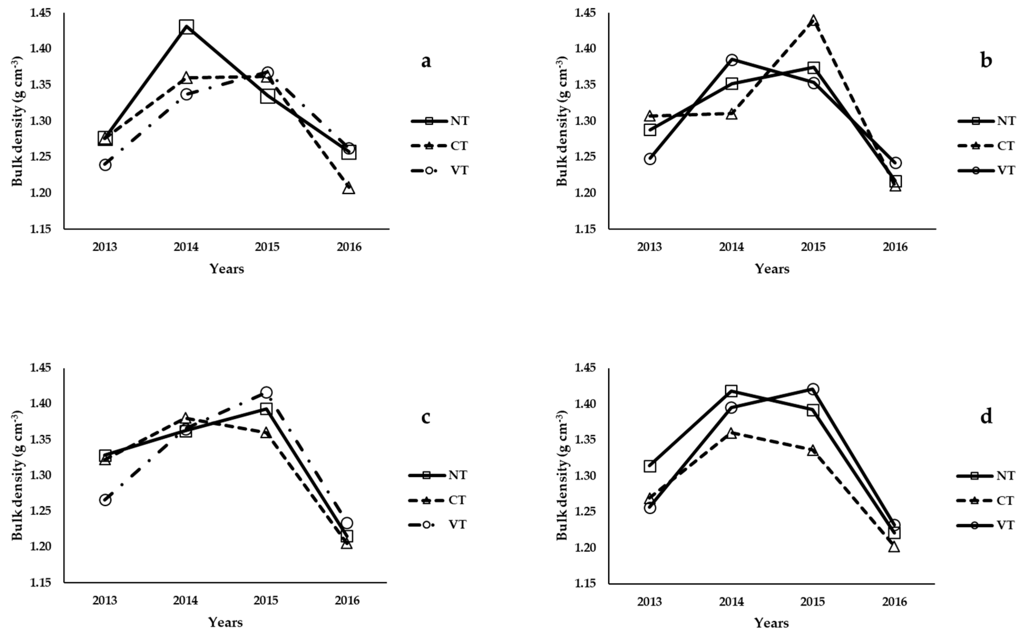
3.1. Effects on Bulk Density
3.2. Effects on Pore Space
3.3. Effects on Hydraulic Conductivity
3.4. Effects on Crop Yield
4. Conclusions
Author Contributions
Funding
Acknowledgments
Conflicts of Interest
References
- Adhikari, K.; Hartemink, A.E. Linking soils to ecosystem services—A global review. Geoderma 2016, 262, 101–111. [Google Scholar] [CrossRef]
- Pretty, J.; Bharucha, Z.P. Sustainable intensification in agricultural systems. Ann. Bot. 2014, 114, 1571–1596. [Google Scholar] [CrossRef] [PubMed]
- SEMARNAT. Informe de la Situación del Medio Ambiente en México. Compendio de Estadísticas Ambientales. Indicadores Clave y de Desempeño Ambiental; Edición 2012; Secretaria del Medio Ambiente y Recursos Naturales: México City, México, 2013; pp. 122–141. ISBN 9786078246618. [Google Scholar]
- Castellanos-Navarrete, A.; Rodriguez-Aragones, C.; de Goede, R.G.M.; Kooistra, M.J.; Sayre, K.D.; Brussaard, L.; Pulleman, M.M. Earthworm activity and soil structural changes under conservation agriculture in central Mexico. Soil Tillage Res. 2012, 123, 61–70. [Google Scholar] [CrossRef]
- Nunes, M.R.; Denardin, J.E.; Pauletto, E.A.; Faganello, A.; Spinelli-Pinto, L.F. Mitigation of clayey soil compaction managed under no-tillage. Soil Tillage Res. 2015, 148, 119–126. [Google Scholar] [CrossRef]
- Al-Shammary, A.A.G.; Kouzani, A.Z.; Kaynak, A.; Khoo, S.Y.; Norton, M.; Gates, W. Soil bulk density estimation methods: A review. Pedosphere 2018, 28, 581–596. [Google Scholar] [CrossRef]
- Wösten, J.H.M.; Van Genuchten, M.T. Using texture and other soils properties to predict the unsaturated soil hydraulic functions. Soil Sci. Soc. Am. J. 1988, 52, 1762–1770. [Google Scholar] [CrossRef]
- Jabro, J.D.; Stevens, W.B.; Iversen, W.M.; Evans, R.G. Bulk density, water content, and hydraulic properties of a sandy loam soil following conventional or strip tillage. Appl. Eng. Agric. 2011, 27, 765–768. [Google Scholar] [CrossRef]
- Castellini, M.; Ventrella, D. Impact of conventional and minimum tillage on soil hydraulic conductivity in typical cropping system in Southern Italy. Soil Tillage Res. 2012, 124, 47–56. [Google Scholar] [CrossRef]
- Fernandez-Ugalde, O.; Virto, I.; Bescansa, P.; Imaz, M.J.; Enrique, A.; Karlen, D.L. No-tillage improvement of soil physical quality in calcareous degradation-prone semiarid soils. Soil Tillage Res. 2009, 106, 29–35. [Google Scholar] [CrossRef]
- Kuzucua, M.; Dökmenb, F. The effects of tillage on soil water content in dry areas. Agric. Agric. Sci. Procedia 2015, 4, 126–132. [Google Scholar] [CrossRef]
- Campos-Magaña, S.G.; Cadena-Zapata, M.; Ramírez-Fuentes, G.; Pacheco-López, J.L.; Reynolds-Chavez, M.A.; Valezuela-Garcia, J.R. An experimental determination of the specific soil resistance of a sandy loam soil using vertical soil tillage in the Northeast of Mexico. Agric. Mech. Asia Afr. Lat. Am. 2015, 46, 53–57. [Google Scholar]
