Evaluation of Biofertilizers in Irrigated Rice: Effects on Grain Yield at Different Fertilizer Rates
Abstract
:1. Introduction
2. Materials and Methods
2.1. Site Description
| Site | UPLB | IRRI | ||||
|---|---|---|---|---|---|---|
| Soil type | Anthraquic Gleysols | Anthraquic Gleysols | ||||
| 2008/2009 DS | 2009 WS | 2010 WS | 2010/2011 DS | |||
| pH (1:1) | - | 6.9 | 6.8 | 6.9 | 6.5 | |
| Total organic C | g kg−1 | 18.6 | 15.9 | 16.2 | 15.0 | |
| Total soil N | g kg−1 | 2.7 | 1.6 | 1.5 | 1.5 | |
| Olsen P | mg kg−1 | 55 | 40 | 35 | 30 | |
| Avail K | cmol kg−1 | - | - | 1.26 | 1.32 | |
| Exch K | cmol kg−1 | 1.50 | 1.06 | 1.50 | 1.50 | |
| Exch Ca | cmol kg−1 | - | - | 18.9 | 18.1 | |
| Exch Mg | cmol kg−1 | - | - | 13.5 | 13.3 | |
| Exch Na | cmol kg−1 | - | - | 1.01 | 1.00 | |
| CEC | cmol kg−1 | - | - | 33.6 | 33.0 | |
| Clay | g kg−1 | - | - | 441 | 445 | |
| Silt | g kg−1 | - | - | 332 | 355 | |
| Sand | g kg−1 | - | - | 227 | 200 | |
2.2. Experimental Treatments and Design
| Fertilizer Rate | Unit | Dry Season | Wet Season |
|---|---|---|---|
| 0% RR | N-P2O5-K2O in kg·ha−1 | 0-0-0 | 0-0-0 |
| 25% RR | N-P2O5-K2O in kg·ha−1 | 30-15-15 | 22.5-7.5-7.5 |
| 50% RR | N-P2O5-K2O in kg·ha−1 | 60-30-30 | 45-15-15 |
| 100% RR | N-P2O5-K2O in kg·ha−1 | 120-60-60 | 90-30-30 |
| or | |||
| 0% RR | N-P-K in kg·ha−1 | 0-0-0 | 0-0-0 |
| 25% RR | N-P-K in kg·ha−1 | 30-7-13 | 22.5-3-6 |
| 50% RR | N-P-K in kg·ha−1 | 60-13-25 | 45-7-13 |
| 100% RR | N-P-K in kg·ha−1 | 120-26-50 | 90-13-25 |
| Product ID | BN | BG | BS |
|---|---|---|---|
| Product name | Bio-N® | BioGroe® | BioSpark® |
| Active ingredient | Azospirillum lipoferum, A. brasilense | Plant growth-promoting rhizobacteria (not defined) | Trichoderma parceramosum, T. pseudokoningii, and UV-irradiated strain of T. harzianum |
| Active organism | Bacteria | Bacteria | Fungus |
| Product type | Dry powder in200-g pack | Dry powder in100-g pack | Dry powder in250-g pack |
| Carrier medium | Sterile charcoal/soil mixture | Sterile charcoal/soil mixture | Dry organic medium (rice hull) |
| Producer declared cell number | 108 cfu g−1 | - | 109 cfu g−1 |
| Shelf life | 3 months | 6 months | 24 months |
| Product amount recommended and used (for 1 ha) | 1000 g 40 kg−1 seed | 400 g 40 kg−1 seed | 200 g 40 kg−1 seed |
| 2011 biofertilizer costs needed for 40 kg seed | US$6.82 | US$3.64 | US$6.36 |
| Elemental contents * | |||
| N % | 0.13 | 0.34 | 1.27 |
| P % | 0.091 | 0.063 | 0.687 |
| K % | 0.22 | 0.24 | 0.72 |
| Supplier | BioTech UPLB | BioTech UPLB | BioSpark Corp. |
2.3. Crop Establishment and Management
2.4. Sampling and Statistical Analysis
3. Results and Discussion

| Season | Biofertilizer treatment *** | Inorganic fertilizer treatment ** | ||||
|---|---|---|---|---|---|---|
| 0% RR | 25% RR | 50% RR | 100% RR | Mean * | ||
| Grain yield (kg·ha−1) | ||||||
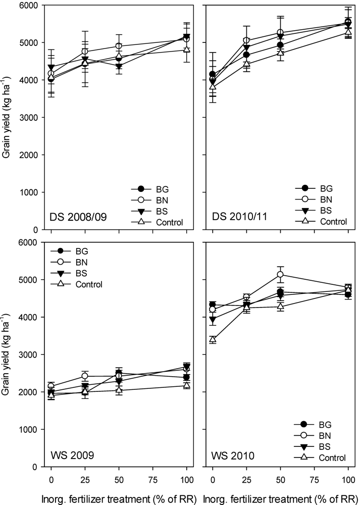
| 2008/09 DS | BG | 4016 | 4421 | 4569 | 5134 | 4508 a |
| BN | 4163 | 4753 | 4900 | 5081 | 4683 a | |
| BS | 4351 | 4569 | 4375 | 5173 | 4610 a | |
| Control | 4062 | 4440 | 4630 | 4799 | 4534 a | |
| Mean * | 4158 c | 4548 b | 4617 b | 5034 a | ||
| 2009 WS | BG | 1963 | 1975 | 2502 | 2383 | 2206 bc |
| BN | 2149 | 2417 | 2420 | 2604 | 2398 a | |
| BS | 2005 | 2179 | 2287 | 2674 | 2286 ab | |
| Control | 1902 | 2000 | 2038 | 2165 | 2026 c | |
| Mean * | 2005 c | 2143 bc | 2038 ab | 2456 a | ||
| 2010 WS | BG | 4326 | 4303 | 4670 | 4596 | 4482 ab |
