Optimized Fermentation with Bacillus licheniformis on Flaxseed Cake Modulates Microbiota Toward Higher Propionate Production in Piglets
Abstract
1. Introduction
2. Materials and Methods
2.1. Chemicals
2.2. Plant Material and Microorganism
2.3. Fermentation Process
2.4. Microbial Enumeration
2.5. Fermentation Optimization Using Placket-Burman Design
2.6. Bacillus Enzymes Extraction and Activity
2.7. Free Amino Acids
2.8. Proximate Composition
2.9. Phytic Acid
2.10. Reducing Sugars
2.11. Water-Soluble Carbohydrates
3. In Vivo Pilot Experiment
3.1. Ethics Statement
3.2. Animals, Feeding and Management
3.3. Experimental Observations and Sample Collection
3.4. Blood Analysis
3.5. Microbiota Analysis by 16 s rRNA Sequencing
3.6. SCFAs Determination
4. Statistical Analysis
5. Results
5.1. In Vitro Experiment
5.1.1. Fermentation Optimization
5.1.2. Scale-Up Evaluation of Protease Activity and Viable Cell Counts
5.1.3. Chemical Composition Changes
5.1.4. Additional Bacillus Licheniformis Enzymatic Activities
5.2. In Vivo Evaluation of Fermented Diet on Weaned Piglets
5.2.1. Growth Performance
5.2.2. Hematological and Biochemical Profile
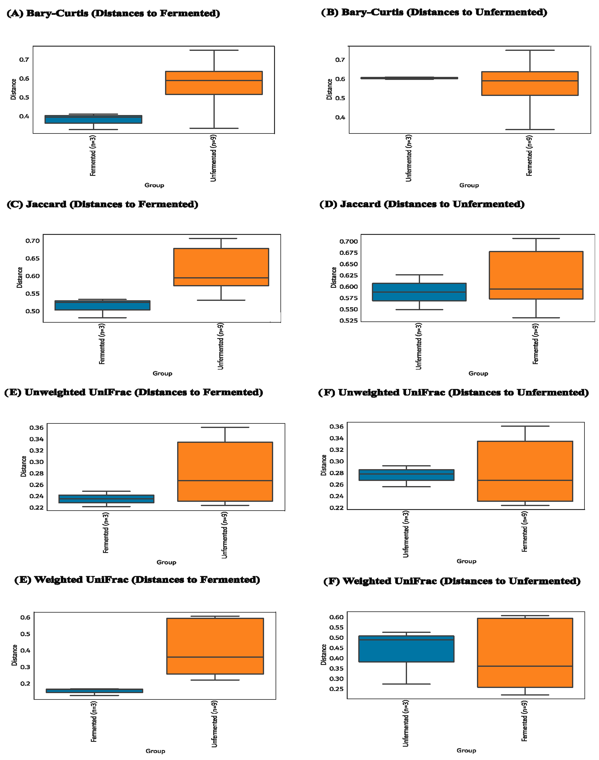
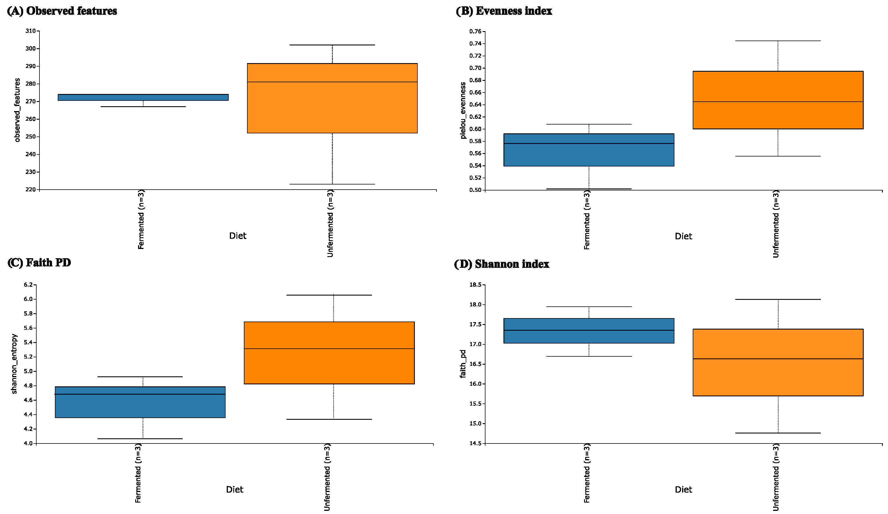
5.2.3. Fermented Flaxseed Cake Effects on Fecal Microbiota
5.2.4. Taxonomic Composition of Gut Microbiota
5.2.5. Differential Abundance Analysis of Gut Microbiota
5.2.6. Fecal SCFAs Analysis
6. Discussion
7. Conclusions
Author Contributions
Funding
Institutional Review Board Statement
Informed Consent Statement
Data Availability Statement
Conflicts of Interest
References
- Goyal, A.; Sharma, V.; Upadhyay, N.; Gill, S.; Sihag, M. Flax and flaxseed oil: An ancient medicine and modern functional food. J. Food Sci. Technol. 2014, 51, 1633–1653. [Google Scholar] [CrossRef] [PubMed]
- Czyż, K.; Sokoła-Wysoczańska, E.; Wyrostek, A.; Cholewińska, P. An Attempt to Enrich Pig Meat with Omega-3 Fatty Acids Using Linseed Oil Ethyl Ester Diet Supplement. Agriculture 2021, 11, 365. [Google Scholar] [CrossRef]
- Pramanik, J.; Kumar, A.; Prajapati, B. A review on flaxseeds: Nutritional profile, health benefits, value added products, and toxicity. eFood 2023, 4, e114. [Google Scholar] [CrossRef]
- Goyal, A.; Patel, A.; Sihag, M.K.; Shah, N.; Tanwar, B. Therapeutic Potential of Flaxseed. In Therapeutic, Probiotic, and Unconventional Foods; Academic Press: Cambridge, MA, USA, 2018; pp. 255–274. [Google Scholar] [CrossRef]
- Safdar, B.; Pang, Z.; Liu, X.; Jatoi, M.A.; Mehmood, A.; Rashid, M.T.; Ali, N.; Naveed, M. Flaxseed gum: Extraction, bioactive composition, structural characterization, and its potential antioxidant activity. J. Food Biochem. 2019, 43, e13014. [Google Scholar] [CrossRef]
- Nowak, W.; Jeziorek, M. The role of flaxseed in improving human health. Healthcare 2023, 11, 395. [Google Scholar] [CrossRef]