- Reicosky, D.C. Conservation tillage is not conservation agriculture. J. Soil Water Conserv. 2015, 70, 103–108. [Google Scholar] [CrossRef]
- Strudley, M.W.; Green, T.R.; Ascough, J.C., II. Tillage effects on soil hydraulics properties in space and time: State of the science. Soil Tillage Res. 2008, 99, 4–48. [Google Scholar] [CrossRef]
- Blanco-Canqui, H.; Ruis, S.J. No-tillage and soil physical environment. Geoderma 2018, 326, 164–200. [Google Scholar] [CrossRef]
- Alegre, J.C.; Cassel, D.K.; Amezquita, E. Tillage systems and soil properties in Latin America. Soil Tillage Res. 1991, 20, 147–163. [Google Scholar] [CrossRef]
- Salem, H.M.; Valero, C.; Muñoz, M.A.; Gil Rodríguez, M.; Silva, L.L. Short-term effects of four tillage practices on soil physical properties, soil water potential, and maize yield. Geoderma 2015, 237–238, 60–70. [Google Scholar] [CrossRef]
- Gozubuyuk, Z.; Sahin, U.; Ozturk, I.; Celik, A.; Adiguzel, M.C. Tillage effects on certain physical and hydraulic properties of a loamy soil under a crop rotation in a semi-arid region with a cool climate. Catena 2014, 118, 195–205. [Google Scholar] [CrossRef]
- Huang, M.; Liang, T.; Wang, L.; Zhou, C. Effects of no-tillage systems on soil physical properties and carbon sequestration under long-term wheat–maize double cropping system. Catena 2015, 128, 195–202. [Google Scholar] [CrossRef]
- Alletto, L.; Pot, V.; Giuliano, S.; Costes, M.; Perdrieux, F.; Justes, E. Temporal variation in soil physical properties improves the water dynamics modeling in a conventionally-tilled soil. Geoderma 2015, 243, 18–28. [Google Scholar] [CrossRef]
- Dam, R.F.; Mehdi, B.B.; Burgess, M.S.E.; Madramootoo, C.A.; Mehuys, G.R.; Callum, I.R. Soil bulk density and crop yield under eleven consecutive years of corn with different tillage and residue practices in a sandy loam soil in central Canada. Soil Tillage Res. 2005, 84, 41–53. [Google Scholar] [CrossRef]
- Reynolds, W.D.; Drury, C.F.; Yang, X.M.; Fox, C.A.; Tan, C.S.; Zhang, T.Q. Land management effects on the near-surface physical quality of a clay loam soil. Soil Tillage Res. 2007, 96, 316–330. [Google Scholar] [CrossRef]
- Tracy, S.R.; Black, C.R.; Roberts, J.A.; McNeill, A.; Davidson, R.; Tester, M.; Samec, M.; Korošak, D.; Sturrock, C.; Mooney, S.J. Quantifying the effect of soil compaction on three varieties of wheat (Triticum aestivum L.) using X-ray Micro Computed Tomography (CT). Plant Soil 2012, 353, 195–208. [Google Scholar] [CrossRef]
- Tracy, S.R.; Black, C.R.; Roberts, J.A.; Mooney, S.J. Exploring the interacting effect of soil texture and bulk density on root system development in tomato (Solanum lycopersicum L.). Environ. Exp. Bot. 2013, 91, 38–47. [Google Scholar] [CrossRef]
- Rienzner, M.; Gandolfi, C. Investigation of spatial and temporal variability of saturated soil hydraulic conductivity at the field-scale. Soil Tillage Res. 2014, 135, 28–40. [Google Scholar] [CrossRef]
- Schwen, A.; Bodner, G.; Scholl, P.; Buchan, G.D.; Loiskandl, W. Temporal dynamics of soil hydraulic properties and the water-conducting porosity under different tillage. Soil Tillage Res. 2011, 113, 89–98. [Google Scholar] [CrossRef]
