A Progressive Hybrid Automatic Switching Visual Servoing Method for Apple-Picking Robots
Abstract
1. Introduction
- (1)
- Development of a HAVS method that employs hybrid IBVS–PBVS control during the coarse alignment phase for rapid target approach and guaranteed target retention within the Field-of-View (FOV). In addition, when the depth of the target falls below the optimal threshold, PBVS is employed for fine alignment.
- (2)
- Proposal of an adaptive PD controller with fuzzy gain scheduling that updates control gains online to improve response speed and dynamic stability.
- (3)
- Construction of an apple-picking robot system with its overall performance verified through indoor simulated and field picking experiments.
2. Design of the Apple-Picking Robot System
2.1. Hardware and Software Design of the Apple-Picking Robot
2.2. Operational Workflow of the Apple-Picking Robot
3. HAVS Control Method
3.1. Object Detection
3.2. Basic Modules and Control-Law Design
3.2.1. IBVS Control Module
3.2.2. PBVS Control Module
3.2.3. Adaptive PD Control Module with Fuzzy Gain Scheduling
3.3. HAVS Switching Method and Coordinated Control
4. Results and Discussion
4.1. Indoor Simulated Picking Experiments
4.1.1. Determination of Switching Thresholds
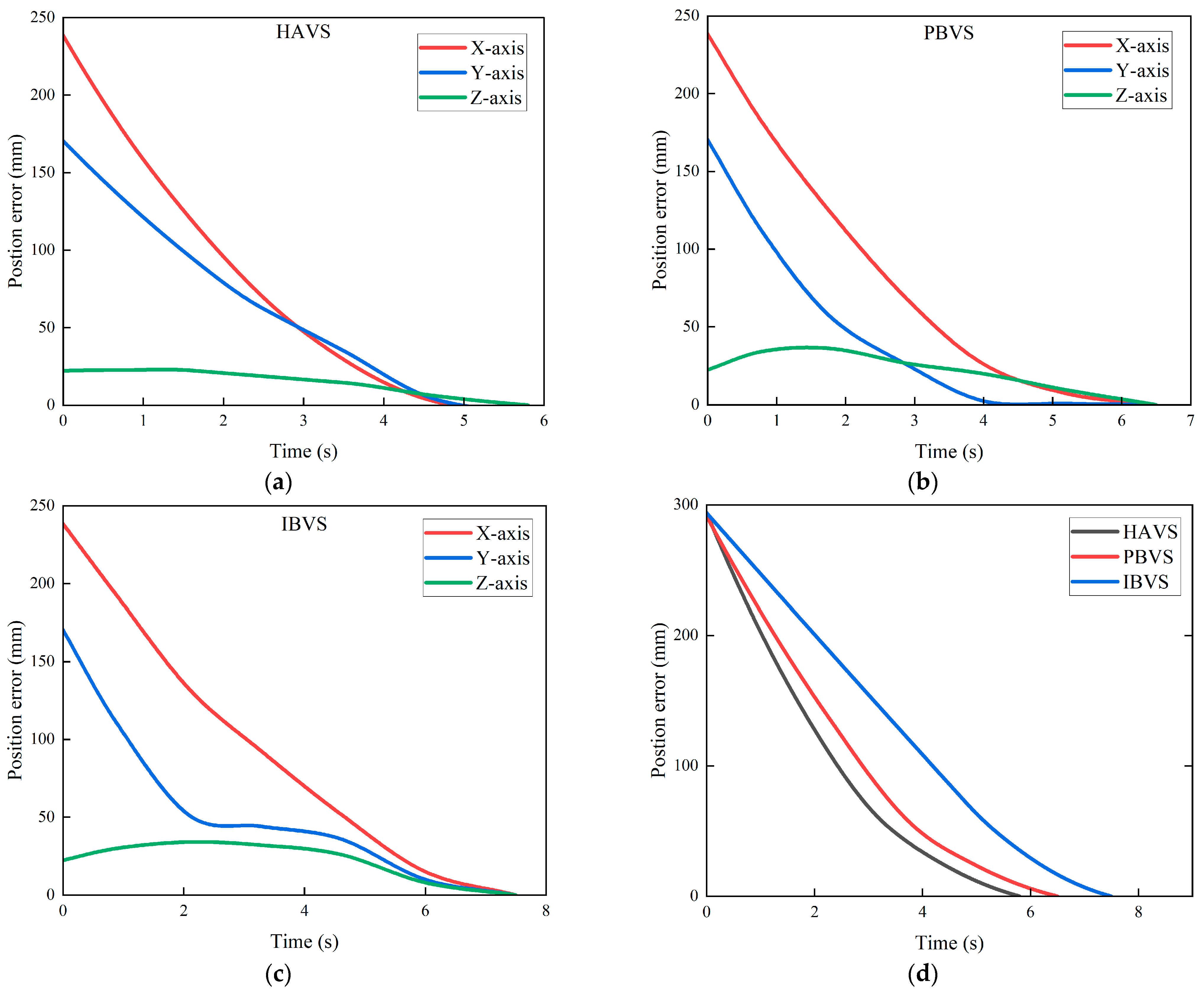
4.1.2. Comparative Experiments
4.2. Field Picking Experiments
4.3. Discussion of Experimental Results
5. Conclusions
Supplementary Materials
Author Contributions
Funding
Institutional Review Board Statement
Data Availability Statement
Conflicts of Interest
References
- Wang, X.; Hou, M.; Liu, T.; Ren, J.; Li, H.; Yang, H.; Hu, Z.; Gao, Z. Continuous cold plasma reactor for the processing of NFC apple juice: Effect on quality control and preservation stability. Innov. Food Sci. Emerg. Technol. 2025, 100, 103905. [Google Scholar] [CrossRef]
- Boyer, J.; Liu, R.H. Apple phytochemicals and their health benefits. Nutr. J. 2004, 3, 5. [Google Scholar] [CrossRef] [PubMed]
- Ji, W.; He, G.; Xu, B.; Zhang, H.; Yu, X. A New Picking Pattern of a Flexible Three-Fingered End-Effector for Apple Harvesting Robot. Agriculture 2024, 14, 102. [Google Scholar] [CrossRef]
- Zou, B.; Liu, F.; Zhang, Z.; Hong, T.; Wu, W.; Lai, S. Mechanization of mountain orchards: Development bottleneck and foreign experiences. J. Agric. Mech. Res. 2019, 41, 254–260. [Google Scholar]
- Zhang, Z.; Igathinathane, C.; Li, J.; Cen, H.; Lu, Y.; Flores, P. Technology progress in mechanical harvest of fresh market apples. Comput. Electron. Agric. 2020, 175, 105606. [Google Scholar] [CrossRef]
- Bac, C.W.; Van Henten, E.J.; Hemming, J.; Edan, Y. Harvesting robots for high-value crops: State-of-the-art review and challenges ahead. J. Field Robot. 2014, 31, 888–911. [Google Scholar] [CrossRef]
- Zhang, Q.; Karkee, M. Fully automated tree fruit harvesting. Resour. Mag. 2016, 23, 16–17. [Google Scholar]
- He, L.; Fu, H.; Karkee, M.; Zhang, Q. Effect of fruit location on apple detachment with mechanical shaking. Biosyst. Eng. 2017, 157, 63–71. [Google Scholar] [CrossRef]
