Soil Water Infiltration Model for Sprinkler Irrigation Control Strategy: A Case for Tea Plantation in Yangtze River Region
Abstract
1. Introduction
2. Materials and Methods
2.1. Materials
2.2. Methods
2.2.1. Sensor Layout
2.2.2. Characteristics of Soil Water Infiltration
2.2.3. Infiltration Model Validation Experiments
3. Results and Discussion
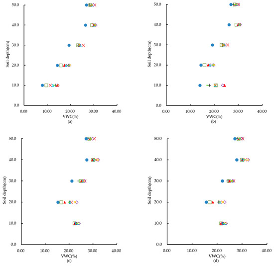
3.1. VWC at Different Slope Gradients and Water Application Rates
3.2. Effect of Water Application Rate and Slope Gradient on the Infiltration Depth and Rate
3.3. The Reliability of Infiltration Model Testing
4. Discussion
5. Conclusions
Author Contributions
Funding
Acknowledgments
Conflicts of Interest
References
- Ding, Y.; Wang, W.; Song, R.; Shao, Q.; Jiao, X.; Xing, W. Modeling spatial and temporal variability of the impact of climate change on rice irrigation water requirements in the middle and lower reaches of the Yangtze River, China. Agric. Water Manag. 2017, 193, 89–101. [Google Scholar] [CrossRef]
- Song, S.; Xu, Y.P.; Zhang, J.X.; Li, G.; Wang, Y.F. The long-term water level dynamics during urbanization in plain catchment in Yangtze River Delta. Agric. Water Manag. 2016, 174, 93–102. [Google Scholar] [CrossRef]
- Maritim, T.K.; Kamunya, S.M.; Mireji, P.; Mwendia, C.; Muoki, R.C.; Cheruiyot, E.K.; Wachira, F.N. Physiological and biochemical response of tea [Camellia sinensis (L.) O. Kuntze] to water-deficit stress. J. Hortic. Sci. Biotechnol. 2015, 90, 395–400. [Google Scholar] [CrossRef]
- Netto, L.A.; Jayaram, K.M.; Puthur, J.T. Clonal variation of tea [Camellia sinensis (L.) O. Kuntze] in countering water deficiency. Physiol. Mol. Biol. Plants Int. J. Funct. Plant Biol. 2010, 16, 359–367. [Google Scholar] [CrossRef] [PubMed]
- Chakraborty, U.; Dutta, S.; Chakraborty, B. Drought induced biochemical changes in young tea leaves. Indian J. Plant Physiol. India 2001, 6, 103–106. [Google Scholar]
- Kigalu, J.M.; Kimambo, E.I.; Msite, I.; Gembe, M. Drip irrigation of tea (Camellia sinensis L.): 1. Yield and crop water productivity responses to irrigation. Agric. Water Manag. 2008, 95, 1253–1260. [Google Scholar] [CrossRef]
- Kumar, R.; Bisen, J.S.; Choubey, M.; Singh, M.; Bera, B. Influence of Changes Weather Conditions on Physiological and Biochemical Characteristics of Darjeeling Tea (Camellia sinensis L.). Glob. J. Biol. Agric. Health. Sci. 2016, 5, 55–60. [Google Scholar]
- Lin, S.K.; Lin, J.; Liu, Q.L.; Ai, Y.F.; Ke, Y.Q.; Chen, C.; Zhang, Z.Y.; He, H. Time-course of photosynthesis and non-structural carbon compounds in the leaves of tea plants (Camellia sinensis L.) in response to deficit irrigation. Agric. Water Manag. 2014, 144, 98–106. [Google Scholar] [CrossRef]
- Saretta, E.; de Camargo, A.P.; Botrel, T.A.; Frizzone, J.A.; Koech, R.; Molle, B. Test methods for characterising the water distribution from irrigation sprinklers: Design, evaluation and uncertainty analysis of an automated system. Biosyst. Eng. 2018, 169, 42–56. [Google Scholar] [CrossRef]
- Ratliff, L.F.; Ritchie, J.T.; Cassel, D.K. Field-Measured Limits of Soil Water Availability as Related to Laboratory-Measured Properties 1. Soil Sci. Soc. Am. J. 1983, 47, 770–775. [Google Scholar] [CrossRef]
