Pelleted Total Mixed Rations as a Feeding Strategy for High-Yielding Dairy Ewes
Abstract
1. Introduction
2. Materials and Methods
2.1. Animal Ethics
2.2. Animals and Experimental Diets
2.3. Experimental Procedures
2.4. Particle Size Distribution
2.5. Chemical Analyses
2.6. Calculations and Statistical Analysis
3. Results
3.1. Intake and Feeding Behavior
3.2. Blood Acid-Base Status
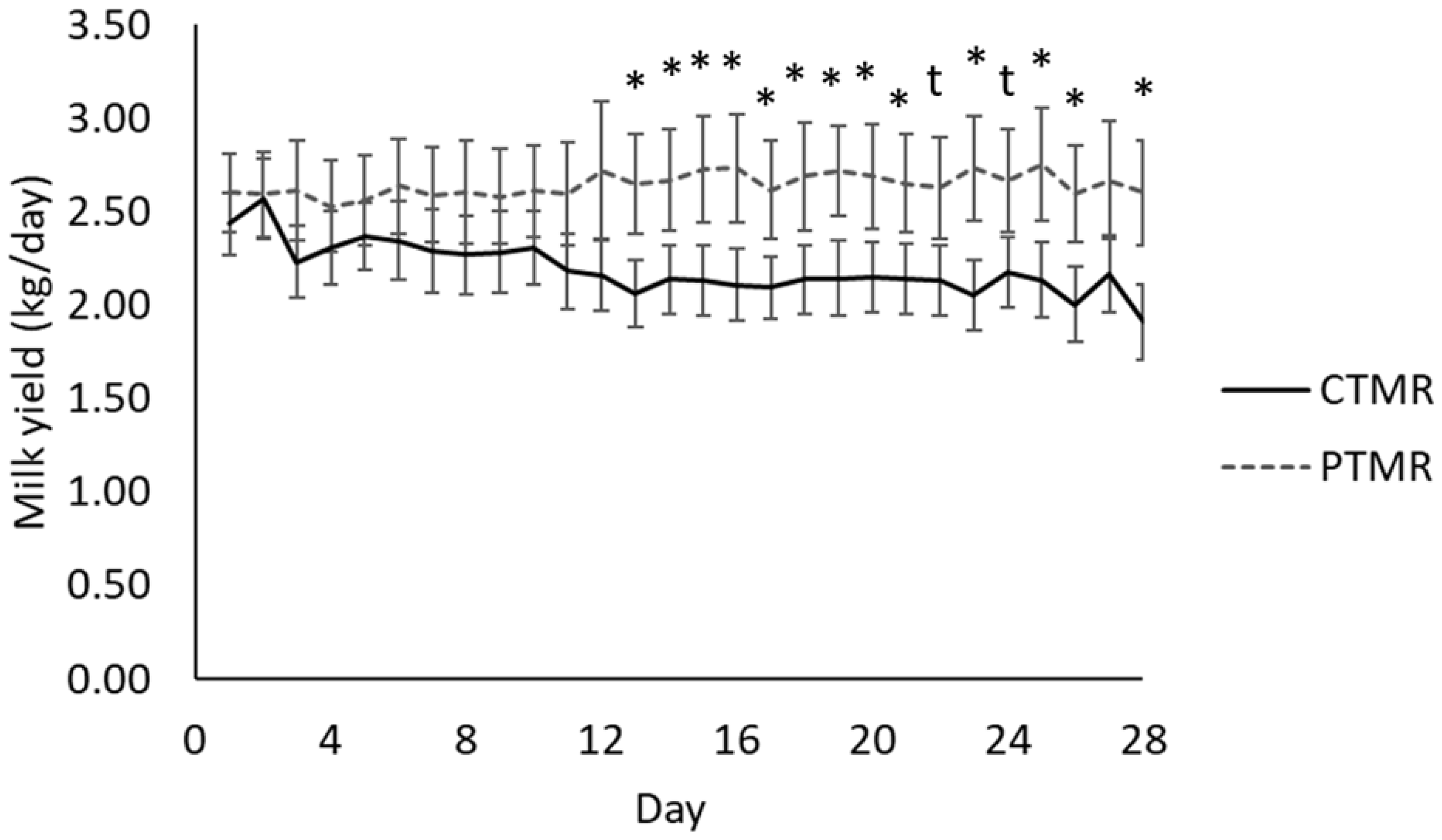
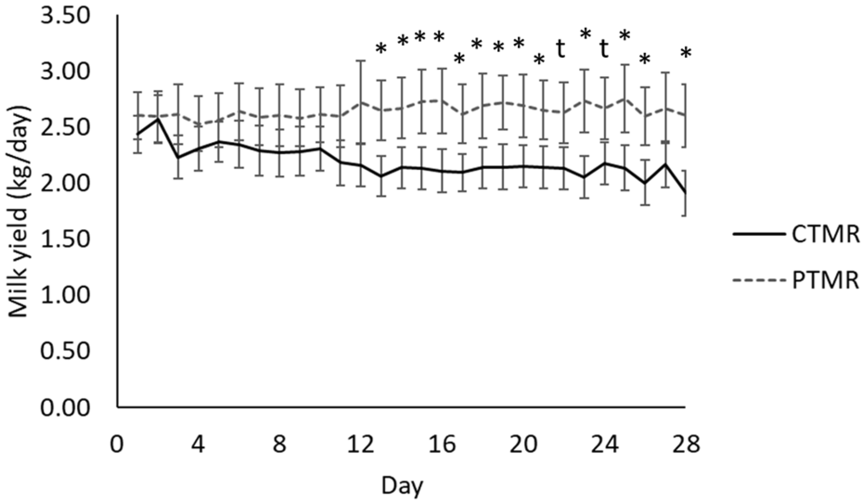
3.3. Milk Yield and Composition
3.4. Body Weight Changes and Feed Efficiency
4. Discussion
4.1. Intake and Eating Behavior
4.2. Blood Acid-Base Status
4.3. Milk Yield and Composition, Changes in Body Weight and Feed Efficiency
5. Conclusions
Author Contributions
Funding
Institutional Review Board Statement
Data Availability Statement
Acknowledgments
Conflicts of Interest
Abbreviations
| TMR | Total Mixed Ration |
| CTMR | Control (unpelleted) Total Mixed Ration |
| PTMR | Pelleted Total Mixed Ration |
| DM | Dry matter |
| DMI | Dry matter intake |
| BW | Body weight |
| FCR | Feed conversion ratio |
| MY | Milk yield |
| SED | Standard error of the difference |
| VFA | Volatile fatty acids |
References
- Papanikolopoulou, V.; Vouraki, S.; Priskas, S.; Theodoridis, A.; Dimitriou, S.; Arsenos, G. Economic Performance of Dairy Sheep Farms in Less-Favoured Areas of Greece: A Comparative Analysis Based on Flock Size and Farming System. Sustainability 2023, 15, 1681. [Google Scholar] [CrossRef]
- Timpanaro, G.; Foti, V.T. The Sustainability of Small-scale Sheep and Goat Farming in a Semi-arid Mediterranean Environment. J. Sustain. Agric. Environ. 2024, 3, e12111. [Google Scholar] [CrossRef]
- Milán, M.J.; Caja, G.; González-González, R.; Fernández-Pérez, A.M.; Such, X. Structure and Performance of Awassi and Assaf Dairy Sheep Farms in Northwestern Spain. J. Dairy Sci. 2011, 94, 771–784. [Google Scholar] [CrossRef]
- Miller-Cushon, E.K.; DeVries, T.J. Feed Sorting in Dairy Cattle: Causes, Consequences, and Management. J. Dairy Sci. 2017, 100, 4172–4183. [Google Scholar] [CrossRef]
- Carneiro, J.H.; dos Santos, J.F.; Almeida, R. Accuracy and Physical Characteristics of Total Mixed Rations and Feeding Sorting Behavior in Dairy Herds of Castro, Paraná. Rev. Bras. Zootec. 2021, 50, 620200174. [Google Scholar] [CrossRef]
- Schingoethe, D.J. A 100-Year Review: Total Mixed Ration Feeding of Dairy Cows. J. Dairy Sci. 2017, 100, 10143–10150. [Google Scholar] [CrossRef] [PubMed]
- Berthel, R.; Dohme-Meier, F.; Keil, N. Dairy Sheep and Goats Sort for Particle Size and Protein in Mixed Rations. Appl. Anim. Behav. Sci. 2024, 271, 106144. [Google Scholar] [CrossRef]
- Schingoethe, D.J.; Stegeman, G.A.; Treacher, R.J. Response of Lactating Dairy Cows to a Cellulase and Xylanase Enzyme Mixture Applied to Forages at the Time of Feeding. J. Dairy Sci. 1999, 82, 996–1003. [Google Scholar] [CrossRef] [PubMed]
- Neave, H.W.; Weary, D.M.; von Keyserlingk, M.A.G. Review: Individual Variability in Feeding Behaviour of Domesticated Ruminants. Animal 2018, 12, s419–s430. [Google Scholar] [CrossRef]
- Spina, A.A.; Iommelli, P.; Morello, A.R.; Britti, D.; Pelle, N.; Poerio, G.; Morittu, V.M. Particle Size Distribution and Feed Sorting of Hay-Based and Silage-Based Total Mixed Ration of Calabrian Dairy Herds. Dairy 2024, 5, 106–117. [Google Scholar] [CrossRef]
- Berthel, R.; Simmler, M.; Dohme-Meier, F.; Keil, N. Dairy Sheep and Goats Prefer the Single Components over the Mixed Ration. Front. Vet. Sci. 2022, 9, 1017669. [Google Scholar] [CrossRef]