- Mayengbam, S.; Raposo, S.; Aliani, M.; House, J.D. A Vitamin B-6 Antagonist from Flaxseed Perturbs Amino Acid Metabolism in Moderately Vitamin B-6-Deficient Male Rats. J. Nutr. 2016, 146, 14–20. [Google Scholar] [CrossRef]
- Eastwood, L.; Kish, P.R.; Beaulieu, A.D.; Leterme, P. Nutritional value of flaxseed meal for swine and its effects on the fatty acid profile of the carcass. J. Anim. Sci. 2009, 87, 3607–3619. [Google Scholar] [CrossRef]
- Montoya, C.A.; Leterme, P. Validation of the net energy content of canola meal and full-fat canola seeds in growing pigs. Can. J. Anim. Sci. 2010, 90, 213–219. [Google Scholar] [CrossRef]
- Wei, X.; Tsai, T.; Howe, S.; Zhao, J. Weaning Induced Gut Dysfunction and Nutritional Interventions in Nursery Pigs: A Partial Review. Animals 2021, 11, 1279. [Google Scholar] [CrossRef]
- Tang, X.; Xiong, K.; Fang, R.; Li, M. Weaning stress and intestinal health of piglets: A review. Front. Immunol. 2022, 13, 1042778. [Google Scholar] [CrossRef]
- Li, Y.; Guo, Y.; Wen, Z.; Jiang, X.; Ma, X.; Han, X.; Yang, Y.; Yang, X. Weaning stress perturbs gut microbiome and its metabolic profile in piglets. Sci. Rep. 2018, 8, 18068. [Google Scholar] [CrossRef]
- Olukomaiya, O.; Fernando, C.; Mereddy, R.; Li, X.; Sultanbawa, Y. Solid-state fermented plant protein sources in the diets of broiler chickens: A review. Anim. Nutr. 2019, 5, 319–330. [Google Scholar] [CrossRef]
- Aguilar, J.G.S.; Castro, R.J.S.; Sato, H.H. Alkaline protease production by Bacillus licheniformis LBA 46 in a bench reactor: Effect of temperature and agitation. Braz. J. Chem. Eng. 2019, 36, 615–625. [Google Scholar] [CrossRef]
- Canoy, T.S.; Wiedenbein, E.S.; Bredie, W.L.P.; Meyer, A.S.; Wösten, H.A.B.; Nielsen, D.S. Solid-State Fermented Plant Foods as New Protein Sources. Annu. Rev. Food Sci. Technol. 2024, 15, 189–210. [Google Scholar] [CrossRef]
- Xu, L.; Wei, Z.; Guo, Y.; Guo, B.; Cai, L.; Yan, J.; Ma, L.; Sun, W.; Li, Y.; Jiang, X.; et al. Effects of dietary supplementation with fermented flaxseed meal on the growth performance, immune function, and intestinal microbiota of growing pigs. Anim. Feed Sci. Technol. 2024, 316, 116079. [Google Scholar] [CrossRef]
- Che, L.; Hu, L.; Zhou, Q.; Peng, X.; Liu, Y.; Luo, Y.; Fang, Z.; Lin, Y.; Xu, S.; Feng, B.; et al. Flaxseed oil supplementation improves intestinal function and immunity, associated with altered intestinal microbiome and fatty acid profile in pigs with intrauterine growth retardation. Food Funct. 2019, 10, 8149–8160. [Google Scholar] [CrossRef]
- Rambu, D.; Dumitru, M.; Ciurescu, G.; Vamanu, E. Solid-state fermentation using Bacillus licheniformis: Driven changes in composition, viability and in vitro protein digestibility of oilseed cakes. Agriculture 2024, 14, 639. [Google Scholar] [CrossRef]
- Plackett, R.L.; Burman, J.P. The design of optimum multifactorial experiments. Biometrika 1946, 33, 305–325. [Google Scholar] [CrossRef]