- Zhu, F.; Zhang, W.; Wang, S.; Jiang, B.; Feng, X.; Zhao, Q. Apple-harvesting robot based on the YOLOv5-RACF model. Biomimetics 2024, 9, 495. [Google Scholar] [CrossRef]
- Zhang, Z.; Zhang, Z.; Wang, X.; Liu, H.; Wang, Y.; Wang, W. Multi-purpose apple harvest platform economic evaluation modeling and software development. Int. J. Agric. Biol. Eng. 2019, 12, 74–83. [Google Scholar]
- Xu, Y.; Qiao, X.; Ding, L.; Li, X.; Chen, Z.; Yue, X. Enhanced YOLOv5 with ECA Module for Vision-Based Apple Harvesting Using a 6-DOF Robotic Arm in Occluded Environments. Agriculture 2025, 15, 1850. [Google Scholar] [CrossRef]
- Guo, Z.; Fu, H.; Wu, J.; Han, W.; Huang, W.; Zheng, W.; Li, T. Dynamic Task Planning for Multi-Arm Apple-Harvesting Robots Using LSTM-PPO Reinforcement Learning Algorithm. Agriculture 2025, 15, 588. [Google Scholar]
- Liu, X.; Song, Z.; Tan, Y.; Yang, S.; Ma, Y. Conflict avoidance task planning strategy for dual-arm cooperative strawberry harvesting robots. Comput. Electron. Agric. 2026, 241, 111067. [Google Scholar] [CrossRef]
- Xing, Z.; Zhang, Z.; Wang, Y.; Xu, P.; Guo, Q.; Zeng, C.; Shi, R. SDC-DeepLabv3+: Lightweight and precise localization algorithm for safflower-harvesting robots. Plant Phenomics 2024, 6, 0194. [Google Scholar]
- Yang, Y.; Zhang, M.; Ma, W.; Hu, Y. Intelligent Batch Harvesting of Trellis-Grown Fruits with Application to Kiwifruit Picking Robots. Agronomy 2025, 15, 2499. [Google Scholar] [CrossRef]
- Wang, W.; Li, C.; Xi, Y.; Gu, J.; Zhang, X.; Zhou, M.; Peng, Y. Research Progress and Development Trend of Visual Detection Methods for Selective Fruit Harvesting Robots. Agronomy 2025, 15, 1926. [Google Scholar] [CrossRef]
- Shi, X.; Wang, S.; Zhang, B.; Ding, X.; Qi, P.; Qu, H.; Li, N.; Wu, J.; Yang, H. Advances in Object Detection and Localization Techniques for Fruit Harvesting Robots. Agronomy 2025, 15, 145. [Google Scholar] [CrossRef]
- Cong, V.D.; Hanh, L.D. A review and performance comparison of visual servoing controls. Int. J. Intell. Robot. Appl. 2023, 7, 65–90. [Google Scholar] [CrossRef]
- Hutchinson, S.; Hager, G.D.; Corke, P.I. A tutorial on visual servo control. IEEE Trans. Robot. Autom. 2002, 12, 651–670. [Google Scholar]
- Salvato, E.; Blanchini, F.; Fenu, G.; Giordano, G.; Pellegrino, F.A. Position-based visual servo control without hand-eye calibration. Robot. Auton. Syst. 2025, 193, 105045. [Google Scholar]
- Yu, P.; Tan, N.; Mao, M. Position-based visual servo control of dual robotic arms with unknown kinematic models: A cerebellum-inspired approach. IEEE/ASME Trans. Mechatron. 2023, 28, 2328–2339. [Google Scholar] [CrossRef]
- Mehta, S.; Burks, T. Vision-based control of robotic manipulator for citrus harvesting. Comput. Electron. Agric. 2014, 102, 146–158. [Google Scholar] [CrossRef]
- Chen, Y.; Cai, H.; Zeng, G.; Dai, Z.; Lin, Y.; Lu, H.; Wang, Y. Robust Image-Based Visual Servo Control of Unmanned Aerial Manipulator for Supply Delivery. IEEE Trans. Ind. Electron. 2025, 73, 2668–2678. [Google Scholar] [CrossRef]