- Putnam, P.A.; Davis, R.E. Effect of Feeding Pelleted Complete Rations to Lactating Cows. J. Dairy Sci. 1961, 44, 1465–1470. [Google Scholar] [CrossRef]
- McCoy, G.C.; Thurmon, H.S.; Olson, H.H.; Reed, A. Complete Feed Rations for Lactating Dairy Cows. J. Dairy Sci. 1966, 49, 1058–1063. [Google Scholar] [CrossRef]
- Rossi, G.; Serra, A.; Pulina, G.; Cannas, A.; Brandano, P. L’Utilizzazione di un Alimento Unico Pellettato (Unipellet) nell’Alimentazione dell Pecore da Latte. I. Influenza della Grassatura e del Livello Proteico sulla Produzione Quanti-Qualitativa di Latte in Pecore di Raza Sarda. Zootec. Nutr. Anim. 1991, 17, 2–34. [Google Scholar]
- Serra, A.; Calamari, L.; Cappa, V.; Cannas, A.; Rossi, G. Trial on Use of a Complete Pelleted Feed (Unipellet) in Lactating Ewes: Metabolic Profile Results. Ann. Fac. Agric. Univ. Sassari (I) 1992, 34, 13–21. [Google Scholar]
- Murdock, F.R.; Hodgson, A.S. Cubed Complete Rations for Lactating Dairy Cows. J. Dairy Sci. 1977, 60, 1921–1931. [Google Scholar] [CrossRef]
- O’Dell, G.D.; King, W.A.; Cook, W.C. Effect of Grinding, Pelleting, and Frequency of Feeding of Forage on Fat Percentage of Milk and Milk Production of Dairy Cows. J. Dairy Sci. 1968, 51, 50–55. [Google Scholar] [CrossRef]
- Bo Trabi, E.; Seddik, H.; Xie, F.; Lin, L.; Mao, S. Comparison of the Rumen Bacterial Community, Rumen Fermentation and Growth Performance of Fattening Lambs Fed Low-Grain, Pelleted or Non-Pelleted High Grain Total Mixed Ration. Anim. Feed. Sci. Technol. 2019, 253, 1–12. [Google Scholar] [CrossRef]
- Blanco, C.; Giráldez, F.J.; Prieto, N.; Benavides, J.; Wattegedera, S.; Morán, L.; Andrés, S.; Bodas, R. Total Mixed Ration Pellets for Light Fattening Lambs: Effects on Animal Health. Animal 2015, 9, 258–266. [Google Scholar] [CrossRef]
- Malik, M.I.; Rashid, M.A.; Yousaf, M.S.; Naveed, S.; Javed, K.; Rehman, H. Effect of Physical Form and Level of Wheat Straw Inclusion on Growth Performance and Blood Metabolites of Fattening Goat. Animals 2020, 10, 1861. [Google Scholar] [CrossRef]
- Zhang, Z.; Wang, L.; Li, Q.; Li, F.; Ma, Z.; Li, F.; Wang, Z.; Chen, L.; Yang, X.; Wang, X.; et al. Effects of Dietary Forage Neutral Detergent Fiber and Rumen Degradable Starch Ratios on Chewing Activity, Ruminal Fermentation, Ruminal Microbes and Nutrient Digestibility of Hu Sheep Fed a Pelleted Total Mixed Ration. J. Anim. Sci. 2024, 102, skae100. [Google Scholar] [CrossRef]
- Khurshid, M.A.; Rashid, M.A.; Yousaf, M.S.; Naveed, S.; Shahid, M.Q.; Rehman, H.U. Effect of Straw Particle Size in High Grain Complete Pelleted Diet on Growth Performance, Rumen pH, Feeding Behavior, Nutrient Digestibility, Blood and Carcass Indices of Fattening Male Goats. Small Rumin. Res. 2023, 219, 106907. [Google Scholar] [CrossRef]
- Wang, X.; Li, F.; Zhang, N.; Ungerfeld, E.; Guo, L.; Zhang, X.; Wang, M.; Ma, Z. Effects of Supplementing a Yeast Culture in a Pelleted Total Mixed Ration on Fiber Degradation, Fermentation Parameters, and the Bacterial Community in the Rumen of Sheep. Anim. Feed. Sci. Technol. 2023, 296, 115565. [Google Scholar] [CrossRef]
- Ronning, M. Effect of Varying Alfalfa Hay-Concentrate Ratios in a Pelleted Ration for Dairy Cows. J. Dairy Sci. 1960, 14, 811–815. [Google Scholar] [CrossRef]
- Blair, T.; Christensen, D.A.; Manns, J.G. Performance of Lactating Dairy Cows Fed Complete Pelleted Diets Based on Wheat Straw, Barley and Wheat. Can. J. Anim. Sci. 1974, 54, 347–354. [Google Scholar] [CrossRef]
