Effects of Biochar and Straw Regulation on Snowmelt Infiltration in Seasonal Frozen Soil Regions of Northeast China
Abstract
1. Introduction
2. Materials and Methods
2.1. Test Material and Device
2.2. Experimental Scheme
2.2.1. Test Apparatus
2.2.2. Experimental Design
2.3. Research Methodology
2.4. Statistical Methods
3. Results
3.1. Effects of Different Modes of Regulation on Soil Physical Indexes During Freeze–Thaw Cycles Process
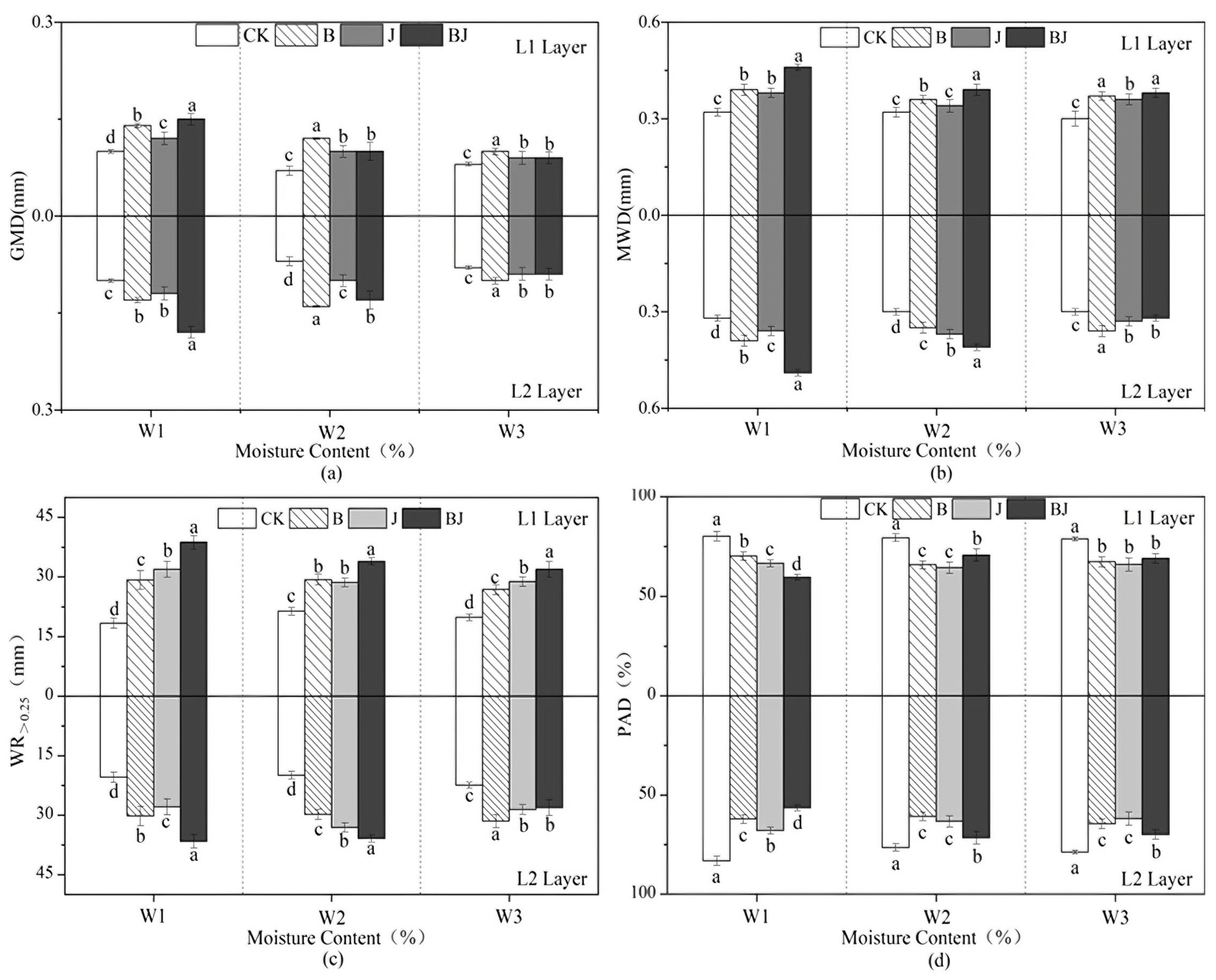
3.1.1. Characterization of Changes in Soil Aggregate Stability
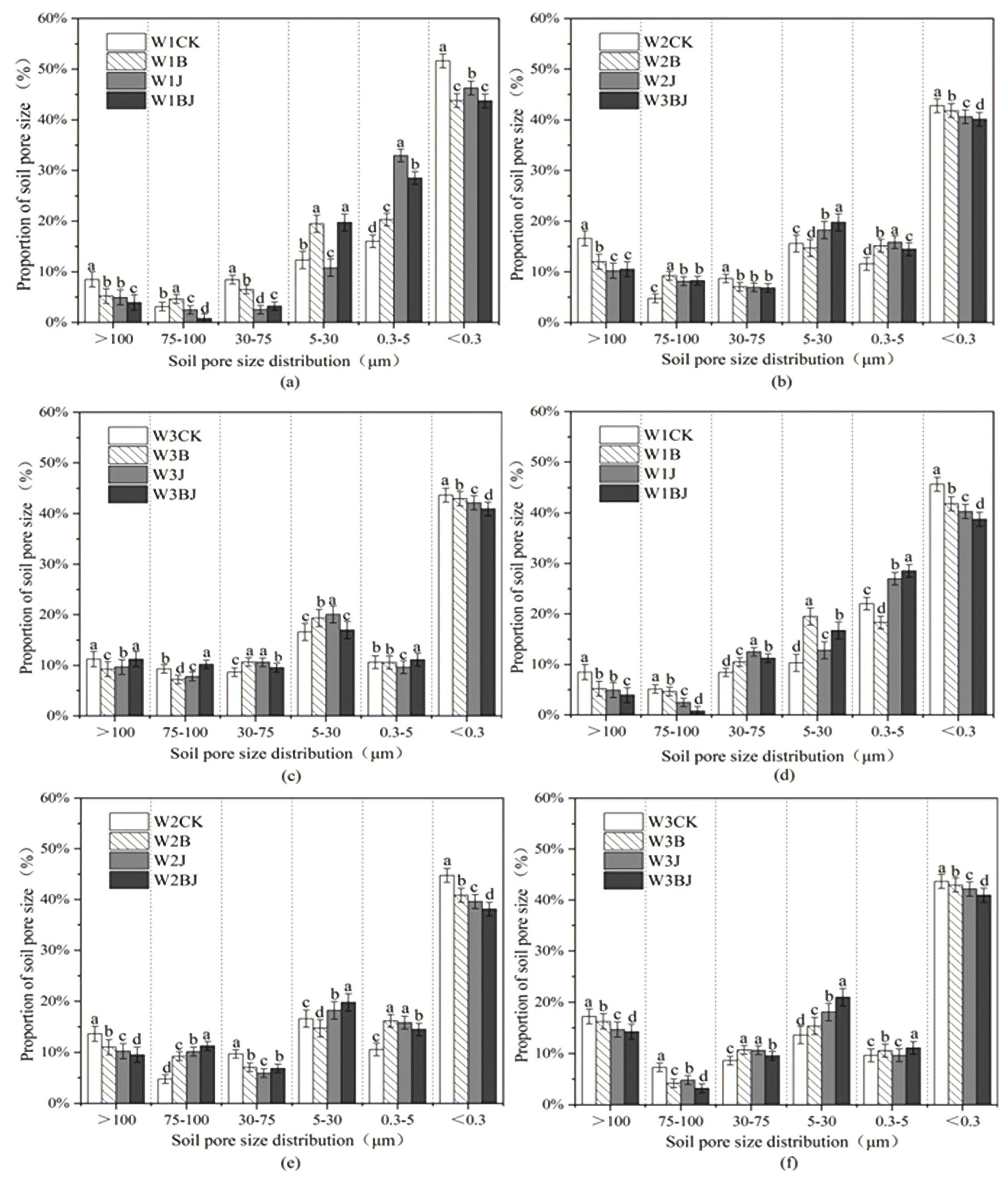
3.1.2. Characterization of Soil Pore Space Changes
3.2. Characteristics of Changes in Freezing Fronts Under Different Modes of Regulation During the Freeze–Thaw Cycle Process
3.3. Effects of Different Modes of Regulation on Snowmelt Water Infiltration During Freeze–Thaw Cycles Process
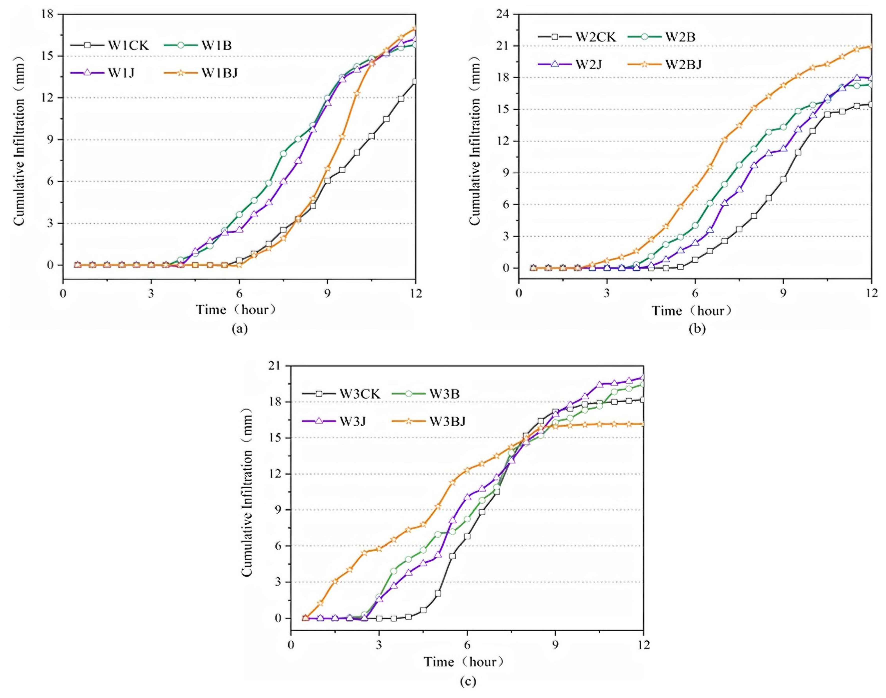
3.3.1. Characteristics of Soil Cumulative Infiltration with Time
3.3.2. Characteristics of Soil Infiltration Rate Variation
3.3.3. Characterization of Changes in Soil Profile Water Content
3.4. Analysis of Factors Influencing Soil Infiltration Characteristics
3.4.1. Correlation Analysis
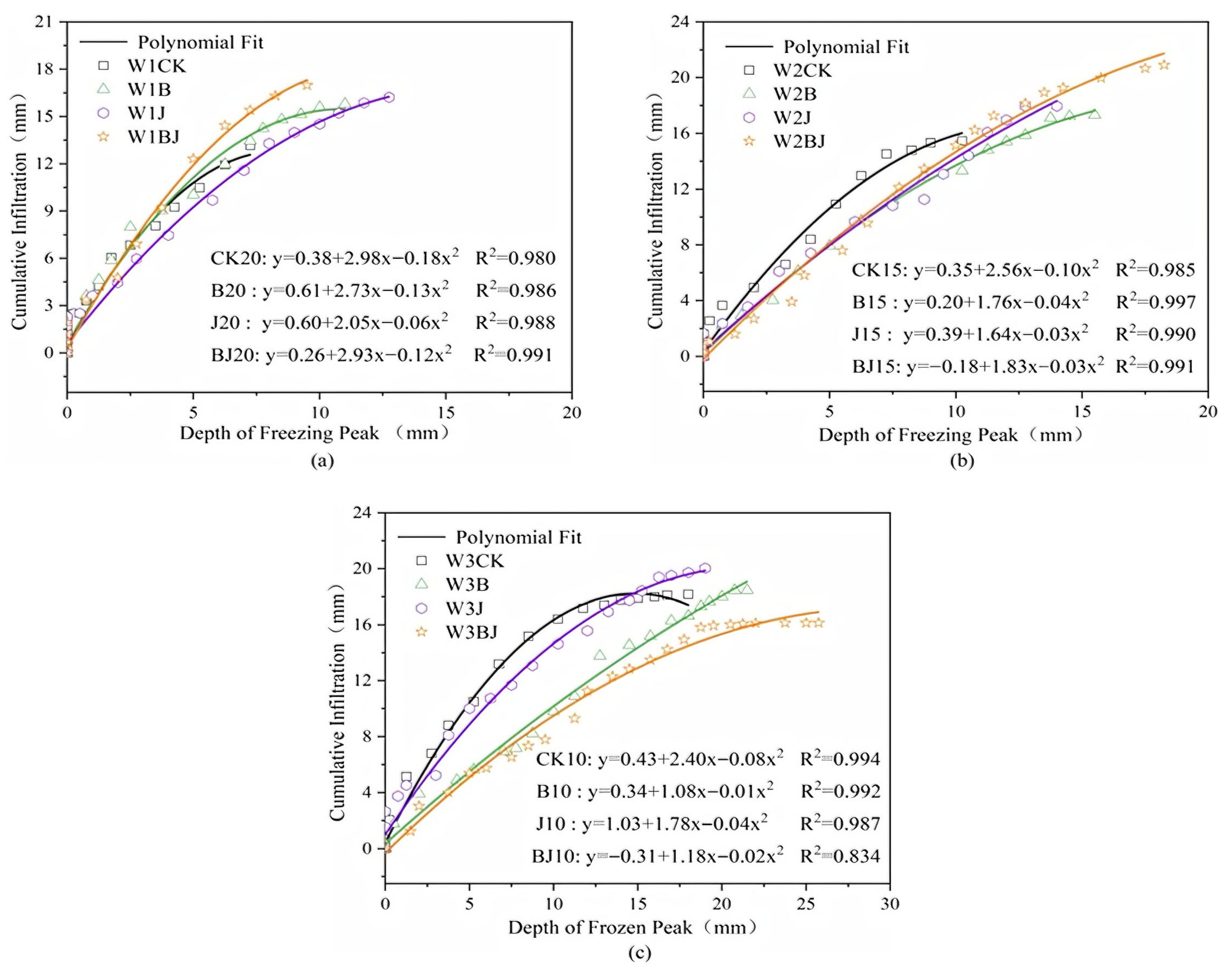
3.4.2. Response of Cumulative Infiltration to Freezing Fronts
4. Discussion
4.1. Relationship Between Physical Properties of Soils and Infiltration Characteristics of Snowmelt Water
4.2. Relationship Between Freezing Front Variation and Infiltration Characteristics of Snowmelt Water
5. Conclusions
Author Contributions
Funding
Institutional Review Board Statement
Data Availability Statement
Acknowledgments
Conflicts of Interest
References
- Xu, S.; Fu, Q.; Li, T.; Meng, F.; Liu, D.; Hou, R.; Li, M.; Li, Q. Spatiotemporal characteristics of the soil freeze-thaw state and its variation under different land use types—A case study in Northeast China. Agric. For. Meteorol. 2022, 312, 108737. [Google Scholar] [CrossRef]