- Rotithor, G.; Salehi, I.; Tunstel, E.; Dani, A.P. Stitching dynamic movement primitives and image-based visual servo control. IEEE Trans. Syst. Man Cybern. Syst. 2022, 53, 2583–2593. [Google Scholar] [CrossRef]
- Li, T.; Yu, J.; Qiu, Q.; Zhao, C. Hybrid uncalibrated visual servoing control of harvesting robots with RGB-D cameras. IEEE Trans. Ind. Electron. 2022, 70, 2729–2738. [Google Scholar] [CrossRef]
- Wang, Z.; Xiang, X.; Xiong, X.; Yang, S. Position-based acoustic visual servo control for docking of autonomous underwater vehicle using deep reinforcement learning. Robot. Auton. Syst. 2025, 186, 104914. [Google Scholar] [CrossRef]
- Zhong, X.; Zhou, Q.; Sun, Y.; Kang, S.; Hu, H. Deep reinforcement learning-based uncalibrated visual servoing control of manipulators with FOV constraints. Appl. Sci. 2025, 15, 4447. [Google Scholar] [CrossRef]
- Hafez, A.A.; Cervera, E.; Jawahar, C.V. Hybrid visual servoing by boosting IBVS and PBVS. In Proceedings of the 2008 3rd International Conference on Information and Communication Technologies: From Theory to Applications (ICTTA 2008), Damascus, Syria, 7–11 April 2008; pp. 1–6. [Google Scholar]
- Lei, M.; Zhang, X.; Yang, W.; Wan, J.; Dong, Z.; Zhang, C.; Zhang, G. High-Precision Drilling by Anchor-Drilling Robot Based on Hybrid Visual Servo Control in Coal Mine. Mathematics 2024, 12, 2059. [Google Scholar] [CrossRef]
- Li, Y.; Lien, W.; Huang, Z.; Chen, C. Hybrid visual servo control of a robotic manipulator for cherry tomato harvesting. Actuators 2023, 12, 253. [Google Scholar] [CrossRef]
- Soman, D.; George, V.; Victor, A.; Nathu, A.; Habib, M.A.; Parashar, D. Modelling and simulation of a robotic manipulator with six degrees of freedom attitude and orbit control for space applications. Syst. Sci. Control Eng. 2025, 13, 2562839. [Google Scholar] [CrossRef]
- Hua, W.; Zhang, Z.; Zhang, W.; Liu, X.; Hu, C.; He, Y.; Mhamed, M.; Li, X.; Dong, H.; Saha, C.K. Key technologies in apple harvesting robot for standardized orchards: A comprehensive review of innovations, challenges, and future directions. Comput. Electron. Agric. 2025, 235, 110343. [Google Scholar] [CrossRef]
- Pagire, V.; Chavali, M.; Kale, A. A comprehensive review of object detection with traditional and deep learning methods. Signal Process. 2025, 237, 110075. [Google Scholar] [CrossRef]
- Terven, J.; Córdova-Esparza, D.; Romero-González, J. A comprehensive review of yolo architectures in computer vision: From yolov1 to yolov8 and yolo-nas. Mach. Learn. Knowl. Extr. 2023, 5, 1680–1716. [Google Scholar] [CrossRef]
- Bai, Y.; Yu, J.; Yang, S.; Ning, J. An improved YOLO algorithm for detecting flowers and fruits on strawberry seedlings. Biosyst. Eng. 2024, 237, 1–12. [Google Scholar]
- Magdy, A.; Moustafa, M.S.; Ebied, H.M.; Tolba, M.F. Lightweight faster R-CNN for object detection in optical remote sensing images. Sci. Rep. 2025, 15, 16163. [Google Scholar] [CrossRef]