- Retnani, Y.; Risyahadi, S.; Qomariyah, N.; Barkah, N.; Taryati, T.; Jayanegara, A. Comparison between Pelleted and Unpelleted Feed Forms on the Performance and Digestion of Small Ruminants: A Meta-Analysis. J. Anim. Feed. Sci. 2022, 31, 97–108. [Google Scholar] [CrossRef]
- Rankins, D.L.; Pugh, D.G. Feeding and Nutrition. In Sheep and Goat Medicine, 2nd ed.; Pugh, D.G., Baird, A.N., Eds.; W.B. Saunders: Saint Louis, MO, USA, 2012; pp. 18–49. [Google Scholar] [CrossRef]
- Zhong, R.; Zhao, C.; Feng, P.; Wang, Y.; Zhao, X.; Luo, D.; Cheng, L.; Liu, D.; Fang, Y. Effects of Feeding Ground versus Pelleted Total Mixed Ration on Digestion, Rumen Function and Milk Production Performance of Dairy Cows. Int. J. Dairy Technol. 2020, 73, 22–30. [Google Scholar] [CrossRef]
- Zhang, C.; Li, M.M.; Al-Marashdeh, O.; Gan, L.P.; Zhang, C.Y.; Zhang, G.G. Performance, Rumen Fermentation, and Gastrointestinal Microflora of Lambs Fed Pelleted or Unpelleted Total Mixed Ration. Anim. Feed. Sci. Technol. 2019, 253, 22–31. [Google Scholar] [CrossRef]
- Li, B.; Sun, X.; Huo, Q.; Zhang, G.; Wu, T.; You, P.; He, Y.; Tian, W.; Li, R.; Li, C.; et al. Pelleting of a Total Mixed Ration Affects Growth Performance of Fattening Lambs. Front. Vet. Sci. 2021, 8, 629016. [Google Scholar] [CrossRef]
- Lárusson, T.; Sveinbjörnsson, J. The Effects of Pelleting Hay upon Feed Intake, Digestibility, Growth Rate and Energy Retention of Lambs. Icel. Agric. Sci. 2023, 36, 55–68. [Google Scholar] [CrossRef]
- Romano, E.; Brambilla, M.; Cutini, M.; Giovinazzo, S.; Lazzari, A.; Calcante, A.; Tangorra, F.M.; Rossi, P.; Motta, A.; Bisaglia, C.; et al. Increased Cattle Feeding Precision from Automatic Feeding Systems: Considerations on Technology Spread and Farm Level Perceived Advantages in Italy. Animals 2023, 13, 3382. [Google Scholar] [CrossRef]
- Ryan, M. Labour and Skills Shortages in the Agro-Food Sector; OECD Food, Agriculture and Fisheries Papers No. 189; OECD Publishing: Paris, France, 2023. [Google Scholar] [CrossRef]
- ASDA. A Report: Committee on Classification of Particle Size in Feedstuffs. J. Dairy Sci. 1970, 53, 689–690. [Google Scholar] [CrossRef]
- Waldo, R.; Smith, L.W.; Cox, E.L.; Weinland, B.T.; Lucas, H.L., Jr. Logarithmic Normal Distribution for Description of Sieved Forage Materials. J. Dairy Sci. 1971, 54, 1465–1469. [Google Scholar] [CrossRef]
- ISO 6496:1999; Animal Feeding Stuffs Determination of Moisture and Other Volatile Matter Content. ISO: Geneva, Switzerland, 1999.
- ISO 5984:2022; Animal Feeding Stuffs—Determination of Crude Ash. ISO: Geneva, Switzerland, 2022.
- ISO 5983-2:2009; Animal Feeding Stuffs Determination of Nitrogen Content and Calculation of Crude Protein Content—Part 2: Block Digestion and Steam Distillation Method. ISO: Geneva, Switzerland, 2009.
- Van Soest, P.J.; Robertson, J.B.; Lewis, B.A. Methods for Dietary Fiber, Neutral Detergent Fiber, and Nonstarch Polysaccharides in Relation to Animal Nutrition. J. Dairy Sci. 1991, 74, 3583–3597. [Google Scholar] [CrossRef] [PubMed]
- AOCS. Official Methods and Recommended Practices of the American Oil Chemistry Society, 5th ed.; Firestone, D., Ed.; AOCS: Champaign, IL, USA, 1998; ISBN 0935315977. [Google Scholar]
- Bocquier, F.; Barillet, F.; Guillouet, P.; Jacquin, M. Prévision de l’énergie Du Lait de Brebis à Partir de Différents Résultats d’analyses: Proposition de Lait Standard Pour Les Brebis Laitières. Ann. Zootech. 1993, 42, 57–66. [Google Scholar] [CrossRef]