- Banerjee, S.; Kari, Z.A.; Téllez-Isaías, G.; Ghosh, K. The use of linseed oil cake in the diets of rohu, Labeo rohita (Hamilton), after solid-state fermentation with a fish gut bacterium, Bacillus pumilus (KF640221): An appraisal on growth, digestibility, body composition, and hematobiochemical profile. Front. Mar. Sci. 2023, 10, 1278704. [Google Scholar] [CrossRef]
- Ellaiah, P.; Adinarayana, K.; Rajyalakshmi, P.; Srinivasulu, B. Optimization of process parameters for alkaline protease production under solid state fermentation by alkalophilic Bacillus sp. Asian J. Microbiol. Biotechnol. Environ. Sci. 2003, 5, 49–54. [Google Scholar]
- Saggu, S.K.; Mishra, P.C. Characterization of thermostable alkaline proteases from Bacillus infantis SKS1 isolated from garden soil. PLoS ONE 2017, 12, e0188724. [Google Scholar] [CrossRef] [PubMed]
- Vijayaraghavan, P.; Lazarus, S.; Vincent, S.G. De-hairing protease production by an isolated Bacillus cereus strain AT under solid-state fermentation using cow dung: Biosynthesis and properties. Saudi J. Biol. Sci. 2014, 21, 27–34. [Google Scholar] [CrossRef] [PubMed]
- Singh, R.; Meena, R.; Kumar, H.D.; Lal, B. Production, Purification, and Characterization of an Industrially Important Enzyme Alkaline Protease Produced from Locally Isolated Bacillus Bacteria. Int. J. Microbiol. Biotechnol. 2021, 6, 95–103. [Google Scholar] [CrossRef]
- Nascimento, W.C.A.D.; Martins, M.L.L. Production and properties of an extracellular protease from thermophilic Bacillus sp. Braz. J. Microbiol. 2004, 35, 91–96. [Google Scholar] [CrossRef]
- Dumitru, M.; Râmbu, D.-T.; Ciurescu, G.; Cornescu, G.M.; Panaite, T.D. Enhanced Enzyme Production and Probiotic Viability in Oilseed Cakes Fermented with Bacillus subtilis for Piglet Nutrition. Fermentation 2025, 11, 607. [Google Scholar] [CrossRef]
- ISO 13903:2005; Animal Feeding Stuffs—Determination of Amino Acids Content. International Organization for Standardization: Geneva, Switzerland, 2005.
- Moore, S.; Stein, W.H. A modified ninhydrin reagent for the photometric determination of amino acids and related compounds. J. Biol. Chem. 1954, 211, 907–913. [Google Scholar] [CrossRef]
- Commission of the European Communities. Commission Regulation (EC) No 152/2009 of 27 January 2009 laying down the methods of sampling and analysis for the official control of feed. Off. J. Eur. Union 2009, L54, 1–130. [Google Scholar]
- ISO 16472:2006; Animal feeding stuffs—Determination of amylase-treated neutral detergent fibre content (aNDF). International Organization for Standardization: Geneva, Switzerland, 2006.
- ISO 13906:2008; Animal feeding stuffs—Determination of acid detergent fibre (ADF) and acid detergent lignin (ADL) contents. International Organization for Standardization: Geneva, Switzerland, 2008.