| BN | 4197 | 4529 | 5131 | 4794 | 4663 a | |
| BS | 3952 | 4336 | 4578 | 4732 | 4399 bc | |
| Control | 3389 | 4245 | 4274 | 4716 | 4219 c | |
| Mean * | 3965 c | 4353 b | 4659 a | 4710 a | ||
| 2010/11 DS | BG | 4145 | 4665 | 4926 | 5556 | 4825 a |
| BN | 4009 | 5049 | 5262 | 5519 | 4960 a | |
| BS | 3955 | 4876 | 5175 | 5492 | 4861 a | |
| Control | 3801 | 4420 | 4707 | 5265 | 4548 b | |
| Mean * | 3977 c | 4751 b | 5014 b | 5458 a | ||
| Season | Biofertilizer treatment *** | Inorganic fertilizer treatment ** | ||||
|---|---|---|---|---|---|---|
| 0% RR | 25% RR | 50% RR | 100% RR | Mean | ||
| Relative yield increase (%) * | ||||||
| 2008/09 DS | BG | -1 | 0 | -1 | 7 | 1 |
| BN | 2 | 7 | 6 | 6 | 5 | |
| BS | 7 | 3 | -6 | 8 | 3 | |
| Control | - | - | - | - | - | |
| 2009 WS | BG | 3 | -1 | 23 | 10 | 9 |
| BN | 13 | 21 | 19 | 20 | 18 | |
| BS | 5 | 9 | 12 | 24 | 13 | |
| Control | - | - | - | - | - | |
| 2010 WS | BG | 28 | 1 | 9 | -3 | 8 |
| BN | 24 | 7 | 20 | 2 | 12 | |
| BS | 17 | 2 | 7 | 0 | 6 | |
| Control | - | - | - | - | - | |
| 2010/11 DS | BG | 9 | 6 | 5 | 6 | 6 |
| BN | 5 | 14 | 12 | 5 | 9 | |
| BS | 4 | 10 | 10 | 4 | 7 | |
| Control | - | - | - | - | - | |
| Season | Biofertilizer treatment ** | Inorganic fertilizer treatment * | |||
|---|---|---|---|---|---|
| 0% RR | 25% RR | 50% RR | 100% RR | ||
| Reference grain yield (kg·ha−1) | AEN *** (kg grain yield increase kg−1 N applied) | ||||
| 2008/09 DS | BG | 12 | 8 | 9 | |
| BN | 23 | 14 | 8 | ||
| BS | 17 | 5 | 9 | ||
| Control | 4062 | 13 | 9 | 6 | |
| 2009 WS | BG | 3 | 13 | 5 | |
| BN | 23 | 12 | 8 | ||
| BS | 12 | 9 | 9 | ||
| Control | 1902 | 4 | 3 | 3 | |
| 2010 WS | BG | 41 | 28 | 13 | |
| BN | 51 | 39 | 16 | ||
| BS | 42 | 26 | 15 | ||
| Control | 3389 | 38 | 20 | 15 | |
| 2010/11 DS | BG | 29 | 19 | 15 | |
| BN | 42 | 24 | 14 | ||
| BS | 36 | 23 | 14 | ||
| Control | 3801 | 21 | 15 | 12 | |
4. Summary and Conclusions
References
- Vessey, J.K. Plant growth promoting rhizobacteria as biofertilizers. Plant Soil 2003, 255, 571–586. [Google Scholar]
- Davidson, J. Plant beneficial bacteria. Biotechnol. 1988, 6, 282–286. [Google Scholar]
- Dela Cruz, R.E. State of the art in biotechnology: Crop production. In Biotechnology for Agriculture, Forestry and the Environment; PCARRD: Los Baños, Laguna, Philippines, 1993. [Google Scholar]
- Bashan, Y.; Levanony, H. Current status of Azospirillum inoculation technology: Azospirillum as a challenge for agriculture. Can. J. Microbiol. 1990, 36, 591–608. [Google Scholar] [CrossRef]
- Singh, S.; Rekha, P.D.; Arun, A.B.; Hameed, A.; Singh, S.; Shen, F-T.; Young, C-C. Glutamate wastewater as a culture medium for Azospirillum rugosum production and its impact on plant growth. Biol. Fert. Soils 2011, 47, 419–426. [Google Scholar] [CrossRef]
- Razie, F.; Anas, I. Effect of Azotobacter and Azospirillum on growth and yield of rice grown on tidal swamp rice fields in south Kalimantan. Jurnal Tanah dan Lingkungan 2008, 10, 41–45. [Google Scholar]
- Kaneko, T.; Minamisawa, K.; Isawa, T.; Nakatsukasa, H.; Mitsui, H.; Kawaharada, Y.; Nakamura, Y.; Watanabe, A.; Kawashima, K.; Ono, A.; et al. Complete genomic structure of the cultivated rice endophyte Azospirillum sp. B510. DNA Res. 2010, 17, 37–50. [Google Scholar] [CrossRef]
- Sison, M.L.Q. Available biotechnologies and products. Presented at the workshop on promoting popular awareness and appreciation of biotechnolog. Cagayan de Oro City, Philippines, 16 February 1999.