- Regalado, C.M.; Muñoz-Carpena, R. Estimating the saturated hydraulic conductivity in a spatially variable soil with different permeameters: A stochastic Kozeny–Carman relation. Soil Tillage Res. 2004, 77, 189–202. [Google Scholar] [CrossRef]
- Lampurlanes, J.; Cantero Martinez, C. Hydraulic conductivity, residue cover and soil surface roughness under different tillage systems in semiarid conditions. Soil Tillage Res. 2006, 85, 13–26. [Google Scholar] [CrossRef]
- Bottinelli, N.; Menasseri-Aubry, S.; Cluzeau, D.; Hallaire, V. Response of soil structure and hydraulic conductivity to reduced tillage and animal manure in a temperate loamy soil. Soil Use Manag. 2013, 29, 401–409. [Google Scholar] [CrossRef]
- Roldan, A.; Caravaca, F.; Hernández, M.T.; Garcia, C.; Sánchez-Brito, C.; Velásquez, M.; Tiscareño, M. No-tillage, crop residue additions, and legume cover cropping effects on soil quality characteristics under maize in Patzcuaro watershed (Mexico). Soil Tillage Res. 2003, 72, 65–73. [Google Scholar] [CrossRef]
- Morris, N.L.; Miller, P.C.H.; Orson, J.H.; Froud Williams, R.J. The adoption of non-inversion tillage systems in the United Kingdom and the agronomic impact on soil, crops and the environment-A review. Soil Tillage Res. 2010, 108, 1–15. [Google Scholar] [CrossRef]
- Verhulst, N.; Govaerts, B.; Verachtert, E.; Castellanos-Navarrete, A.; Mezzalama, M.; Wall, P.; Deckers, J.; Sayre, K.D. Conservation Agriculture, Improving Soil Quality for Sustainable Production Systems? In Advances in Soil Science: Food Security and Soil Quality; Lal, R., Stewart, B.A., Eds.; CRC Press: Boca Raton, FL, USA, 2010; pp. 137–208. ISBN 9781439800577. [Google Scholar]
- Haruna, S.I.; Anderson, S.H.; Nkongolo, N.V.; Zaibon, S. Soil Hydraulic Properties: Influence of Tillage and Cover Crops. Pedosphere 2018, 28, 430–442. [Google Scholar] [CrossRef]
- Campbell, D.J. Determination and Use of Soil Bulk Density in Relation to Soil Compaction. Dev. Agric. Eng. 1994, 11, 113–139. [Google Scholar] [CrossRef]
- Flint, A.L.; Flint, L.E. Particle density. In Methods of Soil Analysis; Dane, J.H., Topp, G.C., Eds.; Part 4. Physical Methods; Soil Science Society of America: Madison, WI, USA, 2002; pp. 229–240. [Google Scholar]
- Reynolds, W.D. Saturated hydraulic properties: Well permeameter. In Soil Sampling and Methods of Analysis, 2nd ed.; Carter, M.R., Gregorich, E.G., Eds.; CRC Press: Boca Raton, FL, USA, 2008; pp. 1025–1042. ISBN 9780849335860. [Google Scholar]
- Demuner-Molina, G.; Cadena-Zapata, M.; Campos-Magaña, S.G.; Zermeño-González, A.; Sánchez-Pérez, F.J. Efecto de labranza y mejoradores de suelo en humedad y desarrollo radicular. Tecnología y Ciencias del Agua 2014, 5, 123–130. [Google Scholar]
- R Core Team. R: A Language and Environment for Statistical Computing. Version 2.10. 2009. Available online: https://www.R-project.org/ (accessed on 18 August 2017).