- Miller, L.G. Use of Dinitrosalicylic Acid Reagent for Determination of Reducing Sugar. Anal. Chem. 1959, 31, 426–428. [Google Scholar] [CrossRef]
- Oomah, B.D.; Kenaschuk, E.O.; Cui, W.; Mazza, G. Variation in the composition of water-soluble polysaccharides in flaxseed. J. Agric. Food Chem. 1995, 43, 1484–1488. [Google Scholar] [CrossRef]
- Dubois, M.; Gilles, K.; Hamilton, J.K.; Rebers, P.A.; Smith, F. A colorimetric method for the determination of sugars. Nature 1951, 168, 167. [Google Scholar] [CrossRef]
- National Research Council (NRC). Nutrient Requirements of Swine, 11th rev. ed.; The National Academies Press: Washington, DC, USA, 2012. [Google Scholar]
- Takahashi, S.; Tomita, J.; Nishioka, K.; Hisada, T.; Nishijima, M. Development of a prokaryotic universal primer for simultaneous analysis of Bacteria and Archaea using next-generation sequencing. PLoS ONE 2014, 9, e105592. [Google Scholar] [CrossRef] [PubMed]
- Martin, M. Cutadapt Removes Adapter Sequences from High-Throughput Sequencing Reads. EMBnet J. 2011, 17, 10–12. [Google Scholar] [CrossRef]
- De Baere, S.; Eeckhaut, V.; Steppe, M.; De Maesschalck, C.; De Backer, P.; Van Immerseel, F.; Croubels, S. Development of an HPLC-UV method for the quantitative determination of four short-chain fatty acids and lactic acid produced by intestinal bacteria during in vitro fermentation. J. Pharm. Biomed. Anal. 2013, 80, 107–115. [Google Scholar] [CrossRef]
- Wei, C.-K.; Thakur, K.; Liu, D.-H.; Zhang, J.-G.; Wei, Z.-J. Enzymatic hydrolysis of flaxseed (Linum usitatissimum L.) protein and sensory characterization of Maillard reaction products. Food Chem. 2018, 263, 186–193. [Google Scholar] [CrossRef]
- Torres-Pitarch, A.; Hermans, D.; Manzanilla, E.G.; Bindelle, J.; Everaert, N.; Beckers, Y.; Torrallardona, D.; Bruggeman, G.; Gardiner, G.E.; Lawlor, P.G. Effect of feed enzymes on digestibility and growth in weaned pigs: A systematic review and meta-analysis. Anim. Feed Sci. Technol. 2017, 233, 145–159. [Google Scholar] [CrossRef]
- Qi, N.; Zhan, X.; Milmine, J.; Chang, K.-H.; Li, J. A novel thermophilic strain of Bacillus subtilis with antimicrobial activity and its potential application in solid-state fermentation of soybean meal. Microbiol. Spectr. 2024, 12, e02784-23. [Google Scholar] [CrossRef]
- Álvarez, A.; Rodríguez, A.; Chaparro, S.; Borrás, L.M.; Rache, L.Y.; Brijaldo, M.H.; Martínez, J.J. Solid-State Fermentation as a Biotechnological Tool to Reduce Antinutrients and Increase Nutritional Content in Legumes and Cereals for Animal Feed. Fermentation 2025, 11, 359. [Google Scholar] [CrossRef]
- Xu, B.; Li, Z.; Wang, C.; Fu, J.; Zhang, Y.; Wang, Y.; Lu, Z. Effects of fermented feed supplementation on pig growth performance: A meta-analysis. Anim. Feed. Sci. Technol. 2019, 259, 114315. [Google Scholar] [CrossRef]
- Amin, O.E.; Aboul-Enein, A.M.; Abd-Elsalam, I.S.; Wahba, M.I.; Helmy, Y.S. Optimization of protease production by newly isolated Bacillus sp. from the Red Sea using defatted soybean cake. Sci. Rep. 2025, 15, 32118. [Google Scholar] [CrossRef]
- Pouryafar, F.; Najafpour, G.D.; Noshadi, N.; Jahanshahi, M. Thermostable alkaline protease production via solid-state fermentation in a tray bioreactor using Bacillus licheniformis ATCC 21424. Int. J. Environ. Res. 2015, 9, 1127–1134. [Google Scholar] [CrossRef]