- Gong, Y.; Gao, Z.; Fu, Q.; Li, J.; Li, T.; Hou, R. Promoting soybean emergence and growth in seasonally frozen soil regions: The regulatory role of biochars on water-soil environment during freeze-thaw cycles. Soil Tillage Res. 2026, 257, 106930. [Google Scholar] [CrossRef]
- Li, Z.; Zhang, S.; Meng, X.; Lyu, S.; Yang, X.; Ao, Y.; Ma, D.; Shang, L.; Shu, L.; Chang, Y. Effect of snow cover on water and heat transfer in alpine meadows in the source region of Yellow River. Sci. Total Environ. 2023, 859, 160205. [Google Scholar] [CrossRef] [PubMed]
- Peng, Q.; Huang, X.; Wu, N.; Zhang, Y.; Liu, Y.; Duan, N.; Yang, R.; Zhang, D. Decoupling surface area from function: Isolating the dominant role of surface chemistry in superior chlortetracycline adsorption on a low-porous biochar. Bioresour. Technol. 2026, 443, 133790. [Google Scholar] [CrossRef] [PubMed]
- Wang, Z.; Du, C.; Yang, S.; Li, X.; Chen, R.; Ding, D. Active surface area determines the activity of biochar in Fenton-like oxidation processes. J. Hazard. Mater. 2025, 487, 137272. [Google Scholar] [CrossRef]
- Bagheri Novair, S.; Mirseyed Hosseini, H.; Etesami, H.; Pirmoradian, N.; Asgari Lajayer, B.; Price, G.W. Straw application improved soil biological properties and the growth of rice plant under low water irrigation. Environ. Res. 2024, 255, 119138. [Google Scholar] [CrossRef]
- Xue, P.; Fu, Q.; Li, T.; Liu, D.; Hou, R.; Li, Q.; Li, M.; Meng, F. Effects of biochar and straw application on the soil structure and water-holding and gas transport capacities in seasonally frozen soil areas. J. Environ. Manag. 2022, 301, 113943. [Google Scholar] [CrossRef]
- Meng, B.; Du, X.; Wu, C.; Fang, Y.; Li, Z. Spatiotemporal variation of surface water-groundwater interactions and key influencing factors during freeze-thaw cycles in a seasonal frozen region, Northeast China. J. Hydrol. Reg. Stud. 2025, 62, 102841. [Google Scholar] [CrossRef]