- AFRC. Energy and Protein Requirements of Ruminants; An Advisory Manual Prepared by the AFRC Technical Committee on Nutrient Responses; CAB International: Wallingford, UK, 1993; ISBN 9780851988511. [Google Scholar]
- Prieto, N.; Bodas, R.; López-Campos, Ó.; Andrés, S.; López, S.; Giráldez, F.J. Effect of Sunflower Oil Supplementation and Milking Frequency Reduction on Sheep Milk Production and Composition. J. Anim. Sci. 2013, 91, 446–454. [Google Scholar] [CrossRef]
- Martín, A.; Giráldez, F.J.; Mateos, I.; Saro, C.; Mateo, J.; Andrés, S.; Caro, I.; Ranilla, M.J. Feeding Broccoli and Cauliflower to Dairy Sheep: Influence on Feed Intake, Metabolic Health Status and Milk Production and Composition. Animal 2025, 19, 101530. [Google Scholar] [CrossRef]
- de Vega, A.; Gasa, J.; Guada, J.A.; Castrillo, C. Frequency of Feeding and Form of Lucerne Hay as Factors Affecting Voluntary Intake, Digestibility, Feeding Behaviour, and Marker Kinetics in Ewes. Aust. J. Agric. Res. 2000, 51, 801–809. [Google Scholar] [CrossRef]
- Gherardi, S.; Kellaway, R.; Black, J. Effect of Forage Particle Length on Rumen Digesta Load, Packing Density and Voluntary Feed Intake by Sheep. Aust. J. Agric. Res. 1992, 43, 1321–1336. [Google Scholar] [CrossRef]
- Moyo, M.; Adebayo, R.A.; Nsahlai, I.V. Effects of Diet and Roughage Quality, and Period of the Day on Diurnal Feeding Behaviour Patterns of Sheep and Goats under Subtropical Conditions. Asian-Australas. J. Anim. Sci. 2019, 32, 675–690. [Google Scholar] [CrossRef]
- Mialon, M.M.; Martin, C.; Garcia, F.; Menassol, J.B.; Dubroeucq, H.; Veissier, I.; Micol, D. Effects of the Forage-to-Concentrate Ratio of the Diet on Feeding Behaviour in Young Blond d’Aquitaine Bulls. Animal 2008, 2, 1682–1691. [Google Scholar] [CrossRef] [PubMed]
- Giger-Reverdin, S.; Rigalma, K.; Desnoyers, M.; Sauvant, D.; Duvaux-Ponter, C. Effect of Concentrate Level on Feeding Behavior and Rumen and Blood Parameters in Dairy Goats: Relationships between Behavioral and Physiological Parameters and Effect of between-Animal Variability. J. Dairy Sci. 2014, 97, 4367–4378. [Google Scholar] [CrossRef] [PubMed]
- de Vega, A.; Gasa, J.; Castrillo, C.; Guada, J.A. Presentation (Chopped versus Ground and Pelleted) of a Low-Quality Alfalfa Hay in Sheep: Effects on Intake, Feeding Behaviour, Rumen Fill and Digestion, and Passage. Animals 2025, 15, 541. [Google Scholar] [CrossRef] [PubMed]
- Pulina, G.; Cannas, A.; Rassu, S.P.G.; Rossi, G.; Brandano, P.; Serra, A. The Effect of the Utilization of a High Fibre Pelleted Feed on Milk Yield and Composition in Dairy Sheep. Ann. Fac. Agric. Univ. Sassari 1993, 35, 27–34. [Google Scholar]
- Greenhalgh, J.F.D.; Reid, G.W. The Effects of Pelleting Various Diets on Intake and Digestibility in Sheep and Cattle. Anim. Prod. 1973, 16, 223–233. [Google Scholar] [CrossRef]
- Karimizadeh, E.; Chaji, M.; Mohammadabadi, T. Effects of Physical Form of Diet on Nutrient Digestibility, Rumen Fermentation, Rumination, Growth Performance and Protozoa Population of Finishing Lambs. Anim. Nutr. 2017, 3, 139–144. [Google Scholar] [CrossRef]
- Bermudez, F.F.; Forbes, J.M.; Jones, R. Feed Intakes and Meal Patterns of Sheep during Pregnancy and Lactation, and after Weaning. Appetite 1989, 13, 211–222. [Google Scholar] [CrossRef]
- Beauchemin, K.A. Invited Review: Current Perspectives on Eating and Rumination Activity in Dairy Cows. J. Dairy Sci. 2018, 101, 4762–4784. [Google Scholar] [CrossRef]