- Abdella, M.A.A.; Ahmed, S.A. Stable protease from Bacillus licheniformis-MA1 strain: Statistical production optimization, kinetic and thermodynamic characterization, and application in silver recovery from used X-ray films. Microb. Cell Factories 2025, 24, 98. [Google Scholar] [CrossRef] [PubMed]
- Zhang, J.; Wang, J.; Zhao, Y.; Li, J.; Liu, Y. Study on the interaction between calcium ions and alkaline protease of Bacillus. Int. J. Biol. Macromol. 2019, 124, 121–130. [Google Scholar] [CrossRef]
- Ngom, S.I.; Maski, S.; Rached, B.; Chouati, T.; Oliveira Correia, L.; Juste, C.; Meylheuc, T.; Henrissat, B.; El Fahime, E.; Amar, M.; et al. Exploring the hemicellulolytic properties and safety of Bacillus paralicheniformis as stepping stone in the use of new fibrolytic beneficial microbes. Sci. Rep. 2023, 13, 22785. [Google Scholar] [CrossRef]
- Qi, N.; Zhan, X.; Milmine, J.; Sahar, M.; Chang, K.-H.; Li, J. Isolation and characterization of a novel hydrolase-producing probiotic Bacillus licheniformis and its application in the fermentation of soybean meal. Front. Nutr. 2023, 10, 1123422. [Google Scholar] [CrossRef]
- Hou, C.; Zhang, Y.; Chen, J.; Hu, J.; Yang, C.; Chen, F.; Zhu, T.; Xin, Y.; Geng, X. Optimization of solid-state fermentation process for dietary fiber in flaxseed meal and analysis of its microstructure and functional properties. Foods 2025, 14, 1722. [Google Scholar] [CrossRef]
- Meldrum, O.W.; Yakubov, G.E. Journey of dietary fiber along the gastrointestinal tract: Role of physical interactions, mucus, and biochemical transformations. Crit. Rev. Food Sci. Nutr. 2025, 65, 4264–4292. [Google Scholar] [CrossRef] [PubMed]
- Park, S.; Lee, J.J.; Yang, B.M.; Cho, J.H.; Kim, S.; Kang, J.; Oh, S.; Park, D.-J.; Perez-Maldonado, R.; Cho, J.-Y.; et al. Dietary protease improves growth performance, nutrient digestibility, and intestinal morphology of weaned pigs. J. Anim. Sci. Technol. 2020, 62, 21–30. [Google Scholar] [CrossRef]
- Zhang, Y.; Ishikawa, M.; Koshio, S.; Yokoyama, S.; Wang, W.; Zhu, K. Optimization of soybean meal fermentation using Bacillus subtilis natto by response surface methodology. Fermentation 2021, 7, 306. [Google Scholar] [CrossRef]
- Liu, D.; Guo, Y.; Ma, H. Production of value-added peptides from agro-industrial residues by solid-state fermentation using a thermophilic protease-producing strain. Food Biosci. 2023, 53, 102534. [Google Scholar] [CrossRef]
- Wei, Z.; Xu, L.; Guo, Y.; Guo, B.; Sun, W.; Li, Y.; Jiang, X.; Li, X.; Pi, Y. Evaluation of available energy and standardized ileal digestibility of amino acids in fermented flaxseed meal for growing pigs. Animals 2024, 14, 228. [Google Scholar] [CrossRef]
- Czech, A.; Wlazło, Ł.; Łukaszewicz, M.; Florek, M.; Nowakowicz-Dębek, B. Fermented rapeseed meal enhances the digestibility of protein and macro- and microminerals and improves the performance of weaner pigs. Anim. Feed Sci. Technol. 2023, 300, 115656. [Google Scholar] [CrossRef]
- Shuai, C.; Chen, D.; Yu, B.; Luo, Y.; Zheng, P.; Huang, Z.; Yu, J.; Mao, X.; Yan, H.; He, J. Effect of fermented rapeseed meal on growth performance, nutrient digestibility, and intestinal health in growing pigs. Anim. Nutr. 2023, 9, 420–429. [Google Scholar] [CrossRef]