- Giller, K.E.; Merckx, R. Exploring the boundaries of N2-fixation in cereals and grasses: An hypothetical and experimental framework. Symbiosis 2003, 35, 3–17. [Google Scholar]
- Ereful, N.C.; Paterno, E.S. Assessment of cytokinin production in some plant growth-promoting bacteria. Asia Life Sci. 2007, 16, 137–152. [Google Scholar]
- Okon, Y.; Labandera-Gonzales, C.A. Agronomic applications of Azospirillum: An evaluation of 20 years worldwide field inoculation. Soil Biol. Biochem. 1994, 26, 1591–1601. [Google Scholar] [CrossRef]
- Fernando, L.M.; Merca, F.E.; Paterno, E.S. Isolation and partial structure elucidation of gibberellin produced by plant growth promoting bacteria (PGPB) and its effect on the growth of hybrid rice (Oryza sativa L.). Philipp. J. Crop Sci. 2010, 35, 12–22. [Google Scholar]
- Difuntorum-Tamabalo, D.; Paterno, E.S.; Barraquio, W.; Duka, I.M. Identification of an indole-3-acetic acid-producing plant growth-promoting bacterium (PGPB) isolated from the roots of Centrosema pubescens Benth. Philipp. Agr. Sci. 2006, 89, 149–156. [Google Scholar]
- Lindsey, D.L.; Baker, R. Effect of certain fungi on dwarf tomatoes grown under gnotobiotic conditions. Phytopathology 1967, 57, 1262–1263. [Google Scholar]
- Chang, Y-C.; Chang, Y-C.; Baker, R.; Kleifeld, O.; Chet, I. Increased growth of plants in the presence of the biological control agent Trichoderma harzianum. Plant Diseases 1986, 70, 145–148. [Google Scholar] [CrossRef]
- Harman, G.E. Myths and dogmas of biocontrol. Changes in perceptions derived from research on Trichoderma harzianum T-22. Plant Diseases 2000, 84, 377–393. [Google Scholar] [CrossRef]
- Yedidia, I.; Srivastva, A.K.; Kapulnik, Y.; Chet, I. Effect of Trichoderma harzianum on microelement concentrations and increased growth of cucumber plants. Plant Soil 2001, 235, 235–242. [Google Scholar] [CrossRef]
- Harman, G.E. Overview of mechanisms and uses of Trichoderma spp. Phytopathology 2006, 96, 190–194. [Google Scholar] [CrossRef]
- Weindling, R. Trichoderma lignorum as a parasite of other soil fungi. Phytopathology 1932, 22, 837–845. [Google Scholar]
- Shoresh, M.; Harman, G.E. The molecular basis of shoot responses of maize seedlings to Trichoderma harzianum T22 inoculation of the root: A proteomic approach. Plant Physiol. 2008, 147, 2147–2163. [Google Scholar] [CrossRef]
- Cuevas, V.C.; Sinohin, A.M.; Orajay, J.I. Performance of selected Philippine species of Trichoderma as biocontrol agents of damping off pathogens and as growth enhancer of vegetables in farmer’s field. Philipp. Agr. Sci. 2005, 88, 63–71. [Google Scholar]
- Cuevas, V.C. Rapid composting for intensive rice land use. In Innovation for Rural Development; SEAMEO-SEARCA: Los Baños, Philippines, 1991; Volume 1, pp. 5–10. [Google Scholar]
- Goldstein, A.H.; Liu, S.T. Molecular cloning and regulation of a mineral phosphate solubilizing gene from Erwinia herbicola. Nat. Biotech. 1987, 5, 72–74. [Google Scholar] [CrossRef]
- Rajabamamohan, R.V.; Nayak, D.N.; Charyulu, P.B.B.N.; Adhy, T.K. Yield response of rice to root inoculation with Azospirillum. J. Agr. Sci. 1983, 100, 689–691. [Google Scholar] [CrossRef]
- Isawa, T.; Yasuda, M.; Awazaki, H.; Minamisawa, K.; Shinozaki, S.; Nakashita, H. Azospirillum sp. strain B510 enhances rice growth and yield. Microbes Environ. 2010, 25, 58–61. [Google Scholar] [CrossRef]
- World Reference Base for Soil Resources; Food and Agriculture Organization of the United Nations: Rome, Italy, 2006; p. 128.