- Zhang, X.; Zhang, Y.; Gao, T.; Fang, Y.; Chen, T. A novel SSD-based detection algorithm suitable for small object. IEICE Trans. Inf. Syst. 2023, 106, 625–634. [Google Scholar] [CrossRef]
- Li, H.; Gu, Z.; He, D.; Wang, X.; Huang, J.; Mo, Y.; Li, P.; Huang, Z.; Wu, F. A lightweight improved YOLOv5s model and its deployment for detecting pitaya fruits in daytime and nighttime light-supplement environments. Comput. Electron. Agric. 2024, 220, 108914. [Google Scholar] [CrossRef]
- Häni, N.; Roy, P.; Isler, V. Apple counting using convolutional neural networks. In Proceedings of the 2018 IEEE/RSJ International Conference on Intelligent Robots and Systems (IROS), Madrid, Spain, 1–5 October 2018; pp. 2559–2565. [Google Scholar]
- Häni, N.; Roy, P.; Isler, V. MinneApple: A benchmark dataset for apple detection and segmentation. IEEE Robot. Autom. Lett. 2020, 5, 852–858. [Google Scholar] [CrossRef]
- Häni, N.; Roy, P.; Isler, V. A comparative study of fruit detection and counting methods for yield mapping in apple orchards. J. Field Robot. 2020, 37, 263–282. [Google Scholar] [CrossRef]
- Nguyen, A.; Taniguchi, T.; Eciolaza, L.; Campos, V.; Palhares, R.; Sugeno, M. Fuzzy control systems: Past, present and future. IEEE Comput. Intell. Mag. 2019, 14, 56–68. [Google Scholar] [CrossRef]
- Saatchi, R. Fuzzy logic concepts, developments and implementation. Information 2024, 15, 656. [Google Scholar] [CrossRef]
- Qian, R.; Wu, R.; Wu, H. Research on adaptive control of six-degree-of-freedom manipulator based on fuzzy PID. Syst. Sci. Control Eng. 2025, 13, 2498912. [Google Scholar]
- Sun, J.; Zhang, Y.; Chang, Y.; Shen, T.; Ding, S. Fixed-time composite learning fuzzy control with disturbance rejection for uncertain engineering systems toward Industry 5.0. IEEE Trans. Syst. Man Cybern. Syst. 2024, 54, 4077–4088. [Google Scholar]
- Wang, X.; Kang, H.; Zhou, H.; Au, W.; Wang, M.Y.; Chen, C. Development and evaluation of a robust soft robotic gripper for apple harvesting. Comput. Electron. Agric. 2023, 204, 107552. [Google Scholar]
- Shi, S.; Yang, F.; Liu, Z.; Xu, X.; Zhang, F.; Wang, Z. Design and experiment of composite pneumatic apple picking manipulator. Trans. Chin. Soc. Agric. Mach. 2024, 55, 93–105. [Google Scholar]
- Chen, M.; Chen, Z.; Luo, L.; Tang, Y.; Cheng, J.; Wei, H.; Wang, J. Dynamic visual servo control methods for continuous operation of a fruit harvesting robot working throughout an orchard. Comput. Electron. Agric. 2024, 219, 108774. [Google Scholar] [CrossRef]
- Park, Y.; Seol, J.; Pak, J.; Jo, Y.; Kim, C.; Son, H.I. Human-centered approach for an efficient cucumber harvesting robot system: Harvest ordering, visual servoing, and end-effector. Comput. Electron. Agric. 2023, 212, 108116. [Google Scholar] [CrossRef]
- Choi, D.W.; Park, J.H.; Yoo, J.H.; Ko, K. AI-driven adaptive grasping and precise detaching robot for efficient citrus harvesting. Comput. Electron. Agric. 2025, 232, 110131. [Google Scholar] [CrossRef]













| EC | NB | NM | NS | ZO | PS | PM | PB | |
|---|---|---|---|---|---|---|---|---|
| PE | ||||||||