- Xu, F.; Song, W.; Zhang, Y.; Li, B.; Hu, Y.; Kim, Y.; Fu, Z. Water content variations during unsaturated feet-scale soil freezing and thawing. Cold Reg. Sci. Technol. 2019, 162, 96–103. [Google Scholar] [CrossRef]
- Sun, L.; Chang, X.; Yu, X.; Jia, G.; Chen, L.; Wang, Y.; Liu, Z. Effect of freeze-thaw processes on soil water transport of farmland in a semi-arid area. Agric. Water Manag. 2021, 252, 106876. [Google Scholar] [CrossRef]
- Cao, J.; Chen, P.; Gao, X.; Zou, Q.; Fang, Y.; Gu, X.; Zhao, X.; Li, Y. Effects of plastic film residue and emitter flow rate on soil water infiltration and redistribution under different initial moisture content and dry bulk density. Sci. Total Environ. 2022, 807, 151381. [Google Scholar] [CrossRef]
- Wu, L.Z. Effect Factor of Freezing Front Movement Process for Frozen Soil. J. Hunan Univ. Sci. Technol. 2010, 25, 3. [Google Scholar] [CrossRef]
- Talebnezhad, R.; Sepaskhah, A.R. Effects of bentonite on water infiltration in a loamy sand soil. Arch. Agron. Soil Sci. 2013, 59, 1409–1418. [Google Scholar] [CrossRef]
- Assouline, S. Infiltration into soils: Conceptual approaches and solutions. Water Resour. Res. 2013, 49, 1755–1772. [Google Scholar] [CrossRef]
- Sheikh, V.; van Loon, E.; Hessel, R.; Jetten, V. Sensitivity of LISEM predicted catchment discharge to initial soil moisture content of soil profile. J. Hydrol. 2010, 393, 174–185. [Google Scholar] [CrossRef]
- Kafle, A.; Singh, S.; Singh, M.; Bajwa, P.; Deb, S.; Simpson, C.; Ritchie, G. Influence of deficit irrigation and biochar amendment on growth, physiology, and yield of cucumber in West Texas. Nature 2025, 15, 9615. [Google Scholar] [CrossRef]
- Esmaeilnezhad, R.; Zeinalzadeh, K.; Besharat, S.; Kheirfam, H. Field study on the hydraulic behavior of heavy soil: Effects of biochar application rates. Sci. Total Environ. 2025, 1004, 180752. [Google Scholar] [CrossRef]
- Ibrahim, H.M.; Al-Wabel, M.I.; Usman, A.R.A.; Al-Omran, A. Effect of Conocarpus Biochar Application on the Hydraulic Properties of a Sandy Loam Soil. Soil Sci. 2013, 178, 165–173. [Google Scholar] [CrossRef]