- Mendiburu, F.D. Agricolae: Statistical Procedures for Agricultural Research. R Package. Agricolae Package Version 1.2-8. 2017. Available online: http://CRAN.R-project.org/package=agricolae (accessed on 18 August 2017).
- Tammeorg, P.; Simojoki, A.; Mäkelä, P.; Stoddard, F.L.; Alakukku, L.; Helenius, J. Biochar application to a fertile sandy clay loam in boreal conditions: Effects on soil properties and yield formation of wheat, turnip rape and faba bean. Plant Soil 2014, 374, 89–107. [Google Scholar] [CrossRef]
- Pachepsky, Y.; Park, Y. Saturated Hydraulic Conductivity of US Soils Grouped According to Textural Class and Bulk Density. Soil Sci. Soc. Am. J. 2015, 79, 1094–1100. [Google Scholar] [CrossRef]
- Soil Quality Institute. Soil Compaction: Detection, Prevention, and Alleviation; National Resources Conservation Service. USDA. Soil Quality—Agronomy Technical Note No. 17; Soil Quality Institute: Auburn, AL, USA, 2003; p. 7. [Google Scholar]
- Logsdon, S.D.; Karlen, D.L. Bulk density as a soil quality indicator during conversion to no-tillage. Soil Tillage Res. 2004, 78, 143–149. [Google Scholar] [CrossRef]
- Alletto, L.; Coquet, Y. Temporal and spatial variability of soil bulk density and near-saturated hydraulic conductivity under two contrasted tillage management systems. Geoderma 2009, 152, 85–94. [Google Scholar] [CrossRef]
- Logsdon, S.D.; Kaspar, T.C.; Cambardella, C.A. Depth-Incremental Soil Properties under No-Till or Chisel Management. Soil Sci. Soc. Am. J. 1999, 63, 197–200. [Google Scholar] [CrossRef]
- Fuentes, M.; Govaerts, B.; De Leon, F.; Hidalgo, C.; Dendooven, L.; Sayre, K.D.; Etchevers, J. Fourteen years of applying zero and conventional tillage, crop rotation and residue management systems and its effect on physical and chemical soil quality. Eur. J. Agron. 2009, 30, 228–237. [Google Scholar] [CrossRef]
- Monneveux, P.; Quillerou, E.; Sanchez, C.; Lopez-Cesati, J. Effect of zero tillage and residues conservation on continuous maize cropping in a subtropical environment (Mexico). Plant Soil 2006, 279, 95–105. [Google Scholar] [CrossRef]
- Jabro, J.D.; Iversen, W.M.; Stevens, W.A.; Evans, R.G.; Mikha, M.M.; Allen, B.L. Physical and hydraulic properties of a sandy loam soil under zero, shallow and deep tillage practices. Soil Tillage Res. 2016, 159, 67–72. [Google Scholar] [CrossRef]
- Ferrara, R.M.; Mazza, G.; Muschitiello, C.; Castellini, M.; Stellacci, A.M.; Navarro, A.; Lagomarsino, A.; Vitti, C.; Rossi, R.; Rana, G. Short-term effects of conversion to no-tillage on respiration and chemical—Physical properties of the soil: A case study in a wheat cropping system in semi-dry environment. Ital. J. Agrometeorol. 2017, 1, 47–58. [Google Scholar] [CrossRef]
- Shi, X.H.; Yang, X.M.; Drury, C.F.; Reynolds, W.D.; McLaughlin, N.B.; Zhang, X.P. Impact of ridge tillage on soil organic carbon and selected physical properties of a clay loam in southwestern Ontario. Soil Tillage Res. 2012, 120, 1–7. [Google Scholar] [CrossRef]