| PB | B, S | B, ZO | B, ZO | B, ZO | B, ZO | B, ZO | B, ZO | |
| PM | M, M | M, S | B, ZO | B, ZO | B, ZO | B, S | B, M | |
| PS | S, B | S, M | M, S | M, S | B, S | B, S | B, M | |
| ZO | ZO, B | ZO, B | S, M | S, M | M, M | B, M | B, M | |
| Fuzzy Linguistic Level | Quantized Value of Kp1 | Quantized Value of Kd | Physical Interpretation |
|---|---|---|---|
| B | 0.65 | 0.08 | Aggressive correction with strong damping |
| M | 0.35 | 0.04 | Standard correction with medium damping |
| S | 0.12 | 0.01 | Fine adjustment with weak damping |
| ZO | 0.00 | 0.00 | Stop command with no damping |
| Experiment Group | Picking Attempts | Average Picking Time (s) | Successful Picks | Success Rate (%) | Damaged Apples | Damage Rate (%) |
|---|---|---|---|---|---|---|
| 1 | 30 | 12.5 | 26 | 86.7 | 1 | 3.3 |
| 2 | 30 | 13.2 | 27 | 90.0 | 1 | 3.3 |
| 3 | 30 | 14.1 | 24 | 80.0 | 2 | 3.3 |
| 4 | 30 | 13.0 | 28 | 93.3 | 1 | 6.7 |
| Total | 120 | 13.2 | 105 | 87.5 | 5 | 4.2 |
| Picking Robots | Fruit Type | Average Picking Time (s) | Success Rate (%) | Damage Rate (%) |
|---|---|---|---|---|
| This work | Apple | 13.20 | 87.50 | 4.2 |
| Xu et al. [11] | Apple | 25.00 | 95.00 | / |
| Wang et al. [46] | Apple | 14.69 | 70.77 | 4.55 |
| Shi et al. [47] | Apple | / | 84.70 | 0.88 |
| Chen et al. [48] | Dragon fruit | 15.19 | 76.90 | / |
| Park et al. [49] | Cucumber | 56.00 | 56.60 | 4.7 |
| Choi et al. [50] | Citrus | 21.33 | 83.33 | / |
Disclaimer/Publisher’s Note: The statements, opinions and data contained in all publications are solely those of the individual author(s) and contributor(s) and not of MDPI and/or the editor(s). MDPI and/or the editor(s) disclaim responsibility for any injury to people or property resulting from any ideas, methods, instructions or products referred to in the content. |
© 2026 by the authors. Licensee MDPI, Basel, Switzerland. This article is an open access article distributed under the terms and conditions of the Creative Commons Attribution (CC BY) license.
Share and Cite
Kan, J.; Wu, Y.; Dong, R.; Yao, S.; Zhao, X.; Zou, T.; Kang, B.; Li, J. A Progressive Hybrid Automatic Switching Visual Servoing Method for Apple-Picking Robots. Agriculture 2026, 16, 620. https://doi.org/10.3390/agriculture16050620
Kan J, Wu Y, Dong R, Yao S, Zhao X, Zou T, Kang B, Li J. A Progressive Hybrid Automatic Switching Visual Servoing Method for Apple-Picking Robots. Agriculture. 2026; 16(5):620. https://doi.org/10.3390/agriculture16050620
Chicago/Turabian StyleKan, Jiangming, Yue Wu, Ruifang Dong, Shun Yao, Xixuan Zhao, Tianji Zou, Boqi Kang, and Junjie Li. 2026. "A Progressive Hybrid Automatic Switching Visual Servoing Method for Apple-Picking Robots" Agriculture 16, no. 5: 620. https://doi.org/10.3390/agriculture16050620
APA StyleKan, J., Wu, Y., Dong, R., Yao, S., Zhao, X., Zou, T., Kang, B., & Li, J. (2026). A Progressive Hybrid Automatic Switching Visual Servoing Method for Apple-Picking Robots. Agriculture, 16(5), 620. https://doi.org/10.3390/agriculture16050620