- Zuo, Y.; Fu, Q.; Li, T.; Liu, D.; Hou, R.; Li, Q.; Li, M.; Meng, F. Characteristics of snowmelt transport in farmland soil in cold regions: The regulatory mechanism of biochar. Hydrol. Process. 2022, 36, e14499. [Google Scholar] [CrossRef]
- Hou, R.; Li, T.; Fu, Q.; Liu, D.; Li, M.; Zhou, Z.; Li, L.; Yan, J. Characteristics of water–heat variation and the transfer relationship in sandy loam under different conditions. Geoderma 2019, 340, 259–268. [Google Scholar] [CrossRef]
- Zeng, Z.; Kong, L. Wetting-drying-freezing-thawing cycle effect on the hydro-mechanical behaviour of Yanji swelling mudstone. J. Rock Mech. Geotech. Eng. 2023, 15, 2746–2756. [Google Scholar] [CrossRef]
- Jiang, R.; Li, T.; Liu, D.; Fu, Q.; Hou, R.; Li, Q.; Cui, S.; Li, M. Soil infiltration characteristics and pore distribution under freezing–thawing conditions. Cryosphere 2021, 15, 2133–2146. [Google Scholar] [CrossRef]
- Elliott, E.T. Aggregate Structure and Carbon, Nitrogen, and Phosphorus in Native and Cultivated Soils1. Soil Sci. Soc. Am. J. 1986, 50, 627. [Google Scholar] [CrossRef]
- Fu, Q.; Zhao, H.; Li, T.; Hou, R.; Liu, D.; Ji, Y.; Zhou, Z.; Yang, L. Effects of biochar addition on soil hydraulic properties before and after freezing-thawing. CATENA 2019, 176, 112–124. [Google Scholar] [CrossRef]
- Soracco, C.G.; Villarreal, R.; Melani, E.M.; Oderiz, J.A.; Salazar, M.P.; Otero, M.F.; Irizar, A.B.; Lozano, L.A. Hydraulic conductivity and pore connectivity. Effects of conventional and no-till systems determined using a simple laboratory device. Geoderma 2019, 337, 1236–1244. [Google Scholar] [CrossRef]
- Zhang, J.; Wei, Y.; Liu, J.; Yuan, J.; Liang, Y.; Ren, J.; Cai, H. Effects of maize straw and its biochar application on organic and humic carbon in water-stable aggregates of a Mollisol in Northeast China: A five-year field experiment. Soil Tillage Res. 2019, 190, 1–9. [Google Scholar] [CrossRef]