- Miquel-Kergoat, S.; Azais-Braesco, V.; Burton-Freeman, B.; Hetherington, M.M. Effects of Chewing on Appetite, Food Intake and Gut Hormones: A Systematic Review and Meta-Analysis. Physiol. Behav. 2015, 151, 88–96. [Google Scholar] [CrossRef]
- Allen, M.S. Effects of Diet on Short-Term Regulation of Feed Intake by Lactating Dairy Cattle. J. Dairy Sci. 2000, 83, 1598–1624. [Google Scholar] [CrossRef]
- Faverdin, P. The Effect of Nutrients on Feed Intake in Ruminants. Proc. Nutr. Soc. 1999, 58, 523–531. [Google Scholar] [CrossRef] [PubMed]
- Allen, M.S. Drives and Limits to Feed Intake in Ruminants. Anim. Prod. Sci. 2014, 54, 1513–1524. [Google Scholar] [CrossRef]
- Albornoz, R.I.; Kennedy, K.M.; Bradford, B.J. Symposium Review: Fueling Appetite: Nutrient Metabolism and the Control of Feed Intake. J. Dairy Sci. 2023, 106, 2161–2166. [Google Scholar] [CrossRef] [PubMed]
- Niu, M.; Ying, Y.; Bartell, P.A.; Harvatine, K.J. The Effects of Feeding Time on Milk Production, Total-Tract Digestibility, and Daily Rhythms of Feeding Behavior and Plasma Metabolites and Hormones in Dairy Cows. J. Dairy Sci. 2014, 97, 7764–7776. [Google Scholar] [CrossRef]
- Nugroho, T.A.; Dilaga, W.S.; Purnomoadi, A. Eating Behaviour of Sheep Fed at Day and/or Night Period. J. Indones. Trop. Anim. Agric. 2015, 40, 176–182. [Google Scholar] [CrossRef]
- Salfer, I.J.; Harvatine, K.J. Night-Restricted Feeding of Dairy Cows Modifies Daily Rhythms of Feed Intake, Milk Synthesis and Plasma Metabolites Compared with Day-Restricted Feeding. Br. J. Nutr. 2020, 123, 849–858. [Google Scholar] [CrossRef]
- Harvatine, K.J. Importance of Circadian Rhythms in Dairy Nutrition. Anim. Prod. Sci. 2023, 63, 1827–1836. [Google Scholar] [CrossRef]
- Beauchemin, K.; Penner, G. New Developments in Understanding Ruminal Acidosis in Dairy Cows. In Proceedings of the Tri-State Dairy Nutrition Conference, Fort Wayne, IN, USA, 21–22 April 2009; pp. 1–12. [Google Scholar]
- González, L.A.; Manteca, X.; Calsamiglia, S.; Schwartzkopf-Genswein, K.S.; Ferret, A. Ruminal Acidosis in Feedlot Cattle: Interplay between Feed Ingredients, Rumen Function and Feeding Behavior (A Review). Anim. Feed. Sci. Technol. 2012, 172, 66–79. [Google Scholar] [CrossRef]
- Carter, R.R.; Allen, O.B.; Grovum, W.L. The Effect of Feeding Frequency and Meal Size on Amounts of Total and Parotid Saliva Secreted by Sheep. Br. J. Nutr. 1990, 63, 305–318. [Google Scholar] [CrossRef]
- Castrillo, C.; Mota, M.; Van Laar, H.; Martín-Tereso, J.; Gimeno, A.; Fondevila, M.; Guada, J.A. Effect of Compound Feed Pelleting and Die Diameter on Rumen Fermentation in Beef Cattle Fed High Concentrate Diets. Anim. Feed. Sci. Technol. 2013, 180, 34–43. [Google Scholar] [CrossRef]
- De Nardi, R.; Marchesini, G.; Gianesella, M.; Ricci, R.; Montemurro, F.; Contiero, B.; Andrighetto, I.; Segato, S. Blood Parameters Modification at Different Ruminal Acidosis Conditions. Agric. Conspec. Sci. 2013, 78, 259–262. [Google Scholar]
- Gianesella, M.; Morgante, M.; Cannizzo, C.; Stefani, A.; Dalvit, P.; Messina, V.; Giudice, E. Subacute Ruminal Acidosis and Evaluation of Blood Gas Analysis in Dairy Cow. Vet. Med. Int. 2010, 2010, 1–4. [Google Scholar] [CrossRef]
- Humer, E.; Aschenbach, J.R.; Neubauer, V.; Kröger, I.; Khiaosa-ard, R.; Baumgartner, W.; Zebeli, Q. Signals for Identifying Cows at Risk of Subacute Ruminal Acidosis in Dairy Veterinary Practice. J. Anim. Physiol. Anim. Nutr. 2018, 102, 380–392. [Google Scholar] [CrossRef] [PubMed]