- Blanco Canqui, H.; Wienhold, B.J.; Jin, V.L.; Schmer, M.R.; Kibet, L.C. Long term tillage impact on soil hydraulic properties. Soil Tillage Res. 2017, 170, 38–42. [Google Scholar] [CrossRef]
- Mupangwa, W.; Twomlow, S.; Walker, S. Cumulative effects of reduced tillage and mulching on soil properties under semiarid conditions. J. Arid Environ. 2013, 91, 45–52. [Google Scholar] [CrossRef]
- Nimmo, J.R. Porosity and Pore Size Distribution, Reference Module in Earth Systems and Environmental Sciences; Elsevier: Amsterdam, The Netherlands, 2013. [Google Scholar]
- Pagliai, M.; Vignozzi, N. The Soil Pore System as an Indicator of Soil Quality. Adv. Geoecol. 2002, 35, 69–80. [Google Scholar]
- Glab, T.; Kulib, B. Effect of mulch and tillage system on soil porosity under wheat (Triticum aestivum). Soil Tillage Res. 2008, 99, 169–178. [Google Scholar] [CrossRef]
- Martinez, E.; Fuentes, J.P.; Silva, P.; Valle, S.; Acevedo, E. Soil physical properties and wheat root growth as affected by no tillage and conventional tillage systems in a Mediterranean environment of Chile. Soil Tillage Res. 2008, 99, 232–244. [Google Scholar] [CrossRef]
- Soil Science Division Staff. Soil Survey Manual; Ditzler, C., Scheffe, K., Monger, H.C., Eds.; USDA Handbook 18; Government Printing Office: Washington, DC, USA, 2017; pp. 218–226.
- Topp, G.C.; Reynolds, W.D.; Cook, F.J.; Kirby, J.M.; Carter, M.R. Physical attributes of soil quality. In Soil Quality for Crop Production and Ecosystem Health; Gregorich, E.G., Carter, M.R., Eds.; Elsevier: New York, NY, USA, 1997; pp. 21–58. [Google Scholar]
- Reynolds, W.D.; Yang, X.M.; Drury, C.F.; Zhang, T.Q.; Tan, C.S. Effects of selected conditioners and tillage on the physical quality of a clay loam soil. Can. J. Soil Sci. 2003, 83, 318–393. [Google Scholar] [CrossRef]
- Jirku, V.; Kodešová, R.; Nikodem, A.; Mühlhanselová, M.; Žigová, A. Temporal variability of structure and hydraulic properties of topsoil of three soil types. Geoderma 2013, 204, 43–58. [Google Scholar] [CrossRef]
- Pittelkow, C.M.; Linquist, B.A.; Lundy, M.E.; Liang, X.; Kees Janvan Groenigen, K.J.; Lee, J.; van Gestel, N.; Six, J.; Venterea, R.T.; van Kessel, C. When does no-till yield more? A global meta-analysis. Field Crop. Res. 2015, 183, 156–168. [Google Scholar] [CrossRef]
- Berner, A.; Hildermann, I.; Fließbach, A.; Pfiffner, L.; Niggli, U.; Mäder, P. Crop yield and soil fertility response to reduced tillage under organic management. Soil Tillage Res. 2008, 101, 89–96. [Google Scholar] [CrossRef]
- Ordóñez Fernández, R.; González Fernández, P.; Giráldez Cervera, J.V.; Perea Torres, F. Soil properties and crop yields after 21 years of direct drilling trials in southern Spain. Soil Tillage Res. 2007, 94, 47–54. [Google Scholar] [CrossRef]
- Boddey, R.M.; Jantalia, C.P.; Conceicao, P.C.; Zanatta, J.A.; Bayer, C.; Mielniczuk, J.; Dieckow, J.; Dos Santos, H.P.; Denardin, J.E.; Aita, C.; et al. Carbon accumulation at depth in Ferralsols under zero-till subtropical agriculture. Glob. Chang. Biol. 2010, 16, 784–795. [Google Scholar] [CrossRef]