- Abel, S.; Peters, A.; Trinks, S.; Schonsky, H.; Facklam, M.; Wessolek, G. Impact of biochar and hydrochar addition on water retention and water repellency of sandy soil. Geoderma 2013, 202–203, 183–191. [Google Scholar] [CrossRef]
- Głąb, T.; Żabiński, A.; Sadowska, U.; Gondek, K.; Kopeć, M.; Mierzwa-Hersztek, M.; Tabor, S.; Stanek-Tarkowska, J. Fertilization effects of compost produced from maize, sewage sludge and biochar on soil water retention and chemical properties. Soil Tillage Res. 2020, 197, 104493. [Google Scholar] [CrossRef]
- Hussain, R.; Ghosh, K.K.; Ravi, K. Influence of biochar particle size on the hydraulic conductivity of two different compacted engineered soils. Biomass Convers. Biorefinery 2023, 13, 801–811. [Google Scholar] [CrossRef]
- Li, S.; Zhang, Y.; Yan, W.; Shangguan, Z. Effect of biochar application method on nitrogen leaching and hydraulic conductivity in a silty clay soil. Soil Tillage Res. 2018, 183, 100–108. [Google Scholar] [CrossRef]
- Cleophas, F.; Isidore, F.; Musta, B.; Mohd Ali, B.N.; Mahali, M.; Zahari, N.Z.; Bidin, K. Effect of soil physical properties on soil infiltration rates. J. Phys. Conf. Ser. 2022, 2314, 012020. [Google Scholar] [CrossRef]
- Xin, J.; Yan, L.; Cai, H. Response of soil organic carbon to straw return in farmland soil in China: A meta-analysis. J. Environ. Manag. 2024, 359, 121051. [Google Scholar] [CrossRef] [PubMed]
- Castellini, M.; Giglio, L.; Niedda, M.; Palumbo, A.D.; Ventrella, D. Impact of biochar addition on the physical and hydraulic properties of a clay soil. Soil Tillage Res. 2015, 154, 1–13. [Google Scholar] [CrossRef]
- Wang, Q.; Zhang, T.; Jin, H.; Cao, B.; Peng, X.; Wang, K.; Li, L.; Guo, H.; Liu, J.; Cao, L. Observational study on the active layer freeze–thaw cycle in the upper reaches of the Heihe River of the north-eastern Qinghai-Tibet Plateau. Quat. Int. 2017, 440, 13–22. [Google Scholar] [CrossRef]