- Thompson, R.B.; Gallardo, M.; Valdez, L.C.; Fernández, M.D. Using plant water status to define threshold values for irrigation management of vegetable crops using soil moisture sensors. Agric. Water Manag. 2007, 88, 147–158. [Google Scholar] [CrossRef]
- Wei, Y.; Wang, Z.; Wang, T.; Liu, K. Design of real time soil moisture monitoring and precision irrigation systems. Trans. Chin. Soc. Agric. Eng. 2013, 29, 80–86. [Google Scholar]
- Liu, Y.-Y.; Wang, A.-Y.; An, Y.-N.; Lian, P.-Y.; Wu, D.-D.; Zhu, J.-J.; Meinzer, F.C.; Hao, G.-Y. Hydraulics play an important role in causing low growth rate and dieback of aging Pinus sylvestris var. mongolica trees in plantations of Northeast China. Plant Cell Environ. 2018, 41, 1500–1511. [Google Scholar] [CrossRef] [PubMed]
- Vaz, C.M.P.; Jones, S.; Meding, M.; Tuller, M. Evaluation of Standard Calibration Functions for Eight Electromagnetic Soil Moisture Sensors. Vadose Zone J. 2013, 12. [Google Scholar] [CrossRef]
- Al-Ghobari, H.M.; El-Marazky, M.S.; Dewidar, A.Z.; Mattar, M.A. Prediction of wind drift and evaporation losses from sprinkler irrigation using neural network and multiple regression techniques. Agric. Water Manag. 2018, 195, 211–221. [Google Scholar] [CrossRef]
- AL-Kayssi, A.W.; Mustafa, S.H. Modeling gypsifereous soil infiltration rate under different sprinkler application rates and successive irrigation events. Agric. Water Manag. 2016, 163, 66–74. [Google Scholar] [CrossRef]
- Diamond, J.; Shanley, T. Infiltration rate assessment of some major soils. Ir. Geogr. 2003, 36, 32–46. [Google Scholar] [CrossRef]
- Fu, B.; Wang, Y.; Zhu, B.; Wang, D.; Wang, X.; Wang, Y.; Ren, Y. Experimental study on rainfall infiltration in sloping farmland of purple soil. Trans. Chin. Soc. Agric. Eng. 2008, 2008. [Google Scholar] [CrossRef]
- Liu, Z.; Li, P.; Hu, Y.; Wang, J. Wetting patterns and water distributions in cultivation media under drip irrigation. Comput. Electron. Agric. 2015, 112, 200–208. [Google Scholar] [CrossRef]
- Mu, W.; Yu, F.; Li, C.; Xie, Y.; Tian, J.; Liu, J.; Zhao, N.; Mu, W.; Yu, F.; Li, C.; et al. Effects of Rainfall Intensity and Slope Gradient on Runoff and Soil Moisture Content on Different Growing Stages of Spring Maize. Water 2015, 7, 2990–3008. [Google Scholar] [CrossRef]
- Zakwan, M.; Muzzammil, M.; Alam, J. Application of spreadsheet to estimate infiltration parameters. Perspect. Sci. 2016, 8, 702–704. [Google Scholar] [CrossRef]
- Smith, R.E.; Parlange, J.-Y. A parameter-efficient hydrologic infiltration model. Water Resour. Res. 1978, 14, 533–538. [Google Scholar] [CrossRef]
- Parhi, P.K.; Mishra, S.K.; Singh, R. A Modification to Kostiakov and Modified Kostiakov Infiltration Models. Water Resour. Manag. 2007, 21, 1973–1989. [Google Scholar] [CrossRef]
- Mazloom, H.; Foladmand, H. Evaluation and determination of the coefficients of infiltration models in Marvdasht region, Fars province. Int. J. Adv. Biol. Biomed. Res. 2013, 1, 822–829. [Google Scholar]
- Wilson, R.L. Comparing Infiltration Models to Estimate Infiltration Potential at Henry V Events. Bachelor’s Thesis, Portland State University, Portland, OR, USA, 2017. [Google Scholar]
- Feng, H.; Deng, L.S.; Zhang, C.L.; Guo, Y.B. Effect of Ground Slope on Water Infiltration of Drip Irrigation. J. Irrig. Drain. 2010, 29, 14–15. [Google Scholar]
- Pengfei, L.; Yongguang, H.; Feng, J.; Sheng, W. Influence of sloping tea fields on soil moisture migration. IFAC Pap. 2018, 51, 565–569. [Google Scholar] [CrossRef]