- Voulgarakis, N.; Gougoulis, D.A.; Psalla, D.; Papakonstantinou, G.I.; Katsoulis, K.; Angelidou-Tsifida, M.; Athanasiou, L.V.; Papatsiros, V.G.; Christodoulopoulos, G. Subacute Rumen Acidosis in Greek Dairy Sheep: Prevalence, Impact and Colorimetry Management. Animals 2024, 14, 2061. [Google Scholar] [CrossRef] [PubMed]
- Villot, C.; Meunier, B.; Bodin, J.; Martin, C.; Silberberg, M. Relative Reticulo-Rumen pH Indicators for Subacute Ruminal Acidosis Detection in Dairy Cows. Animal 2018, 12, 481–490. [Google Scholar] [CrossRef] [PubMed]
- Golder, H.M.; Lean, I.J. Invited Review: Ruminal Acidosis and its Definition—A Critical Review. J. Dairy Sci. 2024, 107, 10066–10098. [Google Scholar] [CrossRef]
- González, L.A.; Ferret, A.; Manteca, X.; Calsamiglia, S. Increasing Sodium Bicarbonate Level in High-Concentrate Diets for Heifers. I. Effects on Intake, Water Consumption and Ruminal Fermentation. Animal 2008, 2, 705–712. [Google Scholar] [CrossRef]
- Abijaoudé, J.A.; Morand-Fehr, P.; Tessier, J.; Schmidely, P.; Sauvant, D. Diet Effect on the Daily Feeding Behaviour, Frequency and Characteristics of Meals in Dairy Goats. Livest. Prod. Sci. 2000, 64, 29–37. [Google Scholar] [CrossRef]
- Pollott, G.E.; Gootwine, E. Reproductive Performance and Milk Production of Assaf Sheep in an Intensive Management System. J. Dairy Sci. 2004, 87, 3690–3703. [Google Scholar] [CrossRef]
- Milán, M.J.; Frendi, F.; González-González, R.; Caja, G. Cost Structure and Profitability of Assaf Dairy Sheep Farms in Spain. J. Dairy Sci. 2014, 97, 5239–5249. [Google Scholar] [CrossRef]
- Pulido, E.; Giráldez, F.J.; Bodas, R.; Andrés, S.; Prieto, N. Effect of Reduction of Milking Frequency and Supplementation of Vitamin E and Selenium above Requirements on Milk Yield and Composition in Assaf Ewes. J. Dairy Sci. 2012, 95, 3527–3535. [Google Scholar] [CrossRef]
- Herve, L.; Quesnel, H.; Veron, M.; Portanguen, J.; Gross, J.J.; Bruckmaier, R.M.; Boutinaud, M. Milk Yield Loss in Response to Feed Restriction is Associated with Mammary Epithelial Cell Exfoliation in Dairy Cows. J. Dairy Sci. 2019, 102, 2670–2685. [Google Scholar] [CrossRef]
- Leduc, A.; Souchet, S.; Gelé, M.; Le Provost, F.; Boutinaud, M. Effect of Feed Restriction on Dairy Cow Milk Production: A Review. J. Anim. Sci. 2021, 99, skab130. [Google Scholar] [CrossRef]
- Bauman, D.E. Regulation of Nutrient Partitioning during Lactation: Homeostasis and Homeorhesis Revisited. In Ruminant Physiology: Digestion, Metabolism, Growth and Reproduction; Cronjé, P.B., Ed.; CABI Publishing: Wallingford, UK, 2000; pp. 311–328. [Google Scholar]
- Benedet, A.; Manuelian, C.L.; Zidi, A.; Penasa, M.; De Marchi, M. Invited Review: β-Hydroxybutyrate Concentration in Blood and Milk and Its Associations with Cow Performance. Animal 2019, 13, 1676–1689. [Google Scholar] [CrossRef]
- Bath, D.L. Reducing Fat in Milk and Dairy Products by Feeding. J. Dairy Sci. 1982, 65, 450–453. [Google Scholar] [CrossRef]
- Dewanckele, L.; Toral, P.G.; Vlaeminck, B.; Fievez, V. Invited Review: Role of Rumen Biohydrogenation Intermediates and Rumen Microbes in Diet-Induced Milk Fat Depression: An Update. J. Dairy Sci. 2020, 103, 7655–7681. [Google Scholar] [CrossRef]

) or pelleted (PTMR
) total mixed rations (the three 8 h periods were morning 08:00–16:00 h, evening 16:00–24:00 h and overnight 24:00–08:00 h; A, B, C, D: bars with different letters are significantly different at p < 0.05).