- Zhao, X.; Xu, S.; Liu, T.; Qiu, P.; Qin, G. Moisture Distribution in Sloping Black Soil Farmland during the Freeze–Thaw Period in Northeastern China. Water 2019, 11, 536. [Google Scholar] [CrossRef]
- Wasif Naqvi, M.; Sadiq, M.F.; Cetin, B.; Uduebor, M.; Daniels, J. Investigating the Frost Action in Soils. In Geo-Congress 2022; American Society of Civil Engineers: Reston, VA, USA, 2022; pp. 257–267. [Google Scholar]
- Xie, S.; Zeng, C.; Xiao, X.; Wang, G.; Zhang, F. Generation of runoff in an alpine meadow hillslope underlain by permafrost. Int. Soil Water Conserv. Res. 2024, 12, 775–785. [Google Scholar] [CrossRef]
- Watanabe, K.; Kito, T.; Dun, S.; Wu, J.Q.; Greer, R.C.; Flury, M. Water Infiltration into a Frozen Soil with Simultaneous Melting of the Frozen Layer. Vadose Zone J. 2013, 12, vzj2011.0188. [Google Scholar] [CrossRef]
- Xiu, L.; Zhang, W.; Wu, D.; Sun, Y.; Zhang, H.; Gu, W.; Meng, J.; Chen, W. Heat Storage Capacity and Temporal-spatial Response in the Soil Temperature of Albic Soil Amended with Maize-derived Biochar for 2 Years. Soil Tillage Res. 2021, 205, 104762. [Google Scholar] [CrossRef]
- He, Z.; Yuan, Y.; Zhang, Z.; Lv, B.; Shao, X.; Zhong, X.; Li, H.; Wang, H. Extra-simplified eco-viticulture increases contributions of plant lignin and microbial necromass to soil organic carbon within vineyards. Agric. Ecosyst. Environ. 2026, 396, 109970. [Google Scholar] [CrossRef]
- Haig, J.; Ascough, P.L.; Wurster, C.M.; Bird, M.I. A rapid throughput technique to isolate pyrogenic carbon by hydrogen pyrolysis for stable isotope and radiocarbon analysis. Rapid Commun. Mass Spectrom. 2020, 34, e8737. [Google Scholar] [CrossRef]
- Iwata, Y.; Yanai, Y.; Yazaki, T.; Hirota, T. Effects of a snow-compaction treatment on soil freezing, snowmelt runoff, and soil nitrate movement: A field-scale paired-plot experiment. J. Hydrol. 2018, 567, 280–289. [Google Scholar] [CrossRef]