- Xu, L.; Wei, Z.; Guo, B.; Bai, R.; Liu, J.; Li, Y.; Sun, W.; Jiang, X.; Li, X.; Pi, Y. Flaxseed meal and its application in animal husbandry: A review. Agriculture 2022, 12, 2027. [Google Scholar] [CrossRef]
- Koo, B.; Kim, J.W.; Nyachoti, C.M. Standardized ileal digestible amino acid contents in flaxseed and flaxseed meals fed to growing–finishing pigs. Can. J. Anim. Sci. 2020, 101, 381–385. [Google Scholar] [CrossRef]
- Erdman, J.W. Oilseed phytates: Nutritional implications. J. Am. Oil Chem. Soc. 1979, 56, 736–741. [Google Scholar] [CrossRef]
- Liu, Y. Fatty acids, inflammation and intestinal health in pigs. J. Anim. Sci. Biotechnol. 2015, 6, 41. [Google Scholar] [CrossRef]
- Yang, P.; Zhao, J. Variations in gut health and energy metabolism in pigs and humans induced by dietary fiber intake. Food Sci. Nutr. 2021, 9, 4639–4654. [Google Scholar] [CrossRef] [PubMed]
- Bai, Y.; Zhang, K.; Liu, Y.; Wang, Z. Dietary fiber sources affect short-chain fatty acid production and absorption in the hindgut. Front. Nutr. 2022, 8, 719935. [Google Scholar] [CrossRef]
- Luo, Y.-H.; Su, Y.; Wright, A.-D.G.; Smidt, H.; Zhu, W.-Y. Lean breed Landrace pigs harbor fecal methanogens at higher diversity and density than obese breed Erhualian pigs. Archaea 2012, 2012, 605289. [Google Scholar] [CrossRef] [PubMed]
- Akbuğa-Schön, T.; Suzuki, T.A.; Jakob, D.; Vu, D.L.; Waters, J.L.; Ley, R.E. The keystone gut species Christensenella minuta boosts gut microbial biomass and host metabolic activity. mBio 2024, 15, e02836-23. [Google Scholar] [CrossRef] [PubMed]
- Xu, R.; Li, Q.; Wang, H.; Su, Y.; Zhu, W. Reduction of redox potential exerts a key role in modulating gut microbial taxa and function by dietary supplementation of pectin in a pig model. Microbiol. Spectr. 2023, 11, e03283-22. [Google Scholar] [CrossRef] [PubMed]
- Wang, K.; Nan, X.; Chu, K.; Tong, J.; Yang, L.; Zheng, S.; Zhao, G.; Jiang, L.; Xiong, B. Shifts of hydrogen metabolism from methanogenesis to propionate production in response to replacement of forage fiber with non-forage fiber sources in vitro. Front. Microbiol. 2018, 9, 2764. [Google Scholar] [CrossRef] [PubMed]
- Valeriano, V.D.V.; Balolong, M.P.; Kang, D.-K. Probiotic roles of Lactobacillus spp. in swine: Insights from gut microbiota studies. J. Appl. Microbiol. 2017, 122, 554–567. [Google Scholar] [CrossRef]
- Connolly, K.R.; Sweeney, T.; O’Doherty, J.V. Sustainable Nutritional Strategies for Gut Health in Weaned Pigs: The Role of Reduced Dietary Crude Protein, Organic Acids and Butyrate Production. Animals 2025, 15, 66. [Google Scholar] [CrossRef] [PubMed]






| Run Order | Molasse (%) | Yest Extract (%) | CaCl2 (%) | NaCl (%) | Inoculum (%) | Moisture (%) | Time (h) | Protease Activity (U/g DW) | Predicted Activity (U/g DW) | Model Agreement (%) |
|---|---|---|---|---|---|---|---|---|---|---|
| 1 | 1 | 0.5 | 0.05 | 0.5 | 7.5 | 60 | 48 | 80.19 | 79.21 | 98.78 |
| 2 | 1 | 0.5 | 0.05 | 2 | 15 | 70 | 48 | 51.69 | 56.59 | 109.49 |
| 3 | 1 | 2 | 0.2 | 2 | 7.5 | 70 | 72 | 102.64 | 96.05 | 93.58 |
| 4 | 3 | 2 | 0.05 | 2 | 15 | 60 | 72 | 108.73 | 112.74 | 103.69 |
| 5 | 3 | 0.5 | 0.2 | 2 | 7.5 | 70 | 48 | 36.61 | 35.64 | 97.36 |
| 6 | 3 | 0.5 | 0.05 | 0.5 | 15 | 70 | 72 | 143.82 | 129.77 | 90.23 |
| 7 | 1 | 2 | 0.2 | 0.5 | 15 | 60 | 48 | 31.16 | 27.31 | 87.65 |
| 8 | 3 | 0.5 | 0.2 | 0.5 | 7.5 | 60 | 72 | 100.34 | 107.14 | 106.78 |
| 9 | 1 | 2 | 0.05 | 0.5 | 7.5 | 70 | 72 | 141.14 | 149.30 | 105.78 |