) or pelleted (PTMR
) total mixed rations (the three 8 h periods were morning 08:00–16:00 h, evening 16:00–24:00 h and overnight 24:00–08:00 h; A, B, C, D: bars with different letters are significantly different at p < 0.05).


| Ingredients (g/kg of Total Mixed Ration as Fed) | CTMR | PTMR |
|---|---|---|
| Alfalfa | 370 | 370 |
| Barley straw | 60 | 60 |
| Wheat bran | 20 | 20 |
| Barley grain | 75 | 75 |
| Maize grain | 145 | 145 |
| Soybean meal | 120 | 120 |
| Soy hulls | 110 | 110 |
| Sugar beet pulp | 50 | 50 |
| Molasses | 40 | 40 |
| Hydrogenated fat | 18 | 18 |
| Urea | 5 | 5 |
| Bicarbonate | 20 | 20 |
| Magnesium oxide | 2 | 2 |
| Mineral and vitamin premix 1 | 15 | 15 |
| Chemical composition (g/kg DM) | ||
| Dry matter (g/kg fresh matter) | 940 | 934 |
| Crude protein | 194 | 189 |
| Neutral detergent fiber | 377 | 369 |
| Acid detergent fiber | 256 | 246 |
| Crude fat | 36 | 42 |
| Ash | 104 | 114 |
| Gross energy (Mcal/kg DM) | 4.21 | 4.16 |
| Particle size distribution (%) | ||
| >10,000 µm | 1.29 | 0.00 |
| >4000 µm | 13.59 | 0.00 |
| >2360 µm | 13.72 | 0.00 |
| >1700 µm | 10.33 | 2.04 |
| >1180 µm | 13.92 | 8.06 |
| >300 µm | 33.85 | 61.29 |
| >150 µm | 7.89 | 15.65 |
| <150 µm | 5.43 | 12.96 |
| Average particle size (µm) | 2122 | 537 |
| Diets | p Value | |||||
|---|---|---|---|---|---|---|
| CTMR | PTMR | SED 1 | Diet | Day | Diet × Day | |
| Dry matter intake (DMI), g DM/day | 2851 | 3252 | 280.0 | 0.167 | 0.001 | 0.001 |
| % DMI from small-size meals 2 | 62 | 51 | 3.44 | 0.003 | 0.334 | 0.060 |
| % DMI from medium-size meals 2 | 18 | 25 | 1.82 | 0.002 | 0.601 | 0.251 |
| % DMI from large-size meals 2 | 20 | 24 | 1.86 | 0.067 | 0.109 | 0.117 |
| Meal frequency (MFq), meals/day | 47 | 34 | 5.47 | 0.019 | 0.001 | 0.001 |
| MFq (small-size meals) 2 | 42 | 26 | 5.412 | 0.007 | 0.001 | 0.001 |
| MFq (medium-size meals) 2 | 3 | 5 | 0.424 | 0.002 | 0.718 | 0.104 |
| MFq (large-size meals) 2 | 2 | 3 | 0.177 | 0.001 | 0.892 | 0.176 |
| Meal size (MSz), g DM/meal | 65 | 103 | 9.82 | 0.002 | 0.001 | 0.001 |
| MSz (small-size meals) 2 | 46 | 67 | 5.67 | 0.002 | 0.001 | 0.001 |
| MSz (medium-size meals) 2 | 163 | 189 | 22.34 | 0.270 | 0.001 | 0.003 |
| MSz (large-size meals) 2 | 289 | 296 | 34.02 | 0.854 | 0.002 | 0.001 |
| Total eating time, min | 203 | 115 | 17.55 | 0.001 | 0.001 | 0.001 |
| Meal duration, min/meal | 4.75 | 3.52 | 0.571 | 0.044 | 0.001 | 0.001 |
| Eating rate, g DM/min | 14.5 | 29.3 | 1.557 | 0.001 | 0.001 | 0.001 |
| Between-meal interval, min 3 | 22.7 | 38.1 | 3.413 | 0.001 | 0.001 | 0.001 |
| pH | pCO2 mm Hg | HCO3− mmol/L | Anion Gap mmol/L | |
|---|---|---|---|---|
| Diet effects | ||||
| CTMR | 7.48 | 33.9 | 23.4 | 16.4 |
| PTMR | 7.48 | 35.1 | 24.2 | 16.3 |
| SED 1 | 0.011 | 0.85 | 0.66 | 0.36 |
| p value | 0.712 | 0.164 | 0.237 | 0.882 |
| Time (day) effects | ||||
| Day 1 | 7.46 | 35.8 | 23.7 | 16.4 |
| Day 28 | 7.50 | 33.1 | 23.8 | 16.2 |
| SED 2 | 0.009 | 0.75 | 0.46 | 0.23 |
| p value | 0.002 | 0.002 | 0.861 | 0.563 |
| p value Diet × Day | 0.961 | 0.675 | 0.474 | 0.474 |
| Diets | p Value | |||||