- Dai, L.; Guo, X.; Zhang, F.; Du, Y.; Ke, X.; Li, Y.; Cao, G.; Li, Q.; Lin, L.; Shu, K.; et al. Seasonal dynamics and controls of deep soil water infiltration in the seasonally-frozen region of the Qinghai-Tibet plateau. J. Hydrol. 2019, 571, 740–748. [Google Scholar] [CrossRef]
- de Jesus Duarte, S.; Glaser, B.; Pellegrino Cerri, C.E. Effect of Biochar Particle Size on Physical, Hydrological and Chemical Properties of Loamy and Sandy Tropical Soils. Agronomy 2019, 9, 165. [Google Scholar] [CrossRef]
- Roy, D.; Jia, X.; Steele, D.D.; Chu, X.; Lin, Z. Infiltration into Frozen Silty Clay Loam Soil with Different Soil Water Contents in the Red River of the North Basin in the USA. Water 2020, 12, 321. [Google Scholar] [CrossRef]
- Du, X.; Fang, M.; Lv, H.; Cheng, T.; Hong, P.; Liu, C. Effect of snowmelt infiltration on groundwater recharge in a seasonal soil frost area: A case study in Northeast China. Environ. Monit. Assess. 2019, 191, 151. [Google Scholar] [CrossRef]
- Kotlar, A.M.; de Jong van Lier, Q.; Andersen, H.E.; Nørgaard, T.; Iversen, B.V. Quantification of macropore flow in Danish soils using near-saturated hydraulic properties. Geoderma 2020, 375, 114479. [Google Scholar] [CrossRef]









| Parameters | Soil | Parameters | Biochar | Corn Straw |
|---|---|---|---|---|
| Sand mass fraction (%) | 22.84 | pH value | 9.14 ± 0.10 | 8.75 ± 0.13 |
| Silt mass fraction (%) | 35.89 | C mass fraction (%) | 69.60 ± 3.12 | 46.50 ± 2.19 |
| Clay mass fraction (%) | 27.27 | N mass fraction (%) | 1.28 ± 0.13 | 1.08 ± 0.21 |
| Dry density (g·cm−3) | 1.32 ± 0.06 | H mass fraction (%) | 1.93 ± 0.31 | 4.13 ± 0.18 |
| Natural moisture content (%) | 24.30 ± 0.22 | Ash content (%) | 25.18 ± 3.96 | 8.35 ± 3.41 |
| Organic matter content (%) | 25.86 ± 0.53 | / | / | / |
| pH value | 5.76 ± 0.12 | / | / | / |
| Characteristic Parameter | Soil Cumulative Infiltration | Soil Infiltration Rate |
|---|---|---|
| L1-MWD (mm) | 0.231 | 0.352 |
| L1-WR > 0.25 (mm) | 0.581 * | 0.008 |
| L1-Soil void (>100 μm) | 0.334 | −0.349 |
| L1-middle pore (0.3–30 μm) | 0.632 * | −0.499 |