- Fairhurst, T.H.; Witt, C.; Buresh, R.J.; Dobermann, A. A Practical Guide to Nutrient Management, 2nd ed; International Rice Research Institute, International Plant Nutrition Institute, and the International Potash Institute: Singapore, 2007; p. 89. [Google Scholar]
- Paredes, J.C.; Go, I. Putting biofertilizers to good use. BioLife 2008, 5, 4–10. [Google Scholar]
- Cuevas, V.C. Soil inoculation with Trichoderma pseudokoningii rifai enhances yield of rice. Philip. J. Sci. 2006, 135, 31–37. [Google Scholar]
- Gomez, K.A.; Gomez, A.A. Statistical Procedures for Agricultural Research, 2nd ed; John Wiley & Sons: New York, NY, USA, 1984; p. 680. [Google Scholar]
- Reddy, L.N.; Giller, K.E. How effective are effective micro-organisms? LEISA Magazine 2008, 24, 18–19. [Google Scholar]
- Haefele, S.M.; Sipaseuth, N.; Phengsouvanna, V.; Dounphady, K.; Vongsouthi, S. Agro-economic evaluation of fertilizer recommendations for rainfed lowland rice. Field Crop. Res. 2010, 119, 215–224. [Google Scholar]
- Witt, C.; Buresh, R.J.; Peng, S.; Balasubramanian, V.; Dobermann, A. Nutrient management. In Rice: A Practical Guide to Nutrient Management; Fairhurst, T.H., Witt, C., Buresh, R.J., Dobermann, A., Eds.; International Rice Research Institute, International Plant Nutrition Institute, and the International Potash Institute: Singapore, 2007; pp. 1–45. [Google Scholar]
- Harman, G.E. Microbial tools to improve crop performance and profitability and to control plant diseases. In Proceedings of International Symposium on Biological Control of Plant Diseases for the New Century—Mode of Action and Application Technology, Taichung City, Taiwan, 12–13 November 2001.
© 2012 by the authors; licensee MDPI, Basel, Switzerland. This article is an open-access article distributed under the terms and conditions of the Creative Commons Attribution license (http://creativecommons.org/licenses/by/3.0/).
Share and Cite
Banayo, N.P.M.; Cruz, P.C.S.; Aguilar, E.A.; Badayos, R.B.; Haefele, S.M. Evaluation of Biofertilizers in Irrigated Rice: Effects on Grain Yield at Different Fertilizer Rates. Agriculture 2012, 2, 73-86. https://doi.org/10.3390/agriculture2010073
Banayo NPM, Cruz PCS, Aguilar EA, Badayos RB, Haefele SM. Evaluation of Biofertilizers in Irrigated Rice: Effects on Grain Yield at Different Fertilizer Rates. Agriculture. 2012; 2(1):73-86. https://doi.org/10.3390/agriculture2010073
Chicago/Turabian StyleBanayo, Niño Paul Meynard, Pompe C. Sta. Cruz, Edna A. Aguilar, Rodrigo B. Badayos, and Stephan M. Haefele. 2012. "Evaluation of Biofertilizers in Irrigated Rice: Effects on Grain Yield at Different Fertilizer Rates" Agriculture 2, no. 1: 73-86. https://doi.org/10.3390/agriculture2010073
APA StyleBanayo, N. P. M., Cruz, P. C. S., Aguilar, E. A., Badayos, R. B., & Haefele, S. M. (2012). Evaluation of Biofertilizers in Irrigated Rice: Effects on Grain Yield at Different Fertilizer Rates. Agriculture, 2(1), 73-86. https://doi.org/10.3390/agriculture2010073