|---|---|---|---|---|---|---|
| CTMR | PTMR | SED 1 | Diet | Day | Diet × Day | |
| Data from 28 days | ||||||
| Milk yield (average over 28 days), g/day | 2193 | 2643 | 322.3 | 0.178 | 0.004 | 0.001 |
| Data from 5 sampling days 2 | ||||||
| Milk yield, g/day | 2175 | 2631 | 316.5 | 0.165 | 0.002 | 0.001 |
| Energy-corrected milk (g/day) | 1896 | 2269 | 283.9 | 0.203 | 0.043 | 0.108 |
| Milk composition 2 | ||||||
| Total solids, % | 16.71 | 16.59 | 0.260 | 0.656 | 0.021 | 0.378 |
| Fat, % | 6.29 | 6.12 | 0.215 | 0.446 | 0.032 | 0.512 |
| Protein, % | 4.76 | 4.72 | 0.083 | 0.664 | 0.762 | 0.081 |
| Lactose, % | 4.84 | 4.92 | 0.059 | 0.164 | 0.784 | 0.115 |
| Urea, mg/L | 543 | 507 | 20.92 | 0.101 | 0.001 | 0.095 |
| β-hydroxybutyrate, mmol/L | 0.188 | 0.183 | 0.0319 | 0.866 | 0.465 | 0.564 |
| Acetone, mmol/L | 0.256 | 0.354 | 0.0622 | 0.282 | 0.072 | 0.285 |
| Log (Somatic cell count) | 5.38 | 5.22 | 0.446 | 0.711 | 0.999 | 0.182 |
| Diets | p Value | |||
|---|---|---|---|---|
| CTMR | PTMR | SED 1 | Diet | |
| Initial BW, kg | 81.13 | 85.21 | 3.181 | 0.216 |
| Final BW, kg | 78.13 | 84.63 | 3.245 | 0.059 |
| BW change, kg | −3.00 | −0.58 | 0.894 | 0.014 |
| Residual feed intake, g dry matter/day | 51.8 | −51.8 | 134.3 | 0.704 |
| FCR, g dry matter intake/g milk | 1.38 | 1.33 | 0.159 | 0.776 |
| FCR, g dry matter intake/g energy-corrected milk | 1.58 | 1.56 | 0.193 | 0.917 |
| FCRcorrected, g dry matter intake/g milk 2 | 1.98 | 1.41 | 0.307 | 0.077 |
Disclaimer/Publisher’s Note: The statements, opinions and data contained in all publications are solely those of the individual author(s) and contributor(s) and not of MDPI and/or the editor(s). MDPI and/or the editor(s) disclaim responsibility for any injury to people or property resulting from any ideas, methods, instructions or products referred to in the content. |
© 2026 by the authors. Licensee MDPI, Basel, Switzerland. This article is an open access article distributed under the terms and conditions of the Creative Commons Attribution (CC BY) license.
Share and Cite
Andrés, S.; López, S.; Reyes, A.D.; Martín, A.; Morán, L.; Bodas, R.; Giráldez, F.J. Pelleted Total Mixed Rations as a Feeding Strategy for High-Yielding Dairy Ewes. Agriculture 2026, 16, 225. https://doi.org/10.3390/agriculture16020225
Andrés S, López S, Reyes AD, Martín A, Morán L, Bodas R, Giráldez FJ. Pelleted Total Mixed Rations as a Feeding Strategy for High-Yielding Dairy Ewes. Agriculture. 2026; 16(2):225. https://doi.org/10.3390/agriculture16020225
Chicago/Turabian StyleAndrés, Sonia, Secundino López, Alexey Díaz Reyes, Alba Martín, Lara Morán, Raúl Bodas, and F. Javier Giráldez. 2026. "Pelleted Total Mixed Rations as a Feeding Strategy for High-Yielding Dairy Ewes" Agriculture 16, no. 2: 225. https://doi.org/10.3390/agriculture16020225
APA StyleAndrés, S., López, S., Reyes, A. D., Martín, A., Morán, L., Bodas, R., & Giráldez, F. J. (2026). Pelleted Total Mixed Rations as a Feeding Strategy for High-Yielding Dairy Ewes. Agriculture, 16(2), 225. https://doi.org/10.3390/agriculture16020225