- Zhao, P.; Shao, M.; Melegy, A.A. Soil Water Distribution and Movement in Layered Soils of a Dam Farmland. Water Resour. Manag. 2010, 24, 3871–3883. [Google Scholar] [CrossRef]
- Jha, S.K.; Gao, Y.; Liu, H.; Huang, Z.; Wang, G.; Liang, Y.; Duan, A. Root development and water uptake in winter wheat under different irrigation methods and scheduling for North China. Agric. Water Manag. 2017, 182, 139–150. [Google Scholar] [CrossRef]
- Yan, Y.; Dai, Q.; Yuan, Y.; Peng, X.; Zhao, L.; Yang, J. Effects of rainfall intensity on runoff and sediment yields on bare slopes in a karst area, SW China. Geoderma 2018, 330, 30–40. [Google Scholar] [CrossRef]
- Wang, Y.; Zhang, X.; Chen, J.; Chen, A.; Wang, L.; Guo, X.; Niu, Y.; Liu, S.; Mi, G.; Gao, Q. Reducing basal nitrogen rate to improve maize seedling growth, water and nitrogen use efficiencies under drought stress by optimizing root morphology and distribution. Agric. Water Manag. 2019, 212, 328–337. [Google Scholar] [CrossRef]
- Wang, X.; Zhou, Y.; Wang, Y.; Wei, X.; Guo, X.; Zhu, D. Soil water characteristic of a dense jujube plantation in the semi-arid hilly Regions of the Loess Plateau in China. J. Hydraul. Eng. 2015, 46, 263–270. [Google Scholar]
- Li, N.; Kang, Y.; Li, X.; Wan, S.; Xu, J. Effect of the micro-sprinkler irrigation method with treated effluent on soil physical and chemical properties in sea reclamation land. Agric. Water Manag. 2019, 213, 222–230. [Google Scholar] [CrossRef]
- Li, Z.; Xu, X.; Pan, G.; Smith, P.; Cheng, K. Irrigation regime affected SOC content rather than plow layer thickness of rice paddies: A county level survey from a river basin in lower Yangtze valley, China. Agric. Water Manag. 2016, 172, 31–39. [Google Scholar] [CrossRef]
- Zhang, F.; Niu, X.; Zhang, Y.; Xie, R.; Liu, X.; Li, S.; Gao, S. Studies on the Root Characteristics of Maize Varieties of Different Eras. J. Integr. Agric. 2013, 12, 426–435. [Google Scholar] [CrossRef]
- Liu, X.; Wang, Y.; Ma, L.; Liang, Y. Relationship between Deep Soil Water Vertical Variation and Root Distribution in Dense Jujube Plantation. Trans. Chin. Soc. Agric. Mach. 2013, 44, 90–97. [Google Scholar]
- Chu, R.; Li, M.; Shen, S.; Islam, A.R.M.d.T.; Cao, W.; Tao, S.; Gao, P. Changes in Reference Evapotranspiration and Its Contributing Factors in Jiangsu, a Major Economic and Agricultural Province of Eastern China. Water 2017, 9, 486. [Google Scholar] [CrossRef]
- FAO. World Reference Base for Soil Resources 2014: International Soil Classification System for Naming Soils and Creating Legends for Soil Maps; FAO: Rome, Italy, 2014. [Google Scholar]
- Cui, S.F.; Pan, Y.H.; Wu, Q.Y.; Zhang, Z.H.; Zhang, B.X. Simulation of Runoff for Varying Mulch Coverage on a Sloped Surface. Appl. Mech. Mater. 2013, 409, 339–343. [Google Scholar] [CrossRef]
- Marshall, S.J. Hydrology. In Reference Module in Earth Systems and Environmental Sciences; Elsevier: Amsterdam, The Netherlands, 2013. [Google Scholar]
- Ge, S.; Gorelick, S.M. Hydrology, Floods and Droughts|Groundwater and Surface Water. In Encyclopedia of Atmospheric Sciences; Elsevier: Amsterdam, The Netherlands, 2015. [Google Scholar]
- Lehrsch, G.A.; Kincaid, D.C. Sprinkler Irrigation Effects on Infiltration and Near-Surface Unsaturated Hydraulic Conductivity. Trans. ASABE 2010, 53, 397–404. [Google Scholar] [CrossRef]