| 10 | 1 | 0.5 | 0.2 | 2 | 15 | 60 | 72 | 88.23 | 89.98 | 101.98 |
| 11 | 3 | 2 | 0.05 | 2 | 7.5 | 60 | 48 | 60.76 | 57.97 | 95.41 |
| 12 | 3 | 2 | 0.2 | 0.5 | 15 | 70 | 48 | 18.91 | 22.22 | 117.54 |
| Item | FSC | FFSC |
|---|---|---|
| Ingredients (g/kgas-fed) | ||
| Maize | 206.1 | 206.1 |
| Barley | 100.0 | 100.0 |
| Rye | 150.0 | 150.0 |
| Wheat | 190.0 | 190.0 |
| Soybean meal, 45.5% CP | 166.1 | 166.1 |
| Flaxseed cake, 33.6% CP | 80.0 | 0 |
| Fermented flaxseed cake, 32.49% CP | 0 | 80.0 |
| Maize gluten meal, 60% CP | 40.7 | 40.7 |
| Whey powder | 20.0 | 20.0 |
| Vegetable oil | 8.8 | 8.8 |
| DL-Methionine, 99% Met | 1.0 | 1.0 |
| L-Lysine-HCl, 78% Lys | 4.1 | 4.1 |
| Calcium carbonate | 14.5 | 14.5 |
| Monocalcium phosphate | 3.2 | 3.2 |
| Salt | 3.5 | 3.5 |
| Choline chloride 50% | 2.0 | 2.0 |
| Vitamin–mineral premix *, no antibiotic | 10.0 | 10.0 |
| Total | 1000.0 | 1000.0 |
| Analyzed chemical composition (%) | ||
| Dry matter | 90.49 | 90.51 |
| Crude protein | 22.35 | 21.11 |
| Ether extract | 3.10 | 2.96 |
| Crude fiber | 4.14 | 3.81 |
| Ash | 4.51 | 5.45 |
| NDF | 11.63 | 11.27 |
| ADF | 4.48 | 4.19 |
| Calcium | 0.80 | 0.89 |
| Phosphorus, total | 0.62 | 0.77 |
| Nutritive value | ||
| Metabolizable energy, MJ/kg ** | 13.36 | 13.33 |
| Source | Coefficient | SE Coef | Anova F-Value | Anova p-Value | Significance |
|---|---|---|---|---|---|
| Molasses (%) | −0.208 | 0.155 | 1.80 | 0.250 | ns |
| Yest extract (%) | −0.286 | 0.155 | 3.40 | 0.139 | ns |
| CaCl2 (%) | −1.060 | 0.155 | 46.66 | 0.002 | ** |
| NaCl | −0.149 | 0.155 | 0.92 | 0.391 | ns |
| Inoculum | −0.491 | 0.155 | 10.03 | 0.034 | * |
| Moisture | −0.048 | 0.155 | 0.10 | 0.772 | ns |
| Time | 1.993 | 0.155 | 165.10 | 0.000 | *** |
| Parameter | FSC | FFSC | p-Value | Change (%) |
|---|---|---|---|---|
| Proximate composition (% DM) | ||||
| Dry Matter | 90.93 ± 0.130 | 84.51 ± 0.109 | <0.001 | −7.06 |
| Crude Protein | 33.60 ± 0.081 | 32.49 ± 0.068 | <0.001 | −3.30 |
| Crude fat | 15.54 ± 0.173 | 10.75 ± 0.079 | <0.001 | −30.85 |
| Crude fiber | 8.13 ± 0.122 | 8.12 ± 0.090 | 0.622 | −0.12 |
| NDF | 23.83 ± 0.214 | 17.31 ± 0.255 | <0.001 | −27.36 |
| ADF | 14.11 ± 0.092 | 9.98 ± 0.216 | <0.001 | −29.24 |
| Ash | 4.32 ± 0.113 | 4.74 ± 0.058 | 0.004 | 9.55 |
| Soluble compounds (mg g−1 DM) | ||||
| Free amino acids | 0.49 ± 0.051 | 2.55 ± 0.084 | <0.001 | 430.61% |
| Reducing sugars | 6.12 ± 0.148 | 11.5 ± 0.347 | 0.004 | 88.52% |
| Soluble carbohydrates | 141.88 ± 2.545 | 162.6 ± 2.79 | 0.018 | 14.67% |
| Antinutrients (% DM) | ||||
| Phytic acid | 2.10 ± 0.046 | 1.62 ± 0.073 | 0.026 | −23.81% |
| Item | FSC | FFSC | SEM | p-Value |
|---|---|---|---|---|
| Initial BW, kg | 13.50 | 13.50 | 0.483 | 0.997 |
| Final BW, kg | 24.75 | 28.25 | 1.169 | 0.009 |
| ADG, kg/d | 0.402 | 0.527 | 0.025 | <0.001 |
| ADFI, kg/d | 0.953 | 0.959 | 0.032 | 0.850 |
| FCR | 2.37 | 1.82 | 0.051 | <0.001 |
| Diarrhea incidence, % | 2.39 | 2.14 | 0.146 | 0.036 |
| Items | Unit | FSC | FFSC | SEM | p-Value |
|---|---|---|---|---|---|
| WBC | K/µL | 17.78 | 17.98 | 1.049 | 0.997 |
| RBC | M/µL | 6.35 | 6.83 | 0.158 | 0.049 |
| HGB | g/dL | 11.60 | 12.03 | 0.158 | 0.049 |
| HCT | % | 38.10 | 39.53 | 1.023 | 0.439 |
| MCV | fL | 60.05 | 57.87 | 0.810 | 0.069 |
| MCH | pg | 18.25 | 17.23 | 0.149 | 0.145 |