| L2-MWD (mm) | 0.328 | 0.289 |
| L2-WR > 0.25 (mm) | 0.392 | −0.061 |
| L2-Soil void (>100 μm) | 0.320 | −0.315 |
| L2- middle pore (0.3–30 μm) | 0.590 * | −0.479 |
| V-upper (cm/min) | 0.647 * | −0.598 * |
| V-lower (cm/min) | 0.706 * | −0.640 * |
| D-upper (cm) | 0.654 * | −0.609 * |
| D-lower (cm) | 0.546 | −0.577 * |
Disclaimer/Publisher’s Note: The statements, opinions and data contained in all publications are solely those of the individual author(s) and contributor(s) and not of MDPI and/or the editor(s). MDPI and/or the editor(s) disclaim responsibility for any injury to people or property resulting from any ideas, methods, instructions or products referred to in the content. |
© 2025 by the authors. Licensee MDPI, Basel, Switzerland. This article is an open access article distributed under the terms and conditions of the Creative Commons Attribution (CC BY) license.
Share and Cite
Xiao, Z.; Lv, S.; Fu, Q.; Li, T.; Hou, R.; Li, M.; Liu, D. Effects of Biochar and Straw Regulation on Snowmelt Infiltration in Seasonal Frozen Soil Regions of Northeast China. Agriculture 2026, 16, 61. https://doi.org/10.3390/agriculture16010061
Xiao Z, Lv S, Fu Q, Li T, Hou R, Li M, Liu D. Effects of Biochar and Straw Regulation on Snowmelt Infiltration in Seasonal Frozen Soil Regions of Northeast China. Agriculture. 2026; 16(1):61. https://doi.org/10.3390/agriculture16010061
Chicago/Turabian StyleXiao, Zhaoxing, Shuang Lv, Qiang Fu, Tianxiao Li, Renjie Hou, Mo Li, and Dong Liu. 2026. "Effects of Biochar and Straw Regulation on Snowmelt Infiltration in Seasonal Frozen Soil Regions of Northeast China" Agriculture 16, no. 1: 61. https://doi.org/10.3390/agriculture16010061
APA StyleXiao, Z., Lv, S., Fu, Q., Li, T., Hou, R., Li, M., & Liu, D. (2026). Effects of Biochar and Straw Regulation on Snowmelt Infiltration in Seasonal Frozen Soil Regions of Northeast China. Agriculture, 16(1), 61. https://doi.org/10.3390/agriculture16010061