- Thompson, A.L.; James, L.G. Water droplet impact and its effect on infiltration. Trans. Am. Soc. Agric. Eng. 1985, 28, 1506–1510. [Google Scholar] [CrossRef]
- Zhu, X.; Yuan, S.; Liu, J. Effect of Sprinkler Head Geometrical Parameters on Hydraulic Performance of Fluidic Sprinkler. J. Irrig. Drain. Eng. 2012, 138, 1019–1026. [Google Scholar] [CrossRef]
- Mohammed, D.; Kohl, R.A. Infiltration response to kinetic energy. Trans. Am. Soc. Agric. Eng. 1987, 30, 108–111. [Google Scholar] [CrossRef]







| No. | Operating Pressure (MPa) | Nozzle Diameter (mm) | Flow Rate (m3·h−1) | Pattern Radius (m) | Rotation Cycle (s) |
|---|---|---|---|---|---|
| 1 | 0.3 | 3.0 | 0.4 | 7.0 | 18.0 |
| 2 | 0.3 | 3.5 | 0.6 | 7.0 | 18.0 |
| 3 | 0.3 | 4.0 | 0.8 | 7.0 | 18.0 |
| Sampling Depth (cm) | Size Composition (%) | Bulk Density (g·cm−3) | Saturated VWC (%) | Soil Texture | ||
|---|---|---|---|---|---|---|
| <0.002 mm | 0.002–0.02 mm | 0.02–2 mm | ||||
| 0–10.0 | 0 | 37.6 | 62.4 | 1.2 | 47.0 | Sandy loam |
| 10.0–20.0 | 0 | 29.3 | 70.7 | 1.4 | 47.0 | |
| 20.0–30.0 | 0 | 39.7 | 60.3 | 1.4 | 49.0 | |
| 30.0–40.0 | 0 | 26.8 | 73.2 | 1.5 | 48.0 | |
| 40.0–50.0 | 4.4 | 42.8 | 52.8 | 1.7 | 44.0 | Loam |
| 50.0–80.0 | 8.6 | 40.6 | 50.8 | 1.6 | 43.0 | |
| Treatment | Slope Gradient (°) | Water Application Rate (mm·h−1) |
|---|---|---|
| T1 | 0 | 4.0 |
| T2 | 0 | 6.0 |
| T3 | 0 | 8.0 |
| T4 | 5.0 | 4.0 |
| T5 | 5.0 | 6.0 |
| T6 | 5.0 | 8.0 |
| T7 | 15.0 | 4.0 |
| T8 | 15.0 | 6.0 |
| T9 | 15.0 | 8.0 |
| Treatment | Slope Gradient (°) | Water Application Rate (mm·h−1) | Infiltration Depth (cm) | Ratio of Stopping Irrigation Depth to Infiltration Depth (%) |
|---|---|---|---|---|
| T1 | 0 | 4.0 | 40.9 | 48.9 |
| T2 | 0 | 6.0 | 34.9 | 57.4 |
| T3 | 0 | 8.0 | 32.5 | 61.6 |
| T4 | 5.0 | 4.0 | 42.6 | 46.9 |
| T5 | 5.0 | 6.0 | 41.3 | 48.4 |
| T6 | 5.0 | 8.0 | 35.8 | 55.9 |
| T7 | 15.0 | 4.0 | 43.2 | 46.3 |
| T8 | 15.0 | 6.0 | 42.5 | 47.0 |
| T9 | 15.0 | 8.0 | 37.3 | 53.6 |
© 2019 by the authors. Licensee MDPI, Basel, Switzerland. This article is an open access article distributed under the terms and conditions of the Creative Commons Attribution (CC BY) license (http://creativecommons.org/licenses/by/4.0/).
Share and Cite
Lu, Y.-z.; Liu, P.-f.; Montazar, A.; Paw U, K.-T.; Hu, Y.-g. Soil Water Infiltration Model for Sprinkler Irrigation Control Strategy: A Case for Tea Plantation in Yangtze River Region. Agriculture 2019, 9, 206. https://doi.org/10.3390/agriculture9100206
Lu Y-z, Liu P-f, Montazar A, Paw U K-T, Hu Y-g. Soil Water Infiltration Model for Sprinkler Irrigation Control Strategy: A Case for Tea Plantation in Yangtze River Region. Agriculture. 2019; 9(10):206. https://doi.org/10.3390/agriculture9100206
Chicago/Turabian StyleLu, Yong-zong, Peng-fei Liu, Aliasghar Montazar, Kyaw-Tha Paw U, and Yong-guang Hu. 2019. "Soil Water Infiltration Model for Sprinkler Irrigation Control Strategy: A Case for Tea Plantation in Yangtze River Region" Agriculture 9, no. 10: 206. https://doi.org/10.3390/agriculture9100206
APA StyleLu, Y.-z., Liu, P.-f., Montazar, A., Paw U, K.-T., & Hu, Y.-g. (2019). Soil Water Infiltration Model for Sprinkler Irrigation Control Strategy: A Case for Tea Plantation in Yangtze River Region. Agriculture, 9(10), 206. https://doi.org/10.3390/agriculture9100206