| MCHC | g/dL | 30.45 | 30.50 | 0.217 | 0.599 |
| RDW | % | 18.15 | 18.03 | 0.540 | 0.527 |
| PLT | K/µL | 379.50 | 314.00 | 50.181 | 0.378 |
| MPV | fL | 9.55 | 10.60 | 0.337 | 0.111 |
| %RET | % | 4.91 | 5.31 | 0.675 | 0.734 |
| %NEUT | % | 37.25 | 40.83 | 1.206 | 0.057 |
| %LYMPH | % | 55.00 | 53.40 | 1.410 | 0.519 |
| %MONO | % | 4.15 | 2.47 | 0.350 | 0.022 |
| %EOS | % | 2.65 | 2.10 | 0.497 | 0.817 |
| %BASO | % | 0.65 | 0.67 | 0.149 | 0.145 |
| #RET | K/µL | 313.35 | 362.63 | 47.615 | 0.481 |
| #NEUT | K/µL | 6.53 | 7.33 | 0.217 | 0.004 |
| #LYMPH | K/µL | 9.87 | 9.62 | 0.745 | 0.541 |
| #MONO | K/µL | 0.71 | 0.44 | 0.149 | 0.010 |
| #EOS | K/µL | 0.51 | 0.37 | 0.217 | 0.599 |
| #BASO | K/µL | 0.12 | 0.12 | 0.001 | 0.998 |
| Parameters | FSC | FFSC | SEM | p-Value |
|---|---|---|---|---|
| GLU, mg/dL | 106.50 | 126.13 | 3.731 | 0.007 |
| TG, mg/dL | 39.17 | 36.88 | 1.850 | 0.597 |
| TCho, mg/dL | 90.33 | 84.75 | 2.657 | 0.364 |
| HDL, mg/dL | 38.50 | 33.63 | 2.029 | 0.296 |
| TP, g/dL | 5.03 | 5.13 | 0.075 | 0.638 |
| ALB, g/dL | 3.07 | 3.00 | 0.092 | 0.779 |
| BIL, mg/dL | 0.18 | 0.25 | 0.010 | 0.084 |
| BUN, mg/dL | 12.50 | 13.94 | 0.441 | 0.143 |
| UA, mg/dL | 0.37 | 0.40 | 0.034 | 0.695 |
| CRE, mg dL | 0.98 | 0.96 | 0.033 | 0.817 |
| ALT, U/L | 51.92 | 67.63 | 4.614 | 0.124 |
| AST, U/L | 16.92 | 26.94 | 2.439 | 0.056 |
| GGT, U/L | 39.83 | 37.88 | 3.062 | 0.783 |
| Ca, mg dL | 13.03 | 13.63 | 0.157 | 0.106 |
| Mg, mg dL | 2.35 | 2.28 | 0.024 | 0.078 |
| IP, mg dL | 9.85 | 8.95 | 0.281 | 0.150 |
Disclaimer/Publisher’s Note: The statements, opinions and data contained in all publications are solely those of the individual author(s) and contributor(s) and not of MDPI and/or the editor(s). MDPI and/or the editor(s) disclaim responsibility for any injury to people or property resulting from any ideas, methods, instructions or products referred to in the content. |
© 2026 by the authors. Licensee MDPI, Basel, Switzerland. This article is an open access article distributed under the terms and conditions of the Creative Commons Attribution (CC BY) license.
Share and Cite
Rambu, D.; Dumitru, M.; Toma, S.M.; Blebea, N.-M.; Ciurescu, G.; Vamanu, E. Optimized Fermentation with Bacillus licheniformis on Flaxseed Cake Modulates Microbiota Toward Higher Propionate Production in Piglets. Agriculture 2026, 16, 757. https://doi.org/10.3390/agriculture16070757
Rambu D, Dumitru M, Toma SM, Blebea N-M, Ciurescu G, Vamanu E. Optimized Fermentation with Bacillus licheniformis on Flaxseed Cake Modulates Microbiota Toward Higher Propionate Production in Piglets. Agriculture. 2026; 16(7):757. https://doi.org/10.3390/agriculture16070757
Chicago/Turabian StyleRambu, Dan, Mihaela Dumitru, Smaranda Mariana Toma, Nicoleta-Mirela Blebea, Georgeta Ciurescu, and Emanuel Vamanu. 2026. "Optimized Fermentation with Bacillus licheniformis on Flaxseed Cake Modulates Microbiota Toward Higher Propionate Production in Piglets" Agriculture 16, no. 7: 757. https://doi.org/10.3390/agriculture16070757
APA StyleRambu, D., Dumitru, M., Toma, S. M., Blebea, N.-M., Ciurescu, G., & Vamanu, E. (2026). Optimized Fermentation with Bacillus licheniformis on Flaxseed Cake Modulates Microbiota Toward Higher Propionate Production in Piglets. Agriculture, 16(7), 757. https://doi.org/10.3390/agriculture16070757