- Schillinger, W.F. Tillage Method and Sowing Rate Relations for Dryland Spring Wheat, Barley, and Oat. Crop Sci. 2005, 45, 2636–2643. [Google Scholar] [CrossRef]









| Implement | Type of Tools | Weight (kg) | Working Width (cm) | Working Depth (cm) |
|---|---|---|---|---|
| Mounted Disc plow ARHK-3 | 3 discs of 0.711 m diameter | 542 | 80 | 20 |
| Mounted Chisel plow JD 610 | 8 tines “C” type shank | 618 | 220 | 16 |
| Mounted Disc harrow RI 2024 | 20 discs of 0.609 m diameter | 674 | 225 | 12 |
| Mounted Seeder Gaspardo SC Maria | Disc coulter furrow opener | 735 | 250 | 5 |
| Year | Tillage System | Depth in the Soil Profile (cm) | |||
|---|---|---|---|---|---|
| 0 to 5 | 5 to 10 | 10 to 15 | 15 to 20 | ||
| Bulk Density (g cm−3) | |||||
| 2013 | NT | 1.28 (0.04) a | 1.29 (0.02) a | 1.33 (0.02) a | 1.31 (0.04) a |
| VT | 1.24 (0.03) a | 1.25 (0.06) a | 1.27 (0.04) a | 1.26 (0.05) a | |
| CT | 1.28 (0.03) a | 1.31 (0.02) a | 1.32 (0.03) a | 1.27 (0.04) a | |
| 2014 | NT | 1.43 (0.04) a | 1.35 (0.05) a | 1.36 (0.07) a | 1.41 (0.03) a |
| VT | 1.34 (0.03) a | 1.38 (0.03) a | 1.36 (0.04) a | 1.39 (0.03) a | |
| CT | 1.36 (0.05) a | 1.31 (0.04) a | 1.38 (0.07) a | 1.36 (0.08) a | |
| 2015 | NT | 1.33 (0.03) a | 1.37 (0.04) a | 1.39 (0.02) a | 1.39 (0.03) a |
| VT | 1.36 (0.06) a | 1.35 (0.04) a | 1.41 (0.03) a | 1.42 (0.06) a | |
| CT | 1.36 (0.04) a | 1.44 (0.05) a | 1.36 (0.04) a | 1.33 (0.03) a | |
| 2016 | NT | 1.26 (0.02) a | 1.22 (0.05) a | 1.22 (0.03) a | 1.22 (0.04) a |
| VT | 1.26 (0.04) a | 1.24 (0.05) a | 1.23 (0.04) a | 1.23 (0.02) a | |
| CT | 1.21 (0.04) a | 1.21 (0.06) a | 1.21 (0.05) a | 1.20 (0.04) a | |
© 2019 by the authors. Licensee MDPI, Basel, Switzerland. This article is an open access article distributed under the terms and conditions of the Creative Commons Attribution (CC BY) license (http://creativecommons.org/licenses/by/4.0/).
Share and Cite
Ordoñez-Morales, K.D.; Cadena-Zapata, M.; Zermeño-González, A.; Campos-Magaña, S. Effect of Tillage Systems on Physical Properties of a Clay Loam Soil under Oats. Agriculture 2019, 9, 62. https://doi.org/10.3390/agriculture9030062
Ordoñez-Morales KD, Cadena-Zapata M, Zermeño-González A, Campos-Magaña S. Effect of Tillage Systems on Physical Properties of a Clay Loam Soil under Oats. Agriculture. 2019; 9(3):62. https://doi.org/10.3390/agriculture9030062
Chicago/Turabian StyleOrdoñez-Morales, Karen Denisse, Martin Cadena-Zapata, Alejandro Zermeño-González, and Santos Campos-Magaña. 2019. "Effect of Tillage Systems on Physical Properties of a Clay Loam Soil under Oats" Agriculture 9, no. 3: 62. https://doi.org/10.3390/agriculture9030062
APA StyleOrdoñez-Morales, K. D., Cadena-Zapata, M., Zermeño-González, A., & Campos-Magaña, S. (2019). Effect of Tillage Systems on Physical Properties of a Clay Loam Soil under Oats. Agriculture, 9(3), 62. https://doi.org/10.3390/agriculture9030062
